所属成套资源:(全国通用卷)2022年中考数学第二次模拟考试
(全国通用卷)2022年中考数学第二次模拟考试(参考答案)
展开
这是一份(全国通用卷)2022年中考数学第二次模拟考试(参考答案),共10页。试卷主要包含了选择题等内容,欢迎下载使用。
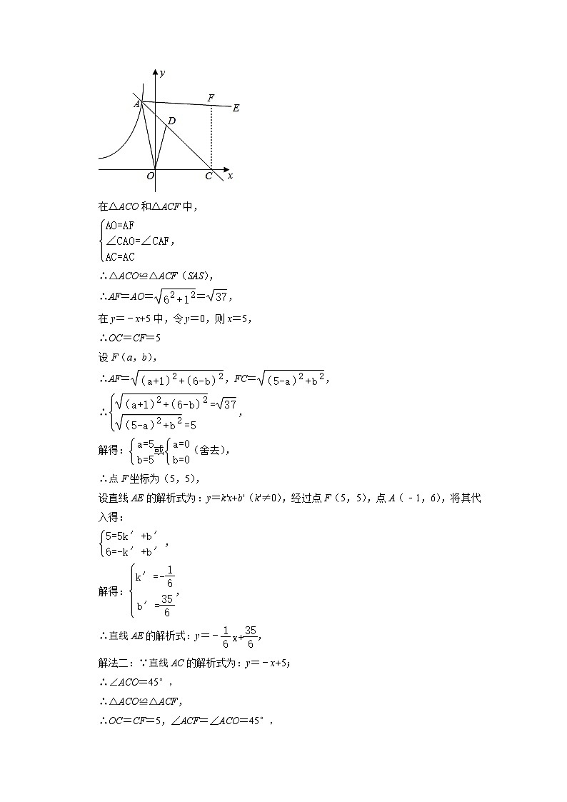
2022年中考模拟考试(全国通用卷) 数学·参考答案 A卷一、选择题12345678910ACDACABCAD二.填空题(共8小题,满分24分,每小题3分)11.x≥5; 12.3(a+b)(a﹣b); 13.10; 14.10; 15.80°; 16.12πcm2; 17.3; 18.6;三.解答题(共8小题,满分66分)19.解:原式=3×﹣1+2+2﹣=﹣1+2+2﹣=3.20.解:原式=4x2﹣1﹣(x2﹣6x+9)﹣6x=4x2﹣1﹣x2+6x﹣9﹣6x=3x2﹣10,当x=﹣时,原式=3×(﹣)2﹣10=3×3﹣10=9﹣10=﹣1.21.解:(1)A等级有4人,占了10%,故总人数为:4÷10%=40人;B等级人数为40﹣4﹣12﹣16=8人,故m=8÷40×100=20;C等级有12人,n=12÷40×100=30;图形补全如下:;故答案为:40,20,30; (2)如图,共有12种等可能性结果,其中一男一女参加比赛的情况有8种,所以P(一男一女)==.22.解:(1)设每支钢笔x元,则每本笔记本(x+2)元,根据题意得:,解得:x=3,经检验,x=3是所列分式方程的解且符合题意,∴x+2=5.答:每支钢笔3元,每本笔记本5元.(2)设要买m支钢笔,则要买(50﹣m)本笔记本,根据题意得:3m+5(50﹣m)≤200,解得:m≥25.答:至少要买25支钢笔.23.解:(1)将点A(﹣1,m)代入函数y=﹣中得:m==6,设直线AC的解析式为y=kx+b(k≠0),经过A(﹣1,6),C(5,0)两点,将其代入得:,解得:,∴直线AC的解析式为:y=﹣x+5;(2)在AE上截取AF,使得AF=AO,则:在△ACO和△ACF中,,∴△ACO≌△ACF(SAS),∴AF=AO==,在y=﹣x+5中,令y=0,则x=5,∴OC=CF=5设F(a,b),∴AF=,FC=,∴,解得:或(舍去),∴点F坐标为(5,5),设直线AE的解析式为:y=k'x+b'(k'≠0),经过点F(5,5),点A(﹣1,6),将其代入得:,解得:,∴直线AE的解析式:y=﹣,解法二:∵直线AC的解析式为:y=﹣x+5;∴∠ACO=45°,∴△ACO≌△ACF,∴OC=CF=5,∠ACF=∠ACO=45°,∴∠OCF=90°,∴F坐标为(5,5),接下来同上. (3)设OD绕点O逆时针旋转90°得到OD',则∠DOD'=90°,过点D作DN⊥x轴交于点N,过点D'作D'M⊥x轴交于点M,∵∠D'OM+∠DON=90°,∠D'OM+∠OD'M=90°,在△D'OM和△ODN中,,∴△D'OM≌△ODN(AAS),∴DN=OM,NO=D'M,设D(d,﹣d+5),则:DN=OM=﹣d+5,NO=D'M=d,∵点D'在第二象限,∴D'(d﹣5,d)且在y=上,∴d=﹣,解得:d1=2,d2=3,经检验符合题意,∴D坐标为(2,3)或(3,2).24.