2024届一轮复习命题方向精讲系列:27 数列求和经典题型归纳(十二大经典题型)(原卷附答案)
展开
这是一份2024届一轮复习命题方向精讲系列:27 数列求和经典题型归纳(十二大经典题型)(原卷附答案),共49页。试卷主要包含了已知单调递减的正项数列,时满足,求和,已知等差数列中,,,已知数列的前项和为,且.,在数列中,,其中.等内容,欢迎下载使用。
考向27 数列求和经典题型归纳
经典题型一:通项分析法
经典题型二:公式法
经典题型三:错位相减法
经典题型四:分组求和法
经典题型五:裂项相消法
经典题型六:倒序相加法
经典题型七:并项求和
经典题型八:先放缩后裂项求和
经典题型九:分段数列求和
经典题型十:含绝对值、取整、取小数等数列求和
经典题型十一:数列插项求和
经典题型十二:数列奇偶项求和
一.公式法
(1)等差数列的前n项和,推导方法:倒序相加法.
(2)等比数列的前n项和,推导方法:乘公比,错位相减法.
(3)一些常见的数列的前n项和:
①;
②;
③;
④
二.几种数列求和的常用方法
(1)分组转化求和法:一个数列的通项公式是由若干个等差或等比或可求和的数列组成的,则求和时可用分组求和法,分别求和后相加减.
(2)裂项相消法:把数列的通项拆成两项之差,在求和时中间的一些项可以相互抵消,从而求得前n项和.
(3)错位相减法:如果一个数列的各项是由一个等差数列和一个等比数列的对应项之积构成的,那么求这个数列的前项和即可用错位相减法求解.
(4)倒序相加法:如果一个数列与首末两端等“距离”的两项的和相等或等于同一个常数,那么求这个数列的前项和即可用倒序相加法求解.
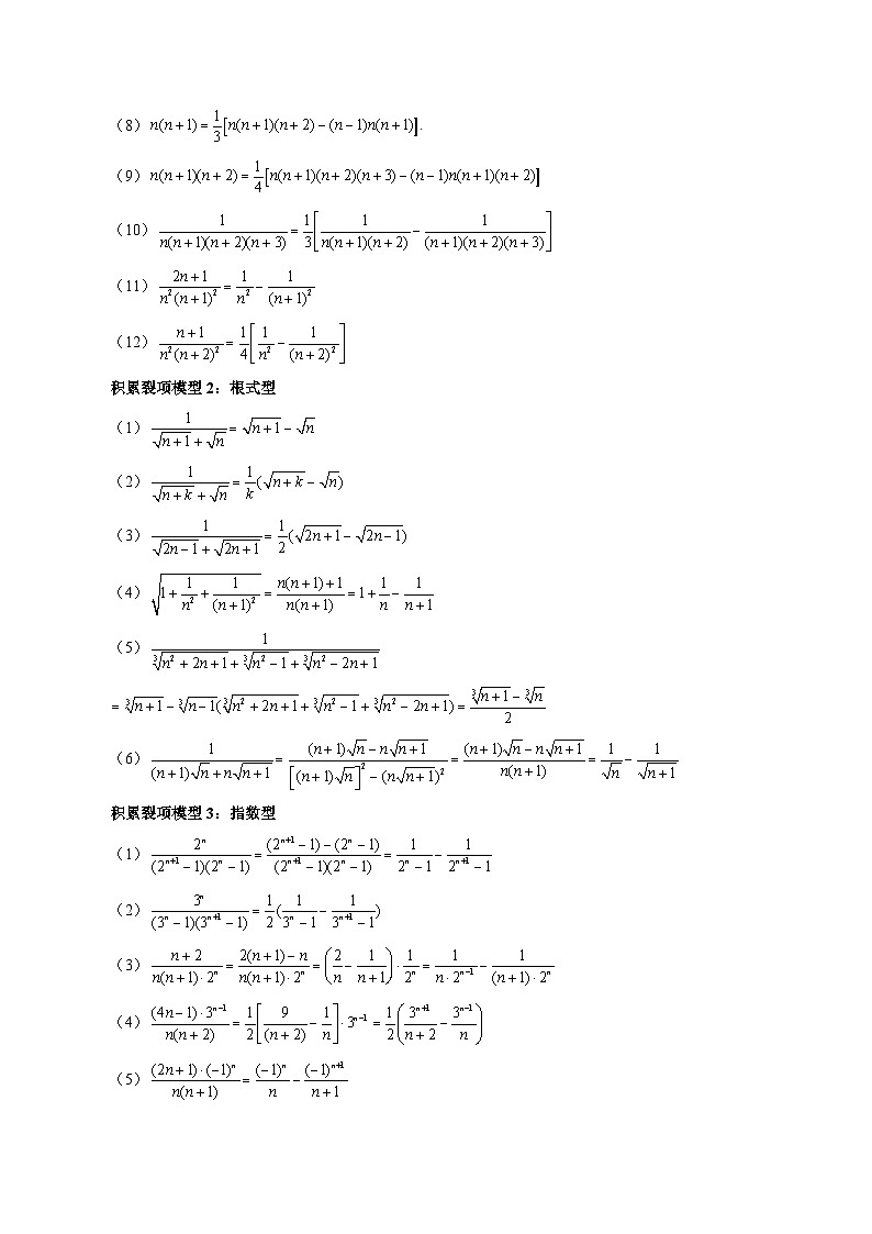
常见的裂项技巧
积累裂项模型1:等差型
(1)
(2)
(3)
(4)
(5)
(6)
(7)
(8)
(9)
(10)
(11)
(12)
积累裂项模型2:根式型
(1)
(2)
(3)
(4)
(5)
(6)
积累裂项模型3:指数型
(1)
(2)
(3)
(4)
(5)
(6),设,易得,
于是
(7)
积累裂项模型4:对数型
积累裂项模型5:三角型
(1)
(2)
(3)
(4),
则
积累裂项模型6:阶乘
(1)
(2)
常见放缩公式:
(1);
(2);
(3);
(4);
(5);
(6);
(7);
(8);
