2023届内蒙古赤峰二中、赤峰第四中学、红旗中学高三5月考试数学(文)试题PDF版含答案
展开绝密★启用前
2023年5·20高三数学考试
文科数学
注意事项:
1、 答卷前,考生务必将自己的姓名,准考证号填写在答题卡上.
2、 回答选择题时,选出每小题答案后,用铅笔把答题卡上对应题目的答案标号涂黑,如需改动,用橡皮擦干净后,再选涂其他答案标号,回答非选择题时,将答案写在答题卡上,写在本试卷上无效.
3、 考试结束后,将本试卷和答题卡一并交回.
一、 选择题:本题共12小题,每小题5分,共60分.在每小题给出的四个选项中,只有一项是符合题目要求的.
1、( )
A. B. C. D.
2、设集合,,则( )
A. B.
C. D.
3、已知,是两条不同的直线,,是两个不同的平面,,,则“//”是“//”的( )
A.充分不必要条件 B.必要不充分条件
C.充要条件 D.既不充分也不必要条件
4、设等差数列的前项和为,若,则( )
A. B. C. D.
5、已知函数,当时,取得最小值,则的取值范围为( )
A. B. C. D.
6、已知抛物线的焦点为,抛物线的准线与坐标轴相交于点,点,且的面积为,若是抛物线上一点,则周长的最小值为( )
A. B. C. D.
7、为了得到函数的图象,只需将函数的图象( )
A.向左平移个单位长度 B.向右平移个单位长度
C.向左平移个单位长度 D.向右平移个单位长度
8、在上随机取一个数,则事件“直线与圆有公共点”发生的概率为( )
A. B. C. D.
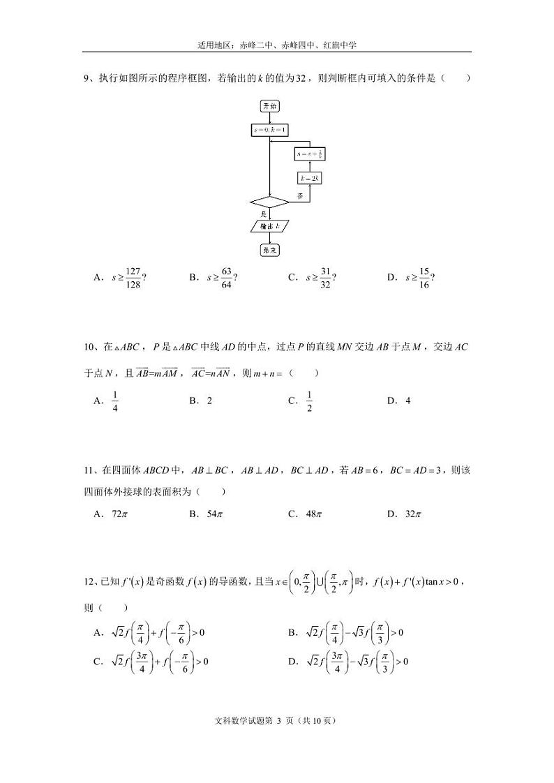
9、执行如图所示的程序框图,若输出的的值为,则判断框内可填入的条件是( )
A. B. C. D.
10、在,是中线的中点,过点的直线交边于点,交边于点,且,,则( )
A. B. C. D.
11、在四面体中,,,,若,,则该四面体外接球的表面积为( )
A. B. C. D.
12、已知是奇函数的导函数,且当时,,则( )
A. B.
C. D.
二、 填空题:本题共4小题,每小题5分,共20分.
13、设,满足约束条件,则的最大值为 .
14、课外兴趣小组对某地区不同年龄段的人群阅读经典名著的情况进行了相关调查,相关数据如下表.
年龄区间/岁 | |||||
赋值变量 | 1 | 2 | 3 | 4 | 5 |
人群数量 | 2 | 3 | 7 | 8 |
根据表中数据,人群数量与赋值变量之间呈线性相关,且关系式为,则
.
15、已知是双曲线上一点,,分别是双曲线的左、右焦点,的周长为,则 ,的面积为 。
(本题第一空3分,第二空2分)
16、英国物理学家牛顿用“作切线”的方法求函数的零点时,给出的“牛顿数列”在航天航空中应用广泛。若数列满足,则称数列为牛顿数列。若,数列为牛顿数列,且,,数列的前项和为,则满足的最大正整数的值为 .
三、 解答题:共70分,解答应写出文字说明、证明过程或演算步骤.第17~21题为必考题,每个试题考生都必须作答,第22、23题为选考题,考生根据要求作答.
(一) 必考题:共60分.
17、(12分)
在中,内角,,的对边分别为,,,且.
(1)求角的值;
(2)若,求边上的中线的最大值.
18、(12分)
清明期间,某校为缅怀革命先烈,要求学生通过前往革命烈士纪念馆或者线上网络的方式参与“清明祭英烈”活动,学生只能选择一种方式参加.已知该中学初一、初二、初三3个年级的学生人数之比为,为了解学生参与“清明祭英烈”活动的方式,现采用分层抽样的方法进行调查,得到如下数据.
人数 年级 方式 | 初一 | 初二 | 初三 |
前往革命烈士纪念馆 | |||
线上网络 | 2 |
(1)求,的值;
(2)从该校各年级被调查且选择线上网络方式参与“清明祭英烈”活动的学生中任选两人,求这两人是同一年级的概率.
19、(12分)
如图,在五边形中,四边形为正方形,,,如图,将沿折起,使得至处,且.
(1)证明:平面
(2)若四棱锥的体积为,求的长.
图1 图2
20、(12分)
椭圆的中心为坐标原点,坐标轴为对称轴,左、右顶点分别为,,
点在椭圆上.
(1)求椭圆的方程.
(2)过点的直线与椭圆交于,两点,(异于点,),记直线与直线交于点,试问点是否在一条定直线上?若是,求出该直线方程;若不是,请说明理由.
21、(12分)
已知函数.
(1)若,求的图像在处的切线方程;
(2)若恒成立,求的取值范围.
(二) 选考题:共10分,请考生在第22、23题中任选一题作答,如果多做,则按所做的第一题计分.
22、[选修4-4:坐标系与参数方程](10分)
平面直角坐标系中,曲线的参数方程为,以坐标原点为极点,轴正半轴为极轴建立极坐标系. 曲线的方程为.
(1)求曲线的普通方程和直线的直角坐标方程;
(2)若曲线与直线有两个公共点,求的取值范围.
23、[选修4-5:不等式选讲](10分)
已知函数.
(1)求不等式的解集;
(2)若的最大值为,且正数满足,求的最小值.
2024届内蒙古赤峰市赤峰二中高三上学期第四次月考数学(文)试题含答案: 这是一份2024届内蒙古赤峰市赤峰二中高三上学期第四次月考数学(文)试题含答案,共18页。试卷主要包含了单选题,填空题,解答题等内容,欢迎下载使用。
2022-2023学年内蒙古自治区赤峰市赤峰红旗中学高一下学期期末数学试题含答案: 这是一份2022-2023学年内蒙古自治区赤峰市赤峰红旗中学高一下学期期末数学试题含答案,共18页。试卷主要包含了单选题,多选题,填空题,解答题等内容,欢迎下载使用。
内蒙古赤峰二中、赤峰第四中学、红旗中学2023届高三下学期5月月考数学(文)试卷(含答案): 这是一份内蒙古赤峰二中、赤峰第四中学、红旗中学2023届高三下学期5月月考数学(文)试卷(含答案),共12页。试卷主要包含了选择题,填空题,双空题,解答题等内容,欢迎下载使用。

