2024届高考化学一轮总复习课时跟踪练15元素周期表与元素周期律
展开课时跟踪练15
一、选择题
1.(2022·泰宁第一中学月考)某多孔储氢材料前驱体结构如图,M、W、X、Y、Z五种元素原子序数依次增大,基态Z原子的电子填充了3个能级,其中有2个未成对电子。下列说法正确的是( )

A.氢化物沸点:X>Y
B.原子半径:M<X<Y<Z
C.第一电离能:W<X<Y<Z
D.阴、阳离子中均有配位键
解析:基态Z原子的电子填充了3个能级,其中有2个未成对电子,故Z为C或O,根据多孔储氢材料前驱体结构图可知,Y形成了4个单键,再结合信息M、W、X、Y、Z五种元素原子序数依次增大,故Y为N(氮),故Z为O(氧),M只形成一个单键,M为H(氢),X为C(碳),则W为B(硼),据此分析解题。由分析可知,以X、Y的简单氢化物CH4和NH3为例,由于NH3存在分子间氢键,故氢化物沸点:X<Y,A项错误;同周期从左往右主族元素的原子半径逐渐减小,同主族从上往下原子半径逐渐增大,故原子半径:M<Z<Y<X,B项错误;同周期从左往右元素的第一电离能呈增大趋势,ⅡA族与ⅢA族、ⅤA族与ⅥA族反常,故第一电离能:W<X<Z<Y,C项错误;由于阳离子中的Y原子是N原子,形成了类似于铵根离子的阳离子,故存在配位键,阴离子中的W原子为B原子,最外层上只有3个电子,能形成3个共价键,现在形成了4个共价键,故还有1个配位键,D项正确。
答案:D
2.(2022·襄阳四中月考)短周期元素X、Y、Z、W的原子序数依次增大。用表中信息判断下列说法正确的是( )
最高价氧化物的水化物 | 元素 | |||
X | Y | Z | W | |
分子式 |
|
| H3ZO4 |
|
0.1 mol·L-1溶液对应的pH(25 ℃) | 1.00 | 13.00 | 1.57 | 0.70 |
A.元素电负性:Z<W
B.简单离子半径:W<Y
C.元素第一电离能:Z<W
D.简单氢化物的沸点:X<Z
解析:从Z的最高价氧化物的水化物的化学式和W的最高价氧化物的水化物的0.1 mol·L-1溶液的pH可知,Z、W是磷、硫元素,结合X、Y的最高价氧化物的水化物的0.1 mol·L-1溶液的pH可知,X、Y是氮、钠元素。电负性:P<S,A项正确;离子半径:S2->Na+,B项错误;磷的3p轨道为半充满稳定状态,其第一电离能大于硫,C项错误;NH3分子间存在氢键,导致其沸点高于PH3,D项错误。
答案:A
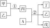
3.(2022·潍坊质检)短周期元素a、b、c、d的原子序数依次增大,在下列转化关系中,甲、乙、丙、丁、戊为上述四种元素组成的二元或三元化合物。其中A为d元素组成的单质,常温下乙为液体,丁物质常用于消毒、漂白。下列说法错误的是( )