(9);
(10)
;
(11)
;
(12);
(13).
(14).
经典题型一:通项分析法
1.(2022·云南民族大学附属中学模拟预测(理))数列,,,,,,的前项和的值等于_____________
2.(2022·湖南·模拟预测)已知单调递减的正项数列,时满足. 为前n项和.
(1)求的通项公式;
(2)证明:.
3.(2022·全国·高三专题练习)求和.
4.数列9,99,999,的前项和为
A. B. C. D.
经典题型二:公式法
5.已知等差数列中,,.
(1)求的通项公式;
(2)令,求数列的前项和.
6.如图,从点做轴的垂线交曲线于点,曲线在点处的切线与轴交于点,再从做轴的垂线交曲线于点,依次重复上述过程得到一系列点:,;,;,,记点的坐标为,,2,,.
(Ⅰ)试求与的关系;
(Ⅱ)求.
经典题型三:错位相减法
7.(2022·浙江·高三开学考试)已知数列的前项和为,且,数列为等差数列,且.
(1)求与的通项公式;
(2)记,求的前项和为.
8.(2022·广东深圳·高三阶段练习)已知数列的前项和为,且.
(1)求数列的通项公式;
(2)若数列的前项和为,证明:.
9.(2022·河南·高三开学考试(文))在①;②;③,三个条件中任选一个,补充到下面问题的横线处,并解答.
已知数列的前项和为,且,______.
(1);
(2)设求数列的前项和.
注:如果选择多个条件解答,按第一个解答计分.
10.(2022·湖北·应城市第一高级中学高三开学考试)在数列中,,其中.
(1)证明数列是等差数列,并写出证明过程;
(2)设,数列的前n项和为,求;
经典题型四:分组求和法
11.(2022·河南省杞县高中高三开学考试(文))已知数列满足,设.
(1)证明:是等比数列;
(2)求.
12.(2022·广东·高三开学考试)已知数列满足,,.
(1)求数列的通项公式;
(2)求数列的前项的和.
13.(2022·甘肃·高台县第一中学高三开学考试(文))已知公差不为0的等差数列满足.若,,成等比数列.
(1)求的通项公式;
(2)设,求数列的前项和
14.(2022·河南·高三开学考试(文))已知等比数列的公比大于1,,.
(1)求的通项公式;
(2)若,求的前项和.
15.(2022·河南·高三开学考试(理))已知等差数列的公差为,前项和为,等差数列的公差为,且,,.
