广东省梅州市五华县2022-2023学年六年级下学期数学期末考试试卷
展开
这是一份广东省梅州市五华县2022-2023学年六年级下学期数学期末考试试卷,共13页。
广东省梅州市五华县2022-2023学年六年级下学期数学期末考试试卷一、选择题。(在答题卡上涂出每道题中正确的选项。每题2分,共20分)1.一个长方形的长是8厘米,宽是5厘米,以它的长为轴旋转一周,能够形成一个( )。 A.长方体 B.正方体 C.圆锥 D.圆柱2.下面的数据中,与你1小时的心跳总次数最接近的数是( )。 A.80 B.1920 C.5000 D.1150003.一串珠子,按2个红色,3个黄色,4个蓝色,2个红色,3个黄色,4个蓝色……规律排列,第100个珠子的颜色是( ) 色。A.红 B.黄 C.蓝 D.白4.在3:4中,如果比的后项加上8,要使比值不变,前项应该( )。 A.加8 B.乘2 C.乘3 D.乘45.小华家的藏书有a本,小梅家的藏书比小华家藏书量的2倍还多30本。小梅家的藏书有( )本。 A.2a-30 B.60 C.2a D.2a+306.一个平行四边形的两条邻边的长度分别为12厘米、8厘米,其中一条底上的高是10厘米。这个平行四边形的面积是( )平方厘米。 A.96 B.80 C.120 D.607.乐乐把
米长的彩带平均截成了3段,每段占全长的( )。A.
B.
C.
D.
8.下列说法正确的是( ) A.商品的总价一定,单价与数量成反比例。B.长度为3cm、4cm和7cm的三条线段能围成一个三角形。C.棱长是6厘米的正方体的表面积和体积相等。D.要了解两个城市的气温变化情况,选用扇形统计图比较合适。9.把一个圆柱形木头削成一个最大的圆锥。已知削去的体积是36dm3,这根圆柱形木头的体积是( ) dm3。A.48 B.54 C.72 D.10810.笑笑家在学校的东偏北60°方向700米处,那么学校在笑笑家( )方向700米处。 A.南偏西30° B.西偏南30° C.北偏西60° D.西偏北30°二、填空题。 (每小题4分,共20分)11.五华县是南粵文化的发源地之一,是中国酿酒文明的发源地之一,是中国内地现代足球的发源地,享有“文化之乡、华侨之乡、足球之乡、工匠之乡”的美誉。截至2021年末,五华县常住人口达921912人。这个数读作 ,省略万位后面的尾数约是 万。12. (1)3吨80千克= 吨(2)25毫升= 升13. 4: =
= 0.8=20÷ = %。14.在 ▲ 里填上“>”“<”或“=”。0.39
125%
26871206 26789615.已知a×
=b×
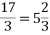
(a、b都不为0),a和b成 比例(填“正”、“反”或“不成”):当b=20时,a应是 。三、计算题。(共20分)16.直接写出得数。367+98= 0.4×0.2= 0.36÷0.4=
17.递等式计算。 (1)
(2)4.6×5.2+0.48×46 (3)[1- (
) ]×2418.解方程或比例。 (1)x-20%x=3.6 (2)
四、操作题。(共 11分)19.按要求画图形。
(1)画出图A向下平移5格得到的图形A'。(2)按给定的对称轴,画出图B的另一半,使它成为一个轴对称图形。(3)画出图C绕点O顺时针旋转90°后得到的图形C'。 (4)画出图形D按2:1放大后的图形D'。 20.不用解答,根据下面的信息画出示意图,表示题中数量之间的关系。
小冬的身高是140厘米,比小浩的身高矮
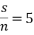
,小浩的身高是多少厘米?五、实践与应用。(共29分)21.书籍是全世界的营养品。学校购进一批图书,按3:5的比例分给五年级和六年级,六年级分到480本,这批图书共有多少本?22.生活中处处有数学。A、B两地相距350千米,甲、乙两辆汽车同时从A、B两地相向开出,甲车每小时行驶80千米,乙车的速度是甲车的75%,两车经过多长时间能够相遇?23.实践出真知。有一个圆柱形容器,从里面量得底面直径为8厘米,高为10厘米,里面装了6厘米高的水,将一个圆锥体铁块浸没到水中,水面升高了2厘米。这个圆锥体铁块的体积是多少立方厘米?24.分享是最好的学习。小新在数学课上学习了“圆柱的体积=底面积×高”。但是他一直不明白这个公式是怎么得出来的。请你用画一画、写一写的方法分享你的思考。25.下面是某辆汽车行驶路程与耗油量的对应数值表。所行路程/km0510152025……耗油量/L012345……(1)汽车的行驶路程与耗油量成 比例关系。(填“正”或“反”)(2)把这辆汽车的行驶路程与耗油量所对应的点在下图中描出来,并连线。
