2023重庆市乌江新高考协作体高二下学期期末数学试题含答案
展开
2022-2023学年(下)期末学业质量联合调研抽测
高二数学试题
(分数:150分,时间:120分钟)
一、选择题:本题共8小题,每小题5分,共40分。在每小题给出的四个选项中,只有一项是符合题目要求的。
1. ﹣(﹣10)0+(log2)•( 2)的值等于( )
A.﹣2 B.0 C.8 D.10
2.已知集合,,那么( )
A. B.
C. D.
3.实验测得六组成对数据的值为,,,,,,由此可得y与x之间的回归方程为,则可预测当时,y的值为( )
A.67 B.66 C.65 D.64
4.若复数满足,则( )
A. B. C. D.
5.“”是“属于函数单调递增区间”的( )
A.充分不必要条件 B.必要不充分条件
C.充分且必要条件 D.既不充分也不必要条件
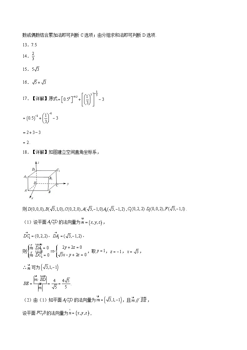
6.已知向量,则“”是“与夹角为锐角”的
A.必要不充分条件 B.充分不必要条件
C.充要条件 D.既不充分也不必要条件
7.已知定义在上的函数. 对任意区间和,若存在开区间,使得,且对任意()都成立,则称为在上的一个“M点”. 有以下两个命题:
①若是在区间上的最大值,则是在区间上的一个M点;
②若对任意,都是在区间上的一个M点,则在上严格增.
那么( )
A.①是真命题,②是假命题 B.①是假命题,②是真命题
C.①、②都是真命题 D.①、②都是假命题
8.已知函数则函数的零点个数是( )
A.2 B.3 C.4 D.5
二、多项选择题:本题共4小题,每小题5分,共20分。在每小题给出的选项中,有多项符合题目要求的。全部选对的得5分,部分选对的得2分,有选错的得2分。
9.某企业对目前销售的A,B,C,D四种产品进行改造升级,经过改造升级后,企业营收实现翻番,现统计了该企业升级前后四种产品的营收占比,得到如下饼图:
下列说法正确的是( )
A.产品升级后,产品A的营收是升级前的4倍
B.产品升级后,产品B的营收是升级前的2倍
C.产品升级后,产品C的营收减少
D.产品升级后,产品B、D营收的总和占总营收的比例不变
10.已知函数的最小正周期为,且图象经过点,则( )
A.
B.点为函数图象的对称中心
C.直线为函数图象的对称轴
D.函数的单调增区间为
11.已知函数,.下列说法正确的为( )
A.若,则函数与的图象有两个公共点
B.若函数与的图象有两个公共点,则
C.若,则函数有且仅有两个零点
D.若在和处的切线相互垂直,则
12.大衍数列来源于《乾坤谱》中对易传“大衍之数五十”的推论,主要用于解释中国传统文化中的太极衍生原理,数列中的每一项都代表太极衍生过程.已知大衍数列满足,,则( )
A. B.
C. D.数列的前项和为
三、填空题:本题共4小题,每小题5分,共20分。
13.某校高二(4)班统计全班同学中午在食堂用餐时间,有7人用时为6分钟,有14人用时7分钟,有15人用时为8分钟,还有4人用时为10分钟,则高二(4)班全体同学用餐平均用时为____分钟.
14.已知向量,满足,若,则,夹角的余弦值为___________.
15.如图所示,制作某回旋飞梭的飞行翅膀时,需从一个直角三角形的塑料板上裁去一个以其斜边为一边且对角为150°的三角形(图中的阴影部分)再加工而成为游戏者安全考虑,具体制作尺寸为,,,则___________.
16.已知圆,,是圆上两点,点且,则最大值是______.
四、解答题:本题共6小题,共70分。解答应写出文字说明、证明过程或演算步骤。
17.计算:
18.如图,直四棱柱,底面是边长为2的菱形,,,点在平面上,且平面.
(1)求的长;
(2)若为的中点,求与平面所成角的正弦值.
19.已知四棱锥中,底面为等腰梯形,,,,△PAB是斜边为的等腰直角三角形.
(1)若时,求证:平面平面;
(2)若时,求直线与平面所成的角的正弦值.
20.在△ABC中,角所对的边分别为,且.
(1)求角;
(2)若,△ABC的面积为,求.
21.设函数,其中,曲线在点处的切线经过点.
(1)求函数的极值;
(2)证明:.
22.已知函数.
(1)若函数在处取得极值,求的值及函数的单调区间;
2024重庆市乌江新高考协作体高二下学期开学考试数学含答案: 这是一份2024重庆市乌江新高考协作体高二下学期开学考试数学含答案,共11页。试卷主要包含了选择题,多项选择题,填空题,解答题等内容,欢迎下载使用。
2022-2023学年重庆市乌江新高考协作体高一下学期期末数学试题(含详细答案解析): 这是一份2022-2023学年重庆市乌江新高考协作体高一下学期期末数学试题(含详细答案解析),共23页。试卷主要包含了单选题,多选题,填空题,解答题等内容,欢迎下载使用。
2024届重庆市乌江新高考协作体高三上学期期中数学试题含答案: 这是一份2024届重庆市乌江新高考协作体高三上学期期中数学试题含答案,共16页。试卷主要包含了单选题,多选题,填空题,解答题等内容,欢迎下载使用。