(1)求数列,的通项公式;
(2)设,求数列的前项和.
经典题型五:裂项相消法
16.(2022·安徽·芜湖一中模拟预测)已知数列满足:.
(1)证明数列为等差数列,并求数列的通项公式.
(2)若,证明:.
17.(2022·黑龙江·高三开学考试)已知数列的首项为1,满足,且,,1成等差数列.
(1)求的通项公式;
(2)证明:.
18.(2022·浙江·高三开学考试)已知数列为公差不为0的等差数列,且成等比数列.
(1)求数列的通项公式;
(2)设为数列的前项和,令,求数列的前2022项和.
19.(2022·云南·昆明一中高三开学考试)已知数列的前项和为,且.
(1)求的通项公式;
(2)设的前项和为,求.
20.(2022·安徽·高三开学考试)已知数列满足且,且.
(1)求数列的通项公式;
(2)设数列的前项和为,求证:.
21.(2022·全国·高三专题练习)已知数列的前项和为,且满足,.
(1)求;
(2)求数列的前项和.
22.(2022·河南·高三开学考试(文))已知数列是递增的等差数列,是与的等比中项,且.若,则数列的前项和( )
A. B.
C. D.
经典题型六:倒序相加法
23.(2022·全国·高三专题练习)德国大数学家高斯年少成名,被誉为数学届的王子,19岁的高斯得到了一个数学史上非常重要的结论,就是《正十七边形尺规作图之理论与方法》.在其年幼时,对的求和运算中,提出了倒序相加法的原理,该原理基于所给数据前后对应项的和呈现一定的规律生成,因此,此方法也称之为高斯算法,现有函数,设数列满足,若,则的前n项和_________.
24.(2022·全国·高三专题练习)设函数,,.则数列的前n项和______.
25.(2022·湖南·麻阳苗族自治县第一中学高三开学考试)德国大数学家高斯年少成名,被誉为数学界的王子.在其年幼时,对的求和运算中,提出了倒序相加法的原理,该原理基于所给数据前后对应项的和呈现一定的规律生成;因此,此方法也称之为高斯算法.现有函数,则等于( )
A. B. C. D.
26.(2022·全国·高三专题练习)函数,其中,记,则( )
A. B.
C. D.
经典题型七:并项求和
27.(2022·全国·高三专题练习)数列满足,前16项和为540,则__.
28.(2022·全国·高三专题练习(文))在等差数列{an}中,a3+a5=a4+7,a10=19,则数列{ancosnπ}的前2020项的和为( )
A.1009 B.1010 C.2019 D.2020
29.(2022·全国·高三专题练习)已知数列的通项公式为(),其前项和为,则_______.
30.(2022·江苏·高邮市第一中学高三阶段练习)已知数列满足,,则数列的前2020项的和为( )
A.0 B.1010 C.2020 D.2024
31.(2022·河北唐山·一模)已知数列满足,,记数列的前n项和为.
(1)求的值;
(2)求的最大值.
经典题型八:先放缩后裂项求和
32.(2022·黑龙江·哈尔滨市第六中学校高三阶段练习)已知数列的前项和为,且满足,
(1)求和
(2)求证:.
33.(2022·全国·高三专题练习)已知数列前项和为满足,.
(1)求通项公式;
(2)设,求证:.
34.(2022·全国·高三专题练习)求证: .
经典题型九:分段数列求和
35.(2022·湖南·高三阶段练习)已知数列中,,,令.
(1)求数列的通项公式;
(2)若,求数列的前14项和.
36.(2022·全国·模拟预测)已知数列满足,
(1)令,求,及的通项公式;
(2)求数列的前2n项和.
37.(2022·全国·高三专题练习)已知数列的前n项和为,且
(1)求的通项公式;
(2)设,求数列的前20项和.
38.(2022·重庆·高三阶段练习)已知数列的前项和,且,正项等比数列满足:,.
(1)求数列和的通项公式;
(2)若,求数列的前项和.
经典题型十:含绝对值、取整、取小数等数列求和
39.(2022·全国·高三专题练习)已知正项数列满足().
(1)求数列的通项公式;
(2)令,记的前项和为,求.
