新高考数学一轮复习基础巩固8.7 指数运算及指数函数(精练)(含解析)
展开8.7 指数运算及指数函数(精练)(基础版)
1.(2022·全国·高三专题练习)(1)计算;
(2)若,求的值.
【答案】(1)-5;(2)14.
【解析】(1)0.3﹣1﹣36+33+136+27+15.
(2)若,∴x2=6,x4,∴x2+x﹣2+2=16,∴x2+x﹣2=14.
2.(2022·全国·高三专题练习)化简下列各式:
(1)--π0;
(2)
【答案】(1)0;(2).
【解析】(1)原式=.
(2)=.
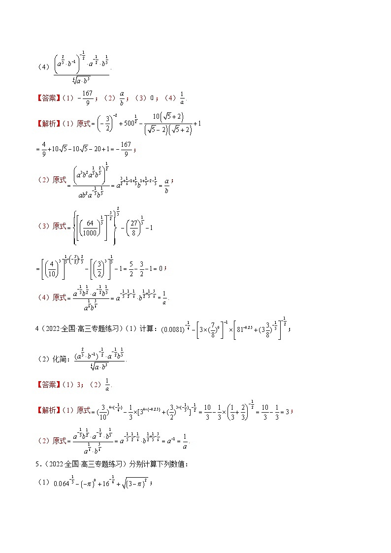
3.(2022·全国·高三专题练习)化简下列各式(其中各字母均为正数).
(1);
(2);
(3);
(4).
【答案】(1);(2);(3);(4).
【解析】(1)原式
;
(2)原式;
(3)原式
;
(4)原式.
4(2022·全国·高三专题练习)(1)计算:;
(2)化简:.
【答案】(1)3;(2).
【解析】(1)原式;
(2)原式.
5.(2022·全国·高三专题练习)分别计算下列数值:
(1);
(2)已知,,求.
【答案】(1);(2)-12.
【解析】(1)原式,,,
(2)∵,
∴
∵,
∴,
∴,
又∵,
∵,
∴,
∴.
1.(2022张家口 )函数 的值域为( )
A. B. C. D.
【答案】C
【解析】 故答案为:C.
2.(2022湖南)若不等式 恒成立,则实数 的取值范围是( )
A. B. C. D.
【答案】B
【解析】不等式 恒成立,即 ,即 恒成立,即 恒成立,所以 ,解得 ,所以实数 的取值范围是 , 故答案为:B.
3.(2022嫩江月考)(多选)函数y=(a2-4a+4)ax是指数函数,则a的值不可以是( )
A.4 B.3 C.2 D.1
【答案】ACD
【解析】由指数函数的定义得a2-4a+4=1且a≠1,解得a=3.故答案为:ACD.
4.(2022长春月考)已知函数 ,则函数 的值域为( )
A. B. C. D.
【答案】B
【解析】当x<-1时,f(x)=x2-2>-1, 当x≥-1时,, 综上可得函数 的值域为 . 故答案为:B【分析】根据分段函数,结合二次函数与指数函数的值域求解即可.
5.(2021·全国乙卷)下列函数中最小值为4的是( )
A. B.
C. D.
【答案】C
【解析】对于A:因为y=(x+1)2+3,则ymin=3; 故A不符合题意;
对于B:因为,设t=|sinx|( ),则y=g(t)=由双沟函数知,
函数y=g(t)=是减函数,所以ymin=g(1)=5,所以B选项不符合;
对于C:因为 当且仅当时“=”成立,
即ymin=4,故C选项正确;
对于D:当时,<0,故D选项不符合,
故答案为:C.