A.简单离子半径:c>b
B.丙中既有离子键又有极性共价键
C.b、c形成的化合物中阴、阳离子数目之比为1∶2
D.a、b、d形成的化合物adb4中,d的杂化方式是sp3
解析:短周期元素a、b、c、d的原子序数依次增大,常温下乙为液体,应为H2O,则a为H元素;A为d元素组成的单质,且与丙反应生成水和常用于消毒、漂白的丁,则丙应为碱,由转化关系可知,甲为Na2O,丙为NaOH,A为Cl2,丁为NaClO,戊为NaCl;则b为O元素、c为Na元素、d为Cl元素。b、c对应的离子分别为O2-和Na+,具有相同的核外电子排布,核电荷数越大离子半径越小,则离子半径:O2->Na+,即b>c,故A项错误;丙为NaOH,由Na+和OH-构成,则含有离子键和极性共价键,故B项正确;b为O元素、c为Na元素,二者组成的Na2O和Na2O2中阴、阳离子数目之比均为1∶2,故C项正确;a、b、d形成的化合物adb4即为HClO4,Cl原子的价层电子对数为4+=4,则Cl的杂化方式是sp3,故D项正确。
答案:A
4.(2022·衡水市武邑中学月考)短周期元素W、X、Y和Z的原子序数依次增大。W是宇宙中最丰富的元素,W2X是维持生命过程的必需物质,WY可用于玻璃的刻蚀,ZX2是酸雨的主要形成原因之一,室温下化合物ZY4是气体。下列说法错误的是( )
A.Y的第一电离能在四种元素中最大
B.W2X和ZX2的中心原子分别为sp3和sp2杂化
C.W2X的沸点高于W2Z的沸点
D.ZY4分子中原子均为8电子结构
解析:W是宇宙中最丰富的元素,则W是H(氢);W2X是维持生命过程的必需物质,则W2X为H2O,X为O(氧);WY可用于玻璃的刻蚀,则WY为HF,Y为F(氟);ZX2是酸雨的主要形成原因之一,且Z的原子序数比Y大,能形成ZY4气体,则Z为S(硫);综上所述,W、X、Y和Z分别为H、O、F、S。同周期从左向右,元素的第一电离能呈增大趋势,第ⅡA族、第ⅤA族元素的第一电离能比同周期相邻元素大,因此F的第一电离能在四种元素中最大,A项正确;H2O中O的价层电子对数为2+=4,SO2中S的价层电子对数为2+=3,因此H2O和SO2的中心原子分别为sp3和sp2杂化,B项正确;O和S属于同主族元素,但H2O分子间存在氢键,而H2S分子间不存在氢键,因此H2O的沸点高于H2S的沸点,C项正确;SF4中,S的最外层电子数为10,D项错误。
答案:D
5.(2022·大庆中学月考)X、Y为第三周期元素,Y最高正价与最低负价的代数和为6,二者形成的一种化合物能以[XY4]+[XY6]-的形式存在。下列说法错误的是( )
A.原子半径:X>Y
B.简单氢化物的还原性:X>Y
C.同周期元素形成的单质中Y氧化性最强
D.同周期中第一电离能小于X的元素有4种
解析:Y位于第三周期,且最高正价与最低负价的代数和为6,则Y是Cl元素,由X、Y形成的阴离子和阳离子知,X与Y易形成共价键,根据化合物的形式知X是P元素。P与Cl在同一周期,且P在Cl的左边,则P半径大,即X>Y,A项正确;两者对应的简单氢化物分别是PH3和HCl,非金属性P<Cl,所以PH3的失电子能力强,还原性强,即X>Y,B项正确;同周期主族元素从左往右,金属性逐渐减弱,非金属性逐渐增强,各元素对应的金属单质还原性逐渐减弱,非金属单质氧化性逐渐增强,所以同周期元素形成的单质中Cl2的氧化性最强,C项正确;同周期元素从左往右,第一电离能呈现增大的趋势,第ⅤA族元素的第一电离能大于相邻元素的第一电离能,所以第三周期元素第一电离能从小到大的顺序为Na、Al、Mg、Si、S、P、Cl、Ar,所以同周期中第一电离能小于P的元素有5种,D项错误。
答案:D
6.(2021·浙江卷)已知短周期元素X、Y、Z、M、Q和R在周期表中的相对位置如图所示,其中Y的最高化合价为+3。下列说法不正确的是( )

A.还原性:ZQ2<ZR4
B.X能从ZO2中置换出Z
C.Y能与Fe2O3反应得到Fe
D.M最高价氧化物的水化物能与其最低价氢化物反应
解析:由题给短周期元素X、Y、Z、M、Q和R在元素周期表中的相对位置及Y元素的最高化合价为+3,可推出X、Y、Z、M、Q、R分别是镁、铝、碳、氮、硫和氯。二硫化碳的还原性强于四氯化碳,A说法错误;镁在二氧化碳中燃烧,生成碳单质和氧化镁,B说法正确;铝与氧化铁在高温下发生铝热反应,生成铁和氧化铝,C说法正确;M的最高价氧化物的水化物为硝酸,硝酸可与氨反应生成硝酸铵,D说法正确。
答案:A
7.(2022·成都树德中学月考)元素X、Y、Z、Q、R的原子序数依次增大且小于20,其原子半径和最外层电子数之间的关系如图所示。下列判断正确的是( )

