江西省上高中学2022-2023学年高二下学期7月期末数学试题(解析版)
展开江西省上高二中2022-2023学年高二下学期5月月考数学试题: 这是一份江西省上高二中2022-2023学年高二下学期5月月考数学试题,共30页。
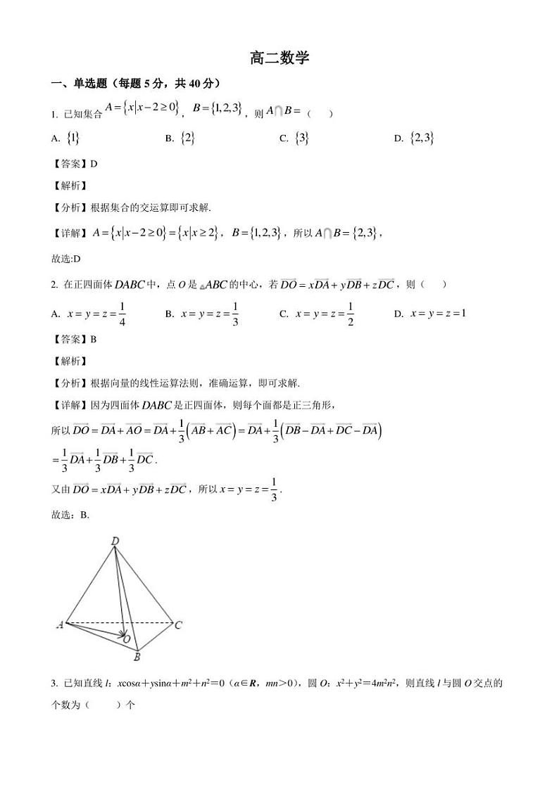
江西省上高中学2022-2023学年高一下学期7月期末数学试题(解析版): 这是一份江西省上高中学2022-2023学年高一下学期7月期末数学试题(解析版),共19页。
江西省上高中学2022-2023学年高一下学期7月期末数学试题(原卷版): 这是一份江西省上高中学2022-2023学年高一下学期7月期末数学试题(原卷版),共5页。