(3)所行驶路程用s表示,耗油量用n表示,写出s与n的关系式。(4)这辆汽车行驶125千米的耗油量是 升。
答案解析部分1.【答案】D【知识点】圆柱的特征【解析】【解答】解:一个长方形的长是8厘米,宽是5厘米,以它的长为轴旋转一周,能够形成一个圆柱体。
故答案为:D。
【分析】以长方形的长为轴旋转一周,能够形成一个圆柱体。2.【答案】C【知识点】两位数乘两位数的估算【解析】【解答】解:一个人每分钟心跳大约80下,1小时跳:
80×60=4800(下),5000最接近4800下。
故答案为:C。
【分析】1小时心跳总次数=平均每分钟心跳的次数×时间。3.【答案】A【知识点】周期性问题【解析】【解答】解:每个周期有珠子2+3+4=9(个),100÷9=11(组)...1(个),余下一个,第一个珠子是红色。
故答案为A。
【分析】根据题干,一串珠子是按2个红色,3个黄色,4个蓝色,一组共有2+3+4=9(个)。珠子循环排列的,只需要求出第100个珠子是有几组循环余几个,余几个就是每组循环中的第几个珠子,就能知道珠子的颜色。4.【答案】C【知识点】比的基本性质【解析】【解答】解:在3∶4中,后项加上8,得4+8=12,12÷4=3,相当于后项乘3,要使比值不变,前项也要乘3;
故答案为C。【分析】根据比的基本性质:比的前项和后项同时乘或除以相同的数(0除外),比值不变。5.【答案】D【知识点】倍的应用;用字母表示数【解析】【解答】解:=小梅家的藏书是小华家藏书的2倍多30本,小梅家的藏书为(2a+30)本;
故答案为D。【分析】求一个数的几倍用乘法,多30本再加上30。6.【答案】B【知识点】平行四边形的面积【解析】【解答】解:8×10=80(平方厘米);
故答案为B。【分析】根据在直角三角形中斜边最长,可确定10cm高对应的底边为8cm,而平行四边形的面积为底×高。7.【答案】D【知识点】分数及其意义【解析】【解答】解:1根彩带平均截成了3段,每段占全长的
;
故答案为D。【分析】由题意,把彩带的全长看做单位“1”,平均分成3段,求每段占全长的几分之几,用1除以段数即可。8.【答案】A【知识点】统计图的选择;三角形的特点;正方体的体积;成反比例的量及其意义【解析】【解答】解:A选项:根据总价=单价x数量,总价一定,单价与数量成反比例关系,原题正确;
B选项:3+4=7,所以3cm,4cm,7cm的三条线段不能构成三角形,原题错误;
C选项:表面积:6×6×6=216(平方厘米),体积:6×6×6=216(立方厘米),单位不一样,原题错误;
D选项:了解两个城市的气温变化,选用折线图比较合适,原题错误。
故答案为A。
【分析】A选项:两个量的乘积一定,这两个量成反比例;
B选项:三角形的特性:三角形的任意两边之和大于第三边,三角形的任意两边之差小于第三边;
C选项:一个是面积单位,一个是体积单位,单位不一样,不相等;
D选项:折线统计图更适合用于展示数据的变化情况。9.【答案】B【知识点】圆柱与圆锥体积的关系【解析】【解答】解:36÷(1-
)=36÷
=36×
=54(立方分米);
故答案为B。【分析】把一个圆柱形木头削成一个最大的圆锥,也就是圆锥与圆柱要等底等高,由于等底等高的圆锥的体积是圆柱的体积的
,所以削去的体积相当于圆柱体积的(1-
)。根据已知一个数的几分之几是多少,求这个数用除法。10.【答案】A【知识点】根据方向和距离确定物体的位置【解析】【解答】解:笑笑家在学校的东偏北60°方向700米处,即家在学校北偏东30°方向的700米处,那么反过来,学校在笑笑家南偏西30°;
故答案为A。【分析】东方的反方向是西方,北方的反方向是南方,东偏北60°的反方向就是西偏南60°,即南偏西30°。11.【答案】九十二万一千九百一十二;92【知识点】亿以内数的读写与组成;亿以内数的近似数及改写【解析】【解答】解:921912读作:九十二万一千九百一十二;省略万位后面的尾数约是92万。
故答案为:九十二万一千九百一十二;92。【分析】整数的读法:从高位到低位,一级一级地读,每一级末尾的零都不读出来,其他数位连续几个零都只读一个零;