A.X的电负性比Q的大
B.Q的简单离子半径比R的大
C.Z的简单气态氢化物的热稳定性比Q的强
D.Y的最高价氧化物对应的水化物的碱性比R的强
解析:X、Y、Z、Q、R的原子序数依次增大且小于20,由题图中最外层电子数和原子半径的关系可知,X为C、Y为Na、Z为S、Q为Cl、R为K。据此分析解答。C的电负性比Cl的小,故A项错误;核外电子排布相同时,核电荷数越大,半径越小,故Q的简单离子半径比R的大,故B项正确;同周期主族元素,原子序数越大,非金属性越强,其简单气态氢化物的稳定性越强,则Z的简单气态氢化物的热稳定性比Q的弱,故C项错误;同主族元素,原子序数越大,金属性越强,其最高价氧化物对应水化物的碱性越强,则Y的最高价氧化物对应的水化物的碱性比R的弱,故D项错误。
答案:B
8.(2022·东莞中学松山湖学校月考)一种麻醉剂的分子结构式如图所示。其中,X的原子核只有1个质子;元素Y、Z、W原子序数依次增大,且均位于X的下一周期;元素E的原子比W原子多8个电子。下列说法不正确的是( )

A.XEZ4是一种强酸
B.非金属性:W>Z>Y
C.原子半径:Y>W>E
D.ZW2中,Z的化合价为+2价
解析:X的原子核内只有1个质子,则X为H;元素Y、Z、W原子序数依次增大,且均位于X的下一周期,再根据题给麻醉剂分子结构式中各原子的成键情况可知,Y、Z、W分别为C、O、F;元素E的原子比W原子多8个电子,则E为Cl。据此分析解答。XEZ4为HClO4,是一种强酸,A说法正确;非金属性:F>O>C,即W>Z>Y,B说法正确;电子层数多的原子半径大,当电子层数相同时,核电荷数大的原子半径小,则原子半径:Cl>C>F,即E>Y>W,C说法错误;OF2中F为-1价,O为+2价,D说法正确。
答案:C
9.(2022·辽中第一高级中学高三开学考试)如图所示的两种化合物可应用于阻燃材料和生物材料的合成。其中W、X、Y、Z为原子序数依次增大的短周期元素,X和Z同主族,Y原子序数为W原子价层电子数的3倍。下列说法正确的是( )

A.X和Z的最高化合价均为+7价
B.HX和HZ在水中均为强酸,电子式可表示为
与![]()
C.四种元素中,X原子半径最大,Y原子半径最小
D.Z、W和氢三种元素可形成同时含有离子键和共价键的化合物
解析:分析题给条件可知,W为N(氮),X为F(氟),Y为P(磷),Z为Cl(氯)。X和Z分别是F、Cl,F无正价,A项错误;HX和HZ分别是HF和HCl,HF在水中不是强酸,B项错误;四种元素W(N)、X(F)、Y(P)、Z(Cl)中,W(N)、X(F)有两个电子层,Y(P)、Z(Cl)有三个电子层,Y(P)和Z(Cl)的原子半径大于W(N)和X(F)的原子半径,Y(P)的原子序数小于Z(Cl)的原子序数,故Y(P)的原子半径在这四种元素中最大;X(F)的原子序数大于W(N)的原子序数,故X(F)的原子半径在这四种元素中最小,C项错误;Z(Cl)、W(N)和氢三种元素可形成氯化铵,氯化铵是含有离子键和共价键的化合物,D项正确。
答案:D
10.(2022·唐山模拟)短周期主族元素X、Y、Z、W的原子序数依次增大,A是Z的最高价氧化物对应的水化物,常温下0.1 mol·L-1 A溶液的pH=13,X、Y、W的单质e、f、g在通常状况下均为气态,并有如图所示的转化关系(反应条件略去),甲分子为四核10电子微粒,下列说法正确的是( )

