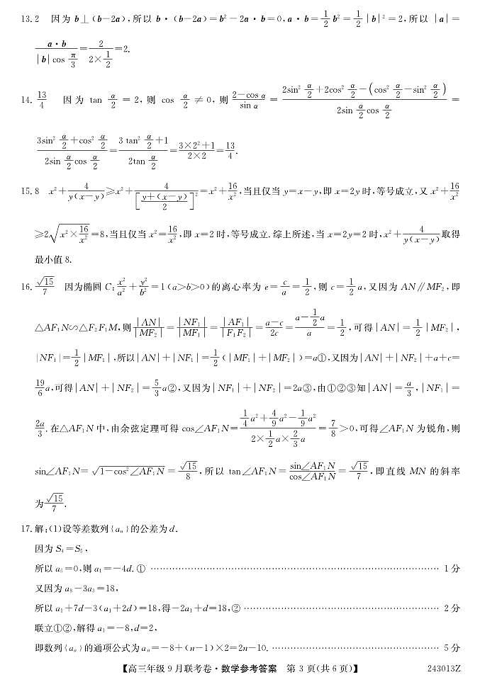
2023-2024学年辽宁省名校协作体高三上学期9月联考 数学 PDF版
展开2024贵州省名校协作体高三上学期联考(一)数学PDF版含答案: 这是一份2024贵州省名校协作体高三上学期联考(一)数学PDF版含答案,文件包含贵州省名校协作体2023-2024学年高三上学期联考一数学参考答案pdf、贵州省名校协作体2023-2024学年高三上学期联考一数学pdf等2份试卷配套教学资源,其中试卷共10页, 欢迎下载使用。
2024辽宁省名校协作体高三上学期9月联考数学PDF版含解析: 这是一份2024辽宁省名校协作体高三上学期9月联考数学PDF版含解析,文件包含辽宁省名校协作体2023-2024学年高三上学期9月联考数学答案和解析pdf、辽宁省名校协作体2023-2024学年高三上学期9月联考数学pdf等2份试卷配套教学资源,其中试卷共10页, 欢迎下载使用。
2023-2024学年浙江省名校协作体高三上学期开学适应性考试数学PDF版含答案: 这是一份2023-2024学年浙江省名校协作体高三上学期开学适应性考试数学PDF版含答案,文件包含浙江省名校协作体2023-2024学年高三上学期开学适应性考试数学答案和解析pdf、浙江省名校协作体2023-2024学年高三上学期开学适应性考试数学pdf等2份试卷配套教学资源,其中试卷共21页, 欢迎下载使用。