40.(2022·全国·高三专题练习)已知数列的前项和,且,正项等比数列满足:,.
(1)求数列和的通项公式;
(2)若,求数列的前项和.
41.(2022·湖南·麻阳苗族自治县第一中学高三开学考试)已知是数列的前n项和,
(1)求的通项公式;
(2)设,求数列的前10项和,其中表示不超过的最大整数,如,.
42.(2022·全国·高三专题练习)若数列满足,且,则的前100项和为( )
A.67 B.68 C.134 D.167
43.(2022·上海中学高三期中)已知数列满足且,则的最小值是___________.
44.(2022·全国·高三专题练习)已知表示不超过的最大整数,例如:,在数列中,,记为数列的前项和,则 ___________.
45.(2022·浙江·高三专题练习)已知数列,则数列的前项和___________.
经典题型十一:数列插项求和
46.(2022·广东广州·高三开学考试)已知集合,,将A与B中的所有元素按从小到大的顺序排列构成数列(若有相同元素,按重复方式计入排列)为1,3,3,5,7,9,9,11,….,设数列的前n项和为.
(1)若,求m的值;
(2)求的值.
47.(2022·全国·高三专题练习)已知数列,的通项公式分别为,,现从数列中剔除与的公共项后,将余下的项按照从小到大的顺序进行排列,得到新的数列,则数列的前150项之和为( )
A.23804 B.23946 C.24100 D.24612
48.(2022·全国·高三专题练习)“提丢斯数列”,是由世纪德国数学家提丢斯给出,具体如下:,,,,,,,,,容易发现,从第项开始,每一项是前一项的倍;将每一项加上得到一个数列:,,,,,,,,;再将每一项除以后得到:“提丢斯数列”:,,,,,,,,则下列说法中,正确的是( )
A.“提丢斯数列”是等比数列 B.“提丢斯数列”的第项为
C.“提丢斯数列”前项和为 D.“提丢斯数列”中,不超过的有项
经典题型十二:数列奇偶项求和
49.(2022·全国·高三专题练习)设数列是公差大于零的等差数列,已知,.
(1)求数列的通项公式;
(2)设数列满足,求.
50.(2022·广东佛山·三模)设各项非零的数列的前项和记为,记,且满足.
(1)求的值,证明数列为等差数列并求的通项公式;
(2)设,求数列的前项和.
51.(2022·全国·高三专题练习)在数列中,,且.
(1)证明:为等比数列,并求的通项公式;
(2)令,求数列的前项和.
52.(2022·全国·高三专题练习)已知数列满足,.
(1)证明:数列为等比数列.
(2)求数列的前n项和.
53.(2022·江苏·高三专题练习)设为数列的前项和,,则数列的前7项和为________.
1.(2021·浙江·高考真题)已知数列满足.记数列的前n项和为,则( )
A. B. C. D.
2.(2020·江苏·高考真题)设{an}是公差为d的等差数列,{bn}是公比为q的等比数列.已知数列{an+bn}的前n项和,则d+q的值是_______.
3.(2022·全国·高考真题)记为数列的前n项和,已知是公差为的等差数列.
(1)求的通项公式;
(2)证明:.
4.(2021·全国·高考真题(文))设是首项为1的等比数列,数列满足.已知,,成等差数列.
(1)求和的通项公式;
(2)记和分别为和的前n项和.证明:.
5.(2020·天津·高考真题)已知为等差数列,为等比数列,.
(Ⅰ)求和的通项公式;
(Ⅱ)记的前项和为,求证:;
(Ⅲ)对任意的正整数,设求数列的前项和.
6.(2020·全国·高考真题(理))设是公比不为1的等比数列,为,的等差中项.
(1)求的公比;
(2)若,求数列的前项和.
7.(2020·全国·高考真题(理))设数列{an}满足a1=3,.
(1)计算a2,a3,猜想{an}的通项公式并加以证明;
(2)求数列{2nan}的前n项和Sn.
8.(2021·全国·高考真题)某校学生在研究民间剪纸艺术时,发现剪纸时经常会沿纸的某条对称轴把纸对折,规格为的长方形纸,对折1次共可以得到,两种规格的图形,它们的面积之和,对折2次共可以得到,,三种规格的图形,它们的面积之和,以此类推,则对折4次共可以得到不同规格图形的种数为______;如果对折次,那么______.