(1)证明:连接OD,如图1所示:∵AB=AC,∴∠C=∠OBD,∵OD=OB,∴∠ODB=∠OBD,∴∠ODB=∠C,∴OD∥AC,∵EF⊥AC,∴EF⊥OD,∴EF是⊙O的切线; (2)解:连接BG、AD,如图2所示:∵AB是⊙O的直径,∴∠AGB=∠ADB=90°,即BG⊥AC,AD⊥BC,∵AB=AC,∠BAC=60°,∴BD=CD,△ABC是等边三角形,∴AC=AC=8,∵EF⊥AC,∴EF∥BG,∴CE:EG=CD:BD,∴CE=EG,∵BG⊥AC,∴CG=AG=AC=4,∴EG=CG=2; (3)解:∵AD⊥BC,CD=BD=BC=3,∴AD===4,sinC===,∴DE=CD=×3=,∴AE===,∵OD∥AC,∴△ODF∽△AEF,∴,即,解得:DF=,在Rt△ODF中,OD=AB=,∴tanF===. 25.解:(1)∵∠A=a=30°,又∵∠ACB=90°,∴∠ABC=∠BCD=60°.∴AD=BD=BC=1.∴x=1;(2)∵∠DBE=90°,∠ABC=60°,∴∠A=∠CBE=30°.∴AC=BC=,AB=2BC=2.由旋转性质可知:AC=A′C,BC=B′C,∠ACD=∠BCE,∴△ADC∽△BEC,∴=,∴BE=x.∵BD=2﹣x,∴s=×x(2﹣x)=﹣x2+x.(0<x<2)(3)∵s=s△ABC∴﹣+=,∴4x2﹣8x+3=0,∴,.①当x=时,BD=2﹣=,BE=×=.∴DE==.∵DE∥A′B′,∴∠EDC=∠A′=∠A=30°.∴EC=DE=>BE,∴此时⊙E与A′C相离.过D作DF⊥AC于F,则,.∴.∴. (12分)②当时,,.∴,∴,∴此时⊙E与A'C相交.同理可求出. 26.解:(1)∵OA=1,OB=5,∴A(﹣1,0),B(5,0),将A、B两点代入y=ax2+2x+c,∴,∴,∴y=﹣x2+2x+;(2)∵y=﹣x2+2x+=﹣(x﹣2)2+,∴D(2,),令x=0,则y=,∴C(0,),∴CD=2,故答案为:2;(3)①如图1,过点E作EF⊥x轴交BC于点F,设直线BC的解析式为y=kx+b,∴,∴,∴y=﹣x+,设E(m,﹣m2+2m+),则F(m,﹣m+),∴EF=﹣m2+2m++m﹣=﹣m2+m,∴S△BCE=×5×(﹣m2+m)=﹣(x﹣)2+,∴当x=时,S△BCE有最大值;②EM+MP+PB存在最小值,理由如下:当x=时,E(,),∵D(2,),∴抛物线的对称轴为直线x=2,∵PM垂直对称轴,∴PM∥x轴,PM=2,如图2,过E点作x轴的平行线,且HE=PM,∴四边形PMEH是平行四边形,∴HE=HP,作B点关于y轴的对称点B',∴BP=B'P,∴EM+MP+PB=PH+2+B'P≥B'H+2,当B'、P、H三点共线时,EM+MP+PB的值最小,∵E(,),HE=PM=2,∴H(,),∵B(5,0),∴B'(﹣5,0),设直线B'H的解析式为y=tx+n,∴,解得,∴y=x+,∴P(0,),∴M(2,),∴当M(2,)时EM+MP+PB存在最小值.
相关试卷
这是一份(全国通用卷)2022年中考数学第二次模拟考试(考试版),共3页。试卷主要包含了考试范围等内容,欢迎下载使用。
这是一份(全国通用卷)2022年中考数学第二次模拟考试(全解全析),共14页。试卷主要包含了选择题等内容,欢迎下载使用。
这是一份数学(全国通用卷)-学易金卷:2023年中考第二次模拟考试卷,文件包含数学全国通用卷全解全析docx、数学全国通用卷参考答案docx、数学全国通用卷考试版A4docx、数学全国通用卷考试版A3docx等4份试卷配套教学资源,其中试卷共45页, 欢迎下载使用。

