2023届浙江省舟山市定嵊泗县数学五年级第二学期期末综合测试试题含解析
展开
这是一份2023届浙江省舟山市定嵊泗县数学五年级第二学期期末综合测试试题含解析,共6页。试卷主要包含了仔细推敲,细心判断,反复思考,慎重选择,用心思考,认真填空,注意审题,用心计算,看清要求,动手操作,灵活运用,解决问题等内容,欢迎下载使用。
2023届浙江省舟山市定嵊泗县数学五年级第二学期期末综合测试试题 学校_______ 年级_______ 姓名_______ 一、仔细推敲,细心判断。(对的打“√ ”,错的打“×”)1.1升等于1立方米。 (____)2.捐款时小方捐了她零花钱的
,小强也捐了他零花钱的
,小方和小强捐的钱一样多.(____)3.一个长方体相交于一个顶点的三条棱长总和是15厘米,这个长方体的棱长总和60厘米。(______)4.40以内9的倍数有9,18,27,36,… (______)5.一本小说,小明第一天看了全书的
,第二天看了剩下的
,还剩下全书的
没有看。(_____)二、反复思考,慎重选择。(将正确答案的序号填在括号里)6.把
的分子扩大到3倍,要使分数大小不变,则( )A.分母乘3 B.分母不变 C.分母除以37.奇思家到妙想家的路程是720米,两人同时从家出发,相向而行,奇思每分走70米,妙想每分走50米,求“他们出发后多长时间相遇”列式为( )。A.720÷70+720÷50 B.720÷(70-50) C.720÷(70+50)8.2米的
( )1米的
。A.小于 B.等于 C.大于9.甲数是大于1的自然数,而且甲数是2的倍数,下面说法正确的是( )。A.甲数一定是质数 B.甲数一定是合数C.甲数一定是偶数 D.甲数一定是奇数10.五一班有男生24人,女生20人。那么,女生占全班的( )。A.
B.
C.
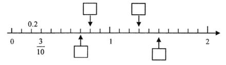
三、用心思考,认真填空。11.一个长方体,高截去4厘米,表面积减少了96平方厘米,剩下部分成为一个正方体,原长方体的表面积是(________)平方厘米,体积是(________)立方厘米。12.如果一个正方体的棱长和是48厘米,它的表面积是(________)平方厘米,体积是(________)立方厘米。13.用4、5、6这三个数字,组成是5的倍数的三位数有(________),组成是3的倍数的最小三位数是(____).14.9分米8厘米改写成小数是(______)分米。15.在8、-5、6、0、-0.02、+0.17中,正数有(_____________),负数有(_____________)。16.一个三位数是3的倍数,它的最高位是最小的质数,最低位时最小的合数,这个三位数最大是(________)。17.2.05立方米=(_____)立方米(____)立方分米 873mL=(______)L0.08立方米=(_____)立方分米=(_____)升 360cm³=(_____)dm³18.在上面的
里填上适当的小数,在下面的
里填上适当的分数。
19.5m增加它的
是(______)m,(______)m增加
是5m。20.2800dm3=________m3 3.26L=________mL四、注意审题,用心计算。21.直接写得数
22.脱式计算,能简算的要简算.①
②
③
④
⑤
⑥
23.解方程。2x÷3.6=0.48x-9.1=22.97x-2x=12.53x+4×9=664.8x-x=7.64x+20=56 五、看清要求,动手操作。(7分)24.从正面、右面和上面观察下面的物体,请把你看到的形状画在下面的方格中。
25.看清要求,仔细作图(1)以给出的虚线为对称轴画出三角形OAB的对称图形.(2)画出三角形OAB绕点O顺时针旋转90度后的图形.
六、灵活运用,解决问题。26.无锡地铁一期工程分高架线和地下线两部分,全线长16.9千米,其中地下线长度是高架线的1.6倍。高架线和地下线各长多少千米?(用方程解) 27.在一个长120厘米、宽60厘米的长方体水箱里,浸没一块长方体铁块后,水面上升了2厘米.求铁块的体积. 28.三个盒子里装有黑球和白球(这些球除颜色外完全相同)如下图。月月想摸到白球,你建议她从哪个盒子里摸,说明理由。
29.五(1)班有48人参加植树活动,五(2)班有54人参加,如果两班分别分成若干小组,要使两个班每个小组的人数相同,每组最多有多少人?两个班分别可以分成几个组? 30.王老师家新买一套住房,客厅长6米,宽4米,高3米。王老师这样装修客厅:①在地面铺边长为0.5米的地板块。请你算一算,王老师至少要买多少块地板块?②用立邦漆粉刷四周墙面和顶棚,每平方米大约需要1.2千克。王老师至少要买多少千克立邦漆?(扣除10平方米的门窗面积) 参考答案 一、仔细推敲,细心判断。(对的打“√ ”,错的打“×”)1、×2、错误3、√4、×5、╳ 二、反复思考,慎重选择。(将正确答案的序号填在括号里)6、A7、C8、B9、C10、B 三、用心思考,认真填空。11、312 360 12、96 64 13、465、645 456 14、9.815、正数有( 8、6、+0.17 ) 负数有( -5、-0.02 ) 16、29417、2 50 0.873 80 80 0.36 18、0.8;1.3;
;
19、6
20、2.8 3260 四、注意审题,用心计算。21、
22、①
②
③3 ④
⑤
⑥
23、x=0.72;x=4;x=2.5x=10;x=2;x=9 五、看清要求,动手操作。(7分)24、
25、
六、灵活运用,解决问题。26、高架线:6.5千米,地下线:10.4千米。27、14400cm328、从③号盒子里摸,因为③号里面的白球最多,摸出白球的可能性最大。29、6人;五(1)班8组,五(2)班9组30、①96块;②88.8千克
相关试卷
这是一份2022-2023学年浙江省舟山市定嵊泗县数学三下期末综合测试试题含答案,共6页。试卷主要包含了填空题,选择题,判断题,计算题,解答题等内容,欢迎下载使用。
这是一份舟山市定嵊泗县2023年四年级数学第二学期期末经典试题含解析,共6页。试卷主要包含了 填空题, 选择题, 判断题, 计算题, 作图题, 解决问题等内容,欢迎下载使用。
这是一份浙江省舟山市定嵊泗县2023年数学四下期末监测模拟试题含解析,共6页。试卷主要包含了填空题,选择题,判断题,计算题,解答题等内容,欢迎下载使用。

