还剩2页未读,
继续阅读
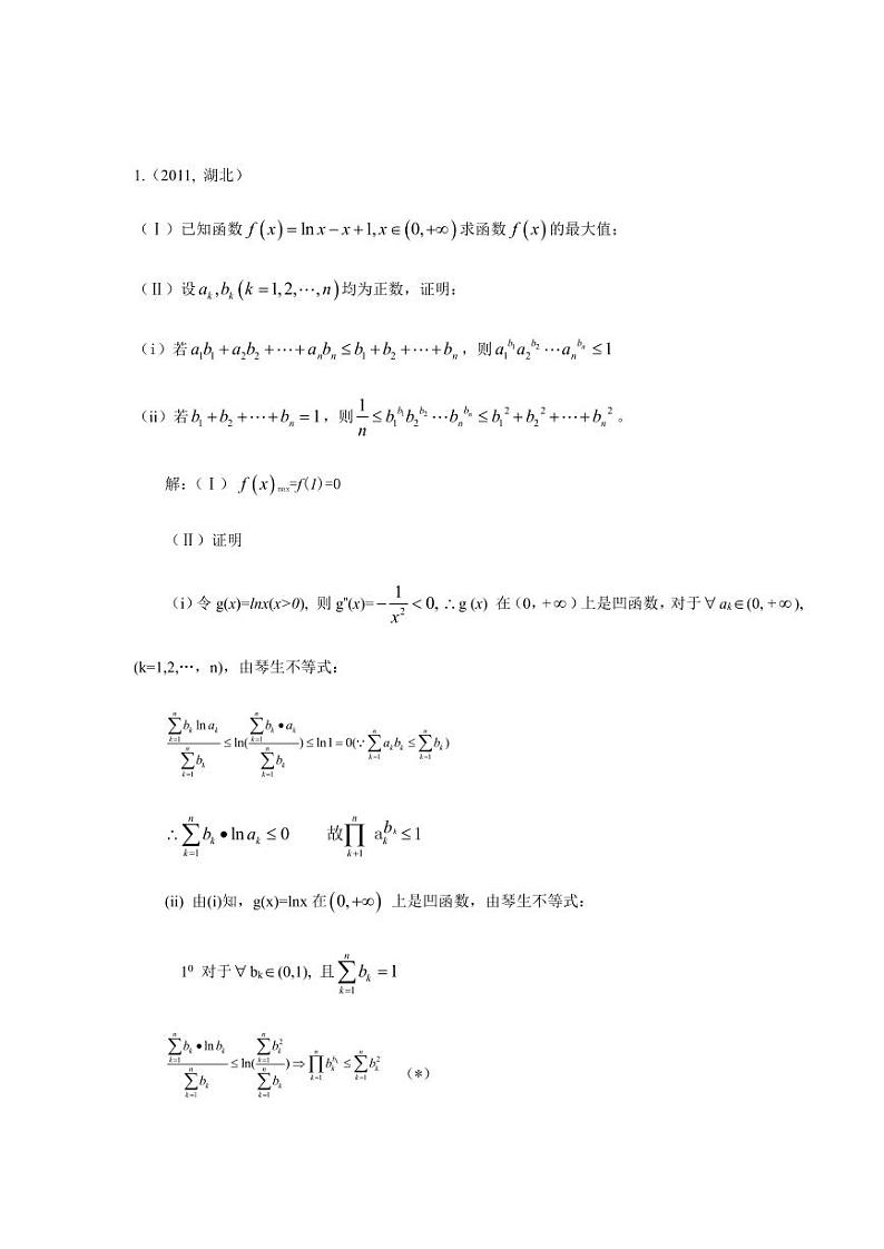
高中数学拓展——凹凸函数与琴生不等式
展开
这是一份高中数学拓展——凹凸函数与琴生不等式,共4页。
相关试卷
人教A版 (2019)必修 第一册2.2 基本不等式课后复习题:
这是一份人教A版 (2019)必修 第一册2.2 基本不等式课后复习题,共4页。
能力拓展03 构造导函数解不等式问题(13种考向):
这是一份能力拓展03 构造导函数解不等式问题(13种考向),文件包含能力拓展03构造导函数解不等式问题13种考向解析版docx、能力拓展03构造导函数解不等式问题13种考向原卷版docx等2份试卷配套教学资源,其中试卷共66页, 欢迎下载使用。
能力拓展02 函数的综合应用:
这是一份能力拓展02 函数的综合应用,文件包含能力拓展02函数的综合应用解析版docx、能力拓展02函数的综合应用原卷版docx等2份试卷配套教学资源,其中试卷共62页, 欢迎下载使用。