A.简单离子半径:W>Z>Y
B.甲易液化与分子内存在氢键有关
C.化合物丙能促进水的电离
D.f分子化学性质较稳定的原因是元素Y的非金属性弱
解析:短周期主族元素X、Y、Z、W的原子序数依次增大,A是Z的最高价氧化物对应的水化物,常温下0.1 mol·L-1 A溶液的pH=13,说明A为强碱,X、Y、W的单质e、f、g在通常状况下均为气态,并有如题图所示的转化关系(反应条件略去),因化合物丙生成过程中有白烟,故丙为NH4Cl,甲分子为四核10电子微粒,则甲为NH3,由此推出乙为HCl,故f为N2,e为H2,g为Cl2,故X、Y、Z、W分别为H、N、Na、Cl。简单离子的半径大小规律为电子层数越多,半径一般越大,电子层数相同,核电荷数越多,半径越小,故简单离子半径Cl->N3->Na+即W>Y>Z,A项错误;甲即NH3,由于液氨中存在分子间氢键,导致液氨的沸点很高,故易液化,B项错误;化合物丙NH4Cl为强酸弱碱盐,能够发生水解,故能促进水的电离,C项正确;f为N2,化学性质较稳定的原因是N2分子中存在N≡N,键能很大,D项错误。
答案:C
二、非选择题
11.(2021·宁德市高级中学月考)现有A、B、C、D、E、F、G、H八种元素,均为前四周期元素,它们的原子序数依次增大。
A元素的核外电子数和电子层数相等,也是宇宙中含量最丰富的元素 |
B元素是形成化合物种类最多的元素 |
C元素基态原子的核外p电子数比s电子数少1 |
D元素基态原子的核外p轨道中有两个未成对电子 |
E元素的气态基态原子的第一至第四电离能分别如下: I1=738 kJ· mol-1,I2=1 451 kJ· mol-1, I3=7 733 kJ· mol-1,I4=10 540 kJ· mol-1 |
F元素的主族序数与周期数的差为4 |
G元素是前四周期中电负性最小的元素 |
H元素位于元素周期表中的第八纵列 |
请根据上述相关信息,回答有关问题:
(1)C2A4的电子式为________________(用元素符号表示,下同)。
(2)B元素的原子核外共有________种不同运动状态的电子,基态原子中能量最高的电子所占据的原子轨道呈________形。
(3)某同学推断E元素基态原子的核外电子轨道表示式为
。该同学所画的轨道表示式违背了__________,该元素的原子I3远远大于I2,其原因是_________________。
(4)D、E、F三种元素的简单离子半径由大到小的顺序是____________(用离子符号表示)。
(5)用惰性电极电解EF2的水溶液的离子方程式为_________________________________
________________________________________________________________________。
(6)H位于元素周期表中________区(按电子排布分区),其基态原子的价层电子排布式为________,实验室用一种黄色溶液检验H2+时产生蓝色沉淀,该反应的离子方程式为________________________________________________________________________
________________________________________________________________________。
解析:根据题给信息可以推断A为H元素,B为C元素,C为N元素,D为O元素,E为Mg元素,F为Cl元素,G为K元素,H为Fe元素。
答案:(1) ![]()
(2)6 哑铃
(3)泡利原理 Mg原子失去2个电子后形成稳定结构,此时再失去1个电子很困难
(4)Cl->O2->Mg2+
(5)Mg2++2Cl-+2H2OMg(OH)2↓+Cl2↑+H2↑
(6)d 3d64s2 Fe2++[Fe(CN)6]3-+K+===KFe[Fe(CN)6]↓
12.(2022·重庆第二次模拟)研究发现,火星岩的主要成分有K2O、CaO、Na2O、MgO、Al2O3、Fe2O3、FeO、SiO2和H2O。
(1)基态铁原子的价层电子排布式为___________________________________________。
(2)Na、Mg、Al的第一电离能由大到小为______________________________________。
(3)Al2O3溶于NaOH溶液生成Na[Al(OH)4],[Al(OH)4]-中Al的杂化类型是________。
(4)实验室用K3[Fe(CN)6]检验Fe2+,[Fe(CN)6]3-中σ键、π键数目之比为________。
解析:(1)Fe为26号元素,基态铁原子的核外电子排布式为1s22s22p63s23p63d64s2,所以其价层电子排布式为3d64s2。(2)同周期元素从左往右,第一电离能呈现增大趋势,但由于第ⅡA元素是全充满结构,较稳定,所以第一电离能:第ⅡA元素>第ⅢA元素,因此Na、Mg、Al的第一电离能由大到小为Mg>Al>Na。(3)根据价电子互斥理论计算公式,可知[Al(OH)4]-中Al的价电子对数为4+(3+1-4×1)=4,所以其杂化类型是sp3。(4)[Fe(CN)6]3-中σ键数目为6+6=12,π键数目为6×2=12,两者的比例为1∶1。
答案:(1)3d64s2
(2)Mg>Al>Na
(3)sp3
(4)1∶1
13.(2022·仁寿第一中学校月考)根据原子结构、元素周期表和元素周期律的知识回答下列问题:
Ⅰ.气态电中性基态原子失去最外层一个电子转化为气态基态正离子所需的最低能量叫做第一电离能(设为E)。部分元素的第一电离能如图甲所示:

