四川省达州市2022-2023学年高一下学期期末监测数学(文)试题
展开四川省达州市2022-2023学年高一下学期期末监测数学(文)试题: 这是一份四川省达州市2022-2023学年高一下学期期末监测数学(文)试题,共4页。试卷主要包含了635,879等内容,欢迎下载使用。
四川省达州市2022-2023学年高一下学期期末监测数学(理)试题: 这是一份四川省达州市2022-2023学年高一下学期期末监测数学(理)试题,共4页。试卷主要包含了635,879等内容,欢迎下载使用。
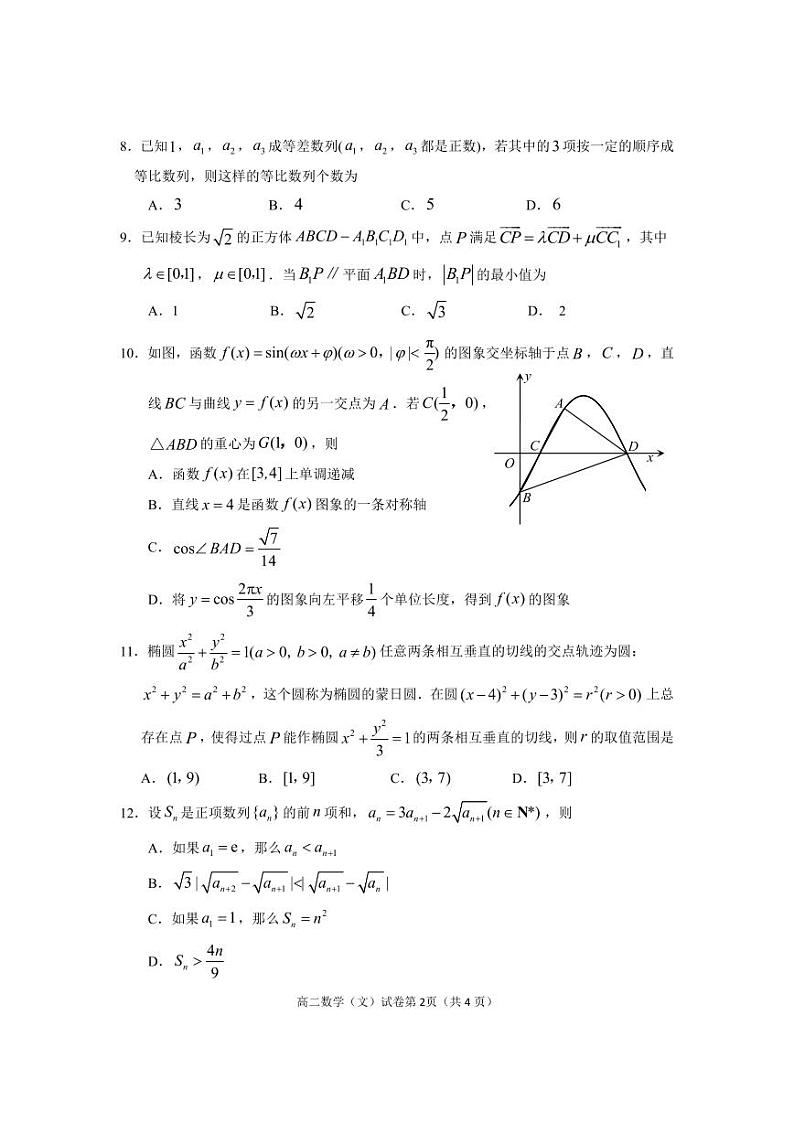
四川省达州市2022-2023学年高二下学期期末监测数学(文)试题: 这是一份四川省达州市2022-2023学年高二下学期期末监测数学(文)试题,文件包含精品解析四川省达州市2022-2023学年高二下学期期末监测数学文试题解析版docx、精品解析四川省达州市2022-2023学年高二下学期期末监测数学文试题原卷版docx等2份试卷配套教学资源,其中试卷共27页, 欢迎下载使用。