经典题型一:通项分析法
1.【答案】
【解析】依题意,易得该数列的通项公式为:,
;
故答案为: .
2.【解析】(1)由,
得,
即,
由是单调递减的正项数列,得,
则,即,
故是以为首项,1为公差的等差数列,
则,即.
(2)要证:,
只需证:,
即证:,
即证:,
即证:,
即证:,
即证:,
而此不等式显然成立,
所以成立.
3.【解析】∵
,
∴.
4.【解析】解数列通项,
.
故选:.
经典题型二:公式法
5.【解析】解:(1)设数列的公差为,由题意得
解得,,
的通项公式为.
(2)由得
,
是首项为,公比的等比数列.
.
6.【解析】解:(Ⅰ)设,,
由得
点处切线方程为
由得.
(Ⅱ),,得,
经典题型三:错位相减法
7.【解析】(1)时,,
又,
所以是首项是1,公比是的等比数列,所以;
设的公差为,则由,得
.
(2)由(1)知,
所以
,
所以.
8.【解析】(1)当时,,故.
当时,①,②,
由①②,得,可得,
所以数列是以首项为,公比为的等比数列,故.
(2),则,
所以,,
上述两个等式作差可得,
所以,.
9.【解析】(1)选①,由得,
所以数列是以为首项,2为公比的等比数列,
,所以.
选②,由得,
作差得,
符合上式,所以.
选③,由得
作差得,即,
即,即,
所以数列是以为首项,2为公比的等比数列,
,所以.
(2),
所以.
设,,
,
,
作差得,
化简得,
所以.
10.【解析】(1)因为,
所以,
,
所以数列是以1为公差,1为首项的等差数列;
(2)由(1)可得,
所以,
所以①,
②,
所以①-②得,
所以
经典题型四:分组求和法
11.【解析】(1)证明:当时,,则
从而由,得,又,
所以是以2为首项,2为公比的等比数列.
(2)由(1)得,
所以
12.【解析】(1)当为奇数时,,
所以所有奇数项构成以为首项,公差为-1的等差数列,
所以,
当为偶数时,,所以所有偶数项构成以为首项,公比为3的等比数列,所以,所以;
(2).
13.【解析】(1)假设等差数列的公差为,
因为成等比数列,所以,
所以,即,因为,所以,
所以的通项公式为;
(2)因为,
所以
14.【解析】(1)设等比数列的公比为,
由,得,
解之得或(舍去),
由得,,
所以的通项公式为.
(2)由(1)知,
所以的前项和为
15.【解析】(1)因为数列,都是等差数列,且,,
所以,解得,
所以
综上,.
(2)由(1)得:
所以
.
经典题型五:裂项相消法
16.【解析】(1)由,
故数列是以2为首项,公差为2的等差数列,
∴,
∴,
当时,满足,
故对.
(2)证明:,
故,
故
17.【解析】(1)由题意得,则,
∴数列为等差数列.
又,∴,即数列的公差为1,
∴,即.
(2)由已知得,
∴
.
18.【解析】(1)设数列的公差为,则,
由题意可得:
解得:
∴数列的通项公式为;
(2)由(1),
,
设数列的前项和为,
所以数列的前2022项和
19.【解析】(1),
,
两式作差得:,
,
成等差数列,
又当时,,
所以
即
(2)由(1)知,
则,
即
,
故
.
20.【解析】(1)因为,所以,
两式相减得,
当时,, 又,所以,
所以,
所以是首项为2,公比为2的等比数列,
所以;
(2)证明:,
所以, 由,得,
所以,
综上,.
21.【解析】(1)当时,,∵,∴.当时,由,得,两式相减得即∴数列,均为公比为4的等比数列∴,∴
(2)∵∴数列的前项和
22.【答案】A
【解析】因为数列是递增的等差数列,所以数列的公差.
由题意得即
解得或(舍去).
所以.
所以.
所以
故选:A.
经典题型六:倒序相加法
23.【答案】
【解析】由得,
,
由,
得,
故,
故,
所以,
则,
两式相减得:
故,
故答案为:
24.【答案】
【解析】由题设,,
所以,
即且n ≥ 2,
当时,,
当时,,
所以,
故答案为:.