(1)从图甲分析可知,同一主族元素原子的第一电离能I1变化规律是从上到下依次________(填“减小”“增大”或“不变”)。
(2)根据第一电离能的含义和元素周期律,可推断出________<E(钙)<________。
Ⅱ.不同元素的原子在分子内吸引电子的能力大小可用数值表示,该数值称为电负性。一般认为:如果两个成键原子间的电负性差值大于1.7,原子之间通常形成离子键;如果两个成键原子间的电负性差值小于1.7,通常形成共价键。
元素符号 | Li | Be | B | C | O | F |
电负性值 | 0.98 | 1.57 | 2.04 | 2.55 | 3.44 | 3.98 |
元素符号 | Na | Al | Si | P | S | Cl |
电负性值 | 0.93 | 1.61 | 1.90 | 2.19 | 2.58 | 3.16 |
(3)通过分析电负性值变化规律,确定Mg元素电负性值的最小范围:__________<Mg<____________。
(4)从电负性角度,判断AlCl3是离子化合物还是共价化合物:__________。

(5)邻氨基吡啶的铜配合物在有机不对称合成中起催化诱导效应,其结构简式如图乙所示。
①基态Cu原子的价电子排布式为______________________。
在元素周期表中铜位于__________区(填“s”“P”“d”或“ds”)。
②基态Cu等多电子原子核外电子排布中,能级会发生交错现象。以下表示的各能级能量大小关系,不符合客观事实的是__________(填字母)。
A.4s>3d>3p>3s B.6s>5p>4d>3d
C.5f>4d>3p>2s D.7d>6d>5d>4d
解析:Ⅰ.(1)从图甲分析可知,同一主族元素原子的第一电离能变化规律是从上到下依次减小。(2)同一周期元素,元素第一电离能随着原子序数增大而呈增大趋势,但第ⅡA族和第ⅤA族元素第一电离能大于其相邻元素;同一主族元素原子的第一电离能变化规律是从上到下依次减小。则E(钾)<E(钙)<E(镁),即419<E(钙)<738。Ⅱ.(3)根据电负性的递变规律:同周期元素从左到右电负性逐渐增大,同主族元素从上到下电负性逐渐减小,可知,在同周期中电负性Na<Mg<Al,同主族Be>Mg>Ca,Mg电负性值的最小范围应为0.93~1.57。(4)AlCl3中Al与Cl的电负性差值为1.55,根据信息,电负性差值若小于1.7,则形成共价键,所以AlCl3为共价化合物。(5)①Cu是29号元素,价电子排布式为3d104s1,在元素周期表中铜位于ds区。②能级能量高低顺序规律为:相同n而不同能级的能量高低顺序为ns<np<nd<nf,n不同时为2s<3s<4s、2p<3p<4p,不同层不同能级时为ns<(n-2)f<(n-1)d<np。绝大多数基态原子核外电子的排布都遵循下列顺序:1s、2s、2p、3s、3p、4s、3d、4p、5s、4d、5p、6s、4f…,则A项错误,B、C、D项正确。
答案:Ⅰ.(1)减小 (2)419 738
Ⅱ.(3)0.93 1.57 (4)共价化合物 (5)①3d104s1 ds ②A
2024届高考化学一轮复习 课时跟踪检测(二十二) 元素周期表 元素周期律 (含答案): 这是一份2024届高考化学一轮复习 课时跟踪检测(二十二) 元素周期表 元素周期律 (含答案),共11页。试卷主要包含了选择题,非选择题等内容,欢迎下载使用。
2024届高考化学一轮总复习课时跟踪练30烃: 这是一份2024届高考化学一轮总复习课时跟踪练30烃,共11页。试卷主要包含了选择题,非选择题等内容,欢迎下载使用。
2024届高考化学一轮总复习课时跟踪练16化学键: 这是一份2024届高考化学一轮总复习课时跟踪练16化学键,共9页。试卷主要包含了选择题,非选择题等内容,欢迎下载使用。