6.(2022·北京市第二十二中学高三开学考试)下列函数中,定义域与值域均为R的是( )
A. B. C. D.
【答案】C
【解析】A. 函数的定义域为,值域为R;
B. 函数的定义域为R,值域为;
C. 函数的定义域为R,值域为R;
D. 函数的定义域为,值域为,故选:C
7.(2022·江苏·矿大附中高三阶段练习)(多选)函数的定义域为,值域为,下列结论中一定成立的结论的序号是( )
A. B. C. D.
【答案】ACD
【解析】由于,
,,,,
即函数的定义域为
当函数的最小值为1时,仅有满足,所以,故D正确;
当函数的最大值为2时,仅有满足,所以,故C正确;
即当时,函数的值域为,故,故不一定正确,故A正确,B错误;
故选:ACD
6.(2022奉贤期中)指数函数的图像经过点,则该指数函数的表达式为 .
【答案】
【解析】指数函数且的图象经过点, 所以 ,解得 ,
所以该指数函数的表达式为 .故答案为: .
7.(2022定远月考)已知 ,且 ,若函数 在区间 上的最大值为10,则 .
【答案】 或
【解析】(1)若 ,则函数 在区间 上是递增的,
当 时, 取得最大值 ,即 ,
又 ,∴ .(2)若 ,则函数 在区间 上是递减的,
当 时, 取得最大值 ,
所以 .
综上所述, 的值为 或 .
故答案为: 或
1.(2022·重庆南开中学高三阶段练习)若命题“”为真命题,则实数的取值范围为( )
A. B. C. D.
【答案】D
【解析】因为,
所以,
显然在上单调递增,
所以,即实数的取值范围为.
故选:D
2.(2022·黑龙江·牡丹江市第三高级中学高三阶段练习)已知,则的大小关系为( )
A. B.
C. D.
【答案】D
【解析】令,则.
因为在上单调递减,在上单调递减,
所以在上单调递减.
而
所以在上有.
所以在上单调递减.
所以,即
故.故.
故选:D
3.(2023·全国·高三专题练习)已知,,则a、b、c的大小关系为( )
A.a<b<c B.c<a<b C.b<a<c D.c<b<a
【答案】C
【解析】函数是定义域R上的单调减函数,且,则,即,
又函数 在上单调递增,且,于是得,即,
所以a、b、c的大小关系为.
故选:C
4.(2023·全国·高三专题练习)三个数a=0.42,b=log20.3,c=20.6之间的大小关系是( )
A.a<c<b B.a<b<c C.b<a<c D.b<c<a
【答案】C
【解析】∵0<0.42<0.40=1,∴0<a<1,
∵log20.3<log21=0,∴b<0,
∵20.6>20=1,∴c>1,
∴b<a<c,
故选:C.
5.(2022·山东·枣庄市第三中学高三开学考试)已知函数,若存在非零实数,使得成立,则实数的取值范围是___________.
【答案】
【解析】因为存在非零实数,使得成立,
所以有解,
化简有解,即有解.
因为,当且仅当,即时取等号,
因为,所以,,
所以.
故答案为:
6.(2022·全国·高三专题练习)已知函数,若方程有解,则实数的取值范围是_________.
【答案】
【解析】由题意得:有解
令
有解,即有解,显然无意义
,当且仅当,即时取等,
故答案为:.
7.(2022·全国·高三专题练习)已知函数,若,使得,则实数a的取值范围是___________.
【答案】
【解析】当时,,
∴当时,,
当时,为增函数,
所以时,取得最大值,
∵对,使得,
∴,
∴,解得.
故答案为:.
8.(2022遂宁期末)已知方程 有两个不相等实根,则 的取值范围为 .
【答案】
【解析】令 ,因为 ,所以 ,方程 ,即 ,因为 有两个不相等实根,所以方程 在 由两个不相等的实数根,令 ,则 在 时有两个零点,
所以 ,解得 ,
故答案为:
9(2022河北).设函数f(x)=x(ex+ae﹣x),x∈R,是偶函数,则实数a= .
【答案】-1
【解析】∵函数f(x)=x(ex+ae﹣x),x∈R是偶函数,∴f(﹣x)=f(x),即(﹣x)•(e﹣x+aex)=x(ex+ae﹣x), 整理,得(a+1)•x•(1+e2x)=0.
∵x∈R,1+e2x>0,∴a+1=0,故a=﹣1.故答案为﹣1.