25.【答案】B
【解析】因为,
且,
令,
又
,
两式相加得:,
解得,
故选:B
26.【答案】A
【解析】,∴
,
,∴
,
故选:A.
经典题型七:并项求和
27.【答案】-2
【解析】因为数列满足,
当为奇数时,,
所以,,,,
则,
当为偶数时,,
所以,,,,,,,
故,,,,,,,
因为前16项和为540,
所以,
所以,解得.
故答案为:.
28.【答案】D
【解析】设的公差为d,则有,
解得,
∴,
设,
则,,…,
∴数列的前2020项的和
.
故选:D
29.【答案】
【解析】
,
∴.
故答案为:
30.【答案】C
【解析】由,,令,
可得,,
两式相加可得,
,,
两式相加,
进行推论归纳可得,,
所以数列的前2020项的和为.
故选:C.
31.【解析】(1)由可得
当时, (ⅰ)
所以,,…,,
因此.
(2)当时, (ⅱ),
(ⅰ)式减去(ⅱ)式得,
又,于是,
可得;当时,;
又,
则时,;
又,
时,;
因此时,取得最大值,且.
经典题型八:先放缩后裂项求和
32.【解析】(1)时,,时,,
所以,所以数列是以为首项,公差为的等差数列.
所以,即,
当时,,
当时,,不满足上式,
所以,
(2)当时,,原式成立.
当时,
所以.
33.【解析】(1)由,得,两式相减,得.
由,,得,
所以,,即数列是以2为首项,公比为3的等比数列,
从而有.
(2)证明:由(1)知,从而,
所以,当时,,
从而有;
当时,不等式显然成立.
综上有成立.
34.【解析】,
经典题型九:分段数列求和
35.【解析】(1)当时,,又,得,
由①
得②,①②两式相除可得,
则,且,
所以数列是以2为首项,2为公比的等比数列,
故.
(2)当n为奇数时,;
当n为偶数时,,
.
所以数列的前14项和为
.
36.【解析】(1)由题意得,,,,,
,,,
当时,,
又,所以是以1为首项,2为公比的等比数列,所以.
(2)由(1)知,所以,
所以
.
37.【解析】解:(1)当时,
当n为奇数,且时,,显然满足;
当n为偶数时,
所以
(2)
.
38.【解析】(1)当时,,
由,得,即,
当时,,当时,,
所以;
设正项等比数列的公比为,则,
所以,解得或(舍),
所以.
(2),
所以当时,,
当时,,
即
经典题型十:含绝对值、取整、取小数等数列求和
39.【解析】(1),
或,
为正项数列,
;
(2),
是周期为12的周期数列 ,
,,
,
,,
,,
,,
,,
.
40.【解析】(1)当时,,
由,得,即,
当时,,当时,,
所以;
设正项等比数列的公比为,则,
所以,解得或(舍),
所以.
(2),
所以当时,,
当时,,
即
41.【解析】(1)∵;
∵,∴
两式相减可得,又,∴.
(2)由(1)知:,
所以当时,,此时;
当时,,此时;
当时,,此时;
当时,,此时,
所以数列的前10项和为.
42.【答案】B
【解析】因为,
所以,
因为,
所以数列的项依次为2,1,1,0,1,1,0,…,
所以从第2项起,3项一个循环,
所以的前100项的和为,
故选:B.
43.【答案】
【解析】由得:,
,,…,
,,,
累加得,
,
,,
当为奇数时,为奇数;为偶数时,为偶数;
则为偶数,
当时,取得最小值.
当数列满足,(且为偶数),
(且为奇数)时,符合条件.
故答案为:
44.【答案】4956
【解析】当时,,
当时,,
当时,,
当时,,
.
故答案为:
45.【答案】
【解析】设数列的前项和为,
当,,解得:,
当时,,当 ,
当时, ,
当时,,
所以.
故答案为:
经典题型十一:数列插项求和
46.【解析】(1)因为,所以数列中前项中含有A中的元素为1,3,5,7,9,…,27,共有14项,
数列中前项中含有B中的元素为3,9,27,共有3项,
排列后为1,3,3,,5,7,9,9,…,27,27,29,…,
所以或17.