省略万位后面的位数也就是四舍五入到万位,即把千位上的数字四舍五入,再在数字后面写上万字。12.【答案】(1)3.08(2)0.025【知识点】小数点向左移动引起小数大小的变化;容积单位间的进率及换算【解析】【解答】解:(1)80÷1000=0.08,所以3吨80千克=3.08吨;
(2)25÷1000=0.025,所以25毫升=0.025升。
故答案为:(1)3.08;(2)0.025。【分析】(1)1吨=1000千克;(2)1升=1000毫升。把高级单位换算成低级单位乘进率,把低级单位换算成高级单位要除以进率。13.【答案】5;24;25;80【知识点】百分数与小数的互化;比与分数、除法的关系【解析】【解答】解:0.8=
=4:5=
=20÷25=80%
故答案为:5;24;25;80。【分析】根据分数、比与除法之间的关系:(1)分数的分子相当与比的前项也相当于除法中的被除数;(2)分数的分母相当于比的后项也相当于除法中的除数,这三者都不能为0;(3)分数的值相当于比的值也相当于除法的结果即商。
分数与小数的互化:(1)小数化成分数:有限小数直接写成分母为10,100,1000,...的份数,原来是几位小数就在1后加几个0做为分母,把原来的小数去掉小数点后做分子;(2)分数化为小数:分子除以分母得到的结果。
百分数与小数的互化:(1)百分数化成小数:去掉百分号,同时将小数点向左移动两位;(2)小数化成百分数:把小数点向右移动两位,同时在后面填上百分号。14.【答案】<;=;=;<【知识点】亿以内数的大小比较;分数与小数的大小比较;百分数与分数的互化【解析】【解答】解:(1)
,0.39<0.4,所以0.39<
;
(2)125%=1.25,
=1.25,所以125%=
;
(3)
,所以
;
(4)26871206是八位数,267896是六位数,所以26871206<267896.
故答案为:<;=;=;<。【分析】分数与小数的大小比较: 把分数化成小数或把小数化成分数再进行比较。小数的大小比较:先比较最高位,最高位越大小数越大,如果最高位相同,再比较下一位。分数大小的比较:分母相同,分子越大分数越大,分母不同,先通分,再比较。
百分数与分数的大小比较:先把分数、百分数化为小数再比较。
比较两个整数的大小,位数多的大,位数相同,先比较最高位,最高位上的数大的那个数大,如果最高位相同,再比较下一位。15.【答案】正;
【知识点】应用比例的基本性质解比例;成正比例的量及其意义;成反比例的量及其意义【解析】【解答】解:a:b=
:
=
×
=
(一定),所以a与b成正比例;
当b=20时,a=
×20=
。
故答案为:正;
。
【分析】如果两个量的比值一定,这两个量成正比例;如果两个量的积一定,这两个量成反比例。
根据比的前项=比值x后项,代入数值计算。16.【答案】367+98=465 0.4×0.2=0.08 0.36÷0.4=0.9
【知识点】小数乘小数的小数乘法;除数是小数的小数除法;分数与分数相乘【解析】【分析】万以内的整数加法:相同数位对齐,从个位算起,如果十位相加满十,向百位进1,以此类推;
小数乘法:先按整数乘法计算出积,再看因数中一共几位小数,从积的右边起数出几位点上小数点,积的小数位不够时,在前面用0补位。积的小数部分的0可以去掉;
除数是小数的小数除法:先看除数有几位小数,把除数和被除数的小数点同时向右移动相同的位数,使除数变成整数,当被除数的位数不够时,用0补足,再按照除数是整数的小数除法计算;
分数乘法:分子乘分子做积的分子,分母乘分母做积的分母,最终积化为最简分数;
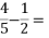
异分母分数加减法:先通分,分母不变,分子相加减;17.【答案】(1)解:3÷
-
÷3
=3×
-
×![]()
=4-![]()
=
(2)解:4.6×5.2+0.48×46
=4.6×5.2+4.8×4.6
=4.6×(5.2+4.8)
=4.6×10
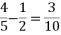
=46(3)解:[1-(
+
)]×24
=(1-
-
)×24
=1×24-
×24-
×24
=24-12-8
=4【知识点】分数四则混合运算及应用;小数乘法运算律;小数除法混合运算【解析】【分析】(1)先乘除,再加减;
(2)按乘法分配律进行简便计算;