10.(2022云南)要使函数y=1+2x+a•4x在(x∈(﹣∞,1])有y>0恒成立,则实数a的取值范围是 .
【答案】( .,+∞)
【解析】设t=2x,因为x∈(﹣∞,1],所以0<t≤2.
则原函数等价为y=1+t+at2,要使y>0恒成立,即y=1+t+at2>0,所以 .
设 ,则 ,因为0<t≤2,所以 ,
所以 ,所以a> .
故答案为:( .,+∞).
1.(2022泗县开学考)已知函数 的定义域为 .
(1)求 ;
(2)当 时,求 的最小值.
【答案】见解析
【解析】(1)解:∵由题可得 可解得 .
(2)∴ ,
又 , ,∴ .
①若 ,即 时, ,
②若 ,即 时,
所以当 ,即 时, .
∴ .
2(2022石家庄期末)设指数函数 ,幂函数 .
(1)求 ;
(2)设 ,如果存在 ,使得 ,求 的取值范围.
【答案】见解析
【解析】(1)解:根据题意得: ,解得 .
(2)解:由(1)知 , ,
存在 ,使得 ,等价于当 时, ,
又 ,所以 ,
,
所以 ,解得: ,
所以
3.(2022浙江期中)已知函数 .
(1)若 在 是增函数,求实数 的取值范围;
(2)若 在 上恒成立,求实数 的取值范围.
【答案】见解析
【解析】(1) ,令 ,则 ,由 可得 ,
由条件可知 在 是增函数.
当 时,结论显然成立;当 时,则 ,∴ .
综上, 的取值范围为 .
(2)由 可得 ,因为 ,所以 ,所以 ,令 ,则 , ,
因为 ,所以 ,∴ ,
所以 的范围是 .
4.(2022泰州月考)已知函数
(1)当 时,求满足 的 的取值:
(2)若函数 是定义在 上的奇函数
①存在 ,不等式 有解,求 的取值范围;
②若函数 满足 ,若对任意 ,不等式 恒成立,求实数 的最大值.
【答案】见解析
【解析】(1)解:由题意, ,化简得 解得 (舍)或 ,
所以
(2)解:因为 是奇函数,所以 ,所以 化简并变形得: 要使上式对任意 的成立,则 或 解得: 或 ,因为 的定义域是 ,所以 舍去所以 ,所以
①
对任意 , 有:因为 ,所以 ,所以
因此 在 上递减
因为 ,所以 即 在 时有解,所以 ,解得
所以 的取值范围为
②因为 ,所以
即 所以 不等式 恒成立,即 即 恒成立,令 , ,则 在 时恒成立令 , 时, ,所以 在 上单调递减 时, ,所以 在 上单调递增所以 ,所以
所以,实数 的最大值是6.
3.3 指数运算及指数函数(精练)-2024年高考数学一轮复习导与练高分突破(新高考): 这是一份3.3 指数运算及指数函数(精练)-2024年高考数学一轮复习导与练高分突破(新高考),文件包含33指数运算及指数函数精练原卷版docx、33指数运算及指数函数精练解析版docx等2份试卷配套教学资源,其中试卷共38页, 欢迎下载使用。
3.3 指数运算及指数函数(精练)-2024年高考数学一轮复习一隅三反系列(新高考): 这是一份3.3 指数运算及指数函数(精练)-2024年高考数学一轮复习一隅三反系列(新高考),文件包含33指数运算及指数函数精练原卷版docx、33指数运算及指数函数精练解析版docx等2份试卷配套教学资源,其中试卷共31页, 欢迎下载使用。
备战高考2024年数学第一轮专题复习3.3 指数运算及指数函数(精练)(提升版)(解析版): 这是一份备战高考2024年数学第一轮专题复习3.3 指数运算及指数函数(精练)(提升版)(解析版),共26页。试卷主要包含了指数式比较大小,解指数式不等式,指数函数的定点等内容,欢迎下载使用。