(2)因为,,,
所以数列中前50项中含有B中的元素为3,9,27,81共有4项,它们都是正奇数,均属于A,
所以数列中前50项中含有A中的元素为1,3,5,7,9,…,27,29,…,79,81,83,…,,共有46项,
所以.
47.【答案】D
【解析】因为,,,故数列的前项中包含的前项,故数列的前150项包含的前项排除与公共的8项.
记数列,的前项和分别为,,
故选:D.
48.【答案】C
【解析】记“提丢斯数列”为数列,则当时,,解得
当时,,符合该式;
当时,
,
A选项:“提丢斯数列”不是等比数列,A故错误;
B选项:“提丢斯数列”的第项为,故B错误;
C选项:“提丢斯数列”前项和为:
,故C正确;
D选项:由,得,成立;
时,,即,解得
,
“提丢斯数列”中,不超过的有项,故D错误.
故选:C
经典题型十二:数列奇偶项求和
49.【解析】(1)设等差数列的公差为,
,
又,
解得或,
,
,
.
(2)
当为奇数时,,
当为偶数时,,
故是以2为周期的周期数列,且,
.
50.【解析】(1)由题意可知,,且,解得:或(舍去)
又当时,,所以有
化简得:,所以数列是以为首项,以为公差的等差数列
所以
(2)由(1)可知
当时,
当时,
则,
①当是奇数时,
②当是偶数时,
综上所述:
51.【解析】(1)因为,所以,又,所以,所以是以4为首项,2为公比的等比数列.故,即.
(2)由(1)得,则,①当时,②当时,,综上所述,
52.【解析】(1)证明:因为,,所以,所以数列是首项为4,公比为4的等比数列;
(2)由(1)可得,即,则.当n为偶数时,,则,当n为奇数时,则,综上所述,.
53.【答案】
【解析】∵,
∴时,,即,,
由已知,
当时, (*),
(*)式中为偶数时,,,此时为奇数,
∴为奇数时即时,;
(*)式中为奇数时,,,
即,此时为偶数,
∴为偶数即时,,
∴,
由,
得为奇数时,,
为偶数时,,
∴数列的前7项和为
.
故答案为:.
1.(2021·浙江·高考真题)已知数列满足.记数列的前n项和为,则( )
A. B. C. D.
【答案】A
【解析】因为,所以,.
由
,即
根据累加法可得,,当且仅当时取等号,
,
由累乘法可得,当且仅当时取等号,
由裂项求和法得:
所以,即.
故选:A.
2.【答案】
【解析】设等差数列的公差为,等比数列的公比为,根据题意.
等差数列的前项和公式为,
等比数列的前项和公式为,
依题意,即,
通过对比系数可知,故.
故答案为:
3.【解析】(1)∵,∴,∴,又∵是公差为的等差数列,∴,∴,∴当时,,∴,整理得:,即,∴,显然对于也成立,∴的通项公式;
(2) ∴
4.【解析】(1)因为是首项为1的等比数列且,,成等差数列,
所以,所以,
即,解得,所以,
所以.
(2)[方法一]:作差后利用错位相减法求和
,
,
.
设, ⑧
则. ⑨
由⑧-⑨得.
所以.
因此.
故.
[方法二]【最优解】:公式法和错位相减求和法
证明:由(1)可得,
,①
,②
①②得 ,
所以,
所以,
所以.
[方法三]:构造裂项法
由(Ⅰ)知,令,且,即,
通过等式左右两边系数比对易得,所以.
则,下同方法二.
[方法四]:导函数法
设,
由于,
则.
又,
所以
,下同方法二.
【整体点评】本题主要考查数列的求和,涉及到等差数列的性质,错位相减法求数列的和,考查学生的数学运算能力,是一道中档题,其中证明不等式时采用作差法,或者作商法要根据式子得结构类型灵活选择,关键是要看如何消项化简的更为简洁.
(2)的方法一直接作差后利用错位相减法求其部分和,进而证得结论;
方法二根据数列的不同特点,分别利用公式法和错位相减法求得,然后证得结论,为最优解;
方法三采用构造数列裂项求和的方法,关键是构造,使,求得的表达式,这是错位相减法的一种替代方法,
方法四利用导数方法求和,也是代替错位相减求和法的一种方法.
5.【解析】(Ⅰ)设等差数列的公差为,等比数列的公比为q.