(3)按乘法分配律及减法性质进行简便计算。18.【答案】(1)解:0.8x=3.6
0.8x÷0.8=3.6÷0.8
x=4.5(2)解:0.5+0.4x=0.75
0.5-0.5+0.4x=0.75-0.5
0.4x=0.25
0.4x÷0.4=0.25÷0.4
x=0.625【知识点】综合应用等式的性质解方程;列方程解关于百分数问题【解析】【分析】先化简,再根据等式的基本性质:等式两边同时加上或减去同一个数,等式依然成立;等式两边同时乘以或除以一个数(不为0),等式依然成立。19.【答案】(1)
(2)
(3)
(4)
【知识点】轴对称图形的对称轴数量及位置;图形的缩放;作平移后的图形;作旋转后的图形【解析】【分析】(1)作平移图形的方法:先确定平移图形的关键点,平移方向,移动多少个格子,然后把平移后的各点连接起来;
(2)画轴对称图形的方法:先确定关键点到对称轴的距离,然后在对称轴的另一侧描出关键点的对称点,最后按顺序把这些点连接起来;
(3)根据图形旋转的方法:先找出平行四边形的关键点,再画出关键点与旋转中心O所在直线的垂线,再找出关键点的对应点,最后顺次连接找到的对应点;
(4)原图形的上底是1个格,下底3个格,高2个格,1x2=2,3x2=6,2x2=4,所以放大后的图形上底为2个格,下底为6个格,高为4个格。20.【答案】
【知识点】分数乘法与分数加减法的混合运算【解析】【分析】把小浩的身高看做单位“1”,小冬的身高是小浩身高的(1-
),小浩是8份,小东就是7份,以此画线段表示。21.【答案】解:480÷5×(3+5)
=96×8
=768(本)
答:这批图书一共有768本。【知识点】比的应用【解析】【分析】把一批图形按3:5的比例分给五年级和六年级,六年级分到480本,用六年级分到的图书量除以份数,确定出每一份的数量,再乘两个年级的总分数,即可求出这批图书的本数。22.【答案】解:350÷(80+80×75%)
=350÷(80+60)
=350÷140
=2.5(小时)
答:两车经过2.5小时能够相遇。【知识点】相遇问题;速度、时间、路程的关系及应用【解析】【分析】由“乙车的速度是甲车的79%”,把甲车的速度看成是单位“1”,则乙车的速度为(80×75%)千米。根据相遇问题:相遇时间=两地相距距离÷两车速度之和。23.【答案】解:8÷2=4(厘米)
3.14×4×4×2
=50.24×2
=100.48(立方厘米)
答:这个圆锥铁块的体积是100.48立方厘米。【知识点】圆柱的体积(容积);圆锥的体积(容积)【解析】【分析】往一个圆柱形容器中加入一个物体,水面上升,水上升的体积就是放入的物体的体积。然后根据圆柱的体积=πr2h来计算。24.【答案】解:
把一个圆柱体剪拼成一个近似长方体,该长方体的底面积等于圆柱体的底面积,长方体的高等于圆柱的高
圆柱的体积=长方体的体积
=长方体的底面积×长方体的高
=圆柱的底面积×圆柱的高【知识点】圆柱的体积(容积)【解析】【分析】把一个圆柱剪拼成一个长方体,形状发生改变,但是体积不变,圆柱的底面积等于长方体的底面积,圆柱体的高等于长方体的高。根据长方体的面积公式:V=Sh,推导出圆柱的体积=底面积×高。25.【答案】(1)正(2)
(3)
(4)25【知识点】成正比例的量及其意义;根据表格数据描点、连线【解析】【解答】解:(1)5÷1=2,10÷2=5,15÷3=5,……汽车的行驶路程与耗油量的比值是一个定值5,所以汽车的行驶路程与耗油量成正比;
(4)125÷5=25(L);
故答案为(1)正;(4)25。【分析】 两种相关联的量,一种量变化,另一种量也随着变化,如果这两种量中相对应的两个数的比值一定,这两种量就叫做成正比例的量;两种相关联的量,一种量变化,另一种量也随着变化,如果这两种量中相对应的两个数的乘积一定,这两种量就叫做成反比例的量。
相关试卷
这是一份2023年广东省梅州市五华县小升初数学试卷(内含答案解析),共10页。试卷主要包含了选择题,填空题,计算题,操作题,实践与应用等内容,欢迎下载使用。
这是一份广东省梅州市五华县2022-2023学年四年级下学期数学期末测试试卷,共14页。试卷主要包含了选择题,填空题,计算题,操作题,解决问题等内容,欢迎下载使用。
这是一份广东省梅州市五华县2022-2023学年三年级下学期期末数学试卷,共13页。试卷主要包含了认真思考,正确填空,选择题,我会计算,按要求做题,动手操作,解决问题等内容,欢迎下载使用。