由,,可得d=1.
从而的通项公式为.
由,
又q≠0,可得,解得q=2,
从而的通项公式为.
(Ⅱ)证明:由(Ⅰ)可得,
故,,
从而,
所以.
(Ⅲ)当n为奇数时,,
当n为偶数时,,
对任意的正整数n,有,
和 ①
由①得 ②
由①②得,
由于,
从而得:.
因此,.
所以,数列的前2n项和为.
6.【解析】(1)设的公比为,为的等差中项,
,
;
(2)设的前项和为,,
,①
,②
①②得,
,
.
7.【解析】(1)
[方法一]【最优解】:通性通法
由题意可得,,由数列的前三项可猜想数列是以为首项,2为公差的等差数列,即.
证明如下:
当时,成立;
假设时,成立.
那么时,也成立.
则对任意的,都有成立;
[方法二]:构造法
由题意可得,.由得.,则,两式相减得.令,且,所以,两边同时减去2,得,且,所以,即,又,因此是首项为3,公差为2的等差数列,所以.
[方法三]:累加法
由题意可得,.
由得,即,,…….以上各式等号两边相加得,所以.所以.当时也符合上式.综上所述,.
[方法四]:构造法
,猜想.由于,所以可设,其中为常数.整理得.故,解得.所以.又,所以是各项均为0的常数列,故,即.
(2)由(1)可知,
[方法一]:错位相减法
,①
,②
由①②得:
,
即.
[方法二]【最优解】:裂项相消法
,所以.
[方法三]:构造法
当时,,设,即,则,解得.
所以,即为常数列,而,所以.
故.
[方法四]:
因为,令,则
,
,
所以.
故.
【整体点评】(1)方法一:通过递推式求出数列的部分项从而归纳得出数列的通项公式,再根据数学归纳法进行证明,是该类问题的通性通法,对于此题也是最优解;
方法二:根据递推式,代换得,两式相减得,设,从而简化递推式,再根据构造法即可求出,从而得出数列的通项公式;
方法三:由化简得,根据累加法即可求出数列的通项公式;
方法四:通过递推式求出数列的部分项,归纳得出数列的通项公式,再根据待定系数法将递推式变形成,求出,从而可得构造数列为常数列,即得数列的通项公式.
(2)方法一:根据通项公式的特征可知,可利用错位相减法解出,该法也是此类经典题型的通性通法;
方法二:根据通项公式裂项,由裂项相消法求出,过程简单,是本题的最优解法;
方法三:由时,,构造得到数列为常数列,从而求出;
方法四:将通项公式分解成,利用分组求和法分别求出数列的前项和即可,其中数列的前项和借助于函数的导数,通过赋值的方式求出,思路新颖独特,很好的简化了运算.
8.【答案】 5
【解析】(1)由对折2次共可以得到,,三种规格的图形,所以对着三次的结果有:,共4种不同规格(单位;
故对折4次可得到如下规格:,,,,,共5种不同规格;
(2)由于每次对着后的图形的面积都减小为原来的一半,故各次对着后的图形,不论规格如何,其面积成公比为的等比数列,首项为120,第n次对折后的图形面积为,对于第n此对折后的图形的规格形状种数,根据(1)的过程和结论,猜想为种(证明从略),故得猜想,
设,
则,
两式作差得:
,
因此,.
故答案为:;.
相关试卷
这是一份2024年高考数学第一轮复习四十三讲27 数列求和经典题型归纳(十二大经典题型)(原卷附答案),共49页。试卷主要包含了已知单调递减的正项数列,时满足,求和,已知等差数列中,,,已知数列的前项和为,且.,在数列中,,其中.等内容,欢迎下载使用。
这是一份2024届一轮复习命题方向精讲系列:43 统计与统计案例(九大经典题型)(原卷附答案),共62页。试卷主要包含了抽样,用样本估计总体,变量间的相关关系,线性回归,非线性回归,独立性检验等内容,欢迎下载使用。
这是一份2024届一轮复习命题方向精讲系列:40 事件的相互独立性、条件概率与全概率公式(七大经典题型)(原卷附答案),共29页。试卷主要包含了条件概率,相互独立与条件概率的关系,全概率公式等内容,欢迎下载使用。

