2022-2023学年山东省济宁市第一中学高一下学期期中数学试题含解析
展开2022-2023学年山东省济宁市第一中学高一下学期期中数学试题
一、单选题
1.若,则的值为( )
A. B.- C.1 D.
【答案】B
【分析】由二倍角的正弦公式代入即可得出答案.
【详解】因为,所以.
故选:B.
2.若,则角的终边在( )
A.第一、二象限 B.第二、三象限 C.第三、四象限 D.第一、四象限
【答案】C
【分析】根据三角函数在四个象限的符号即可求解.
【详解】因为,所以在所在的象限一正一负,
所以角的终边在第三、四象限.
故选:C .
3.已知向量,不共线,若,,,则( )
A.A,B,C三点共线 B.A,B,D三点共线
C.A,C,D三点共线 D.B,C,D三点共线
【答案】B
【分析】利用向量的线性运算、向量的共线的充要条件进行求解判断.
【详解】对于A,因为,,
若A,B,C三点共线,则存在实数使得,
则,无解,所以A,B,C三点不共线,故A错误;
对于B,∵,
∴,又∵A是公共点,∴A,B,D三点共线,
故B正确;
对于C,因为,,所以,
若A,C,D三点共线,则存在实数使得,又,
所以,无解,所以A,C,D三点不共线,故C错误;
对于D,若B,C,D三点共线,则存在实数使得,
又,,所以,无解,
所以B,C,D三点不共线,故D错误;
故选:B.
4.已知点,,向量,若⊥,则实数y的值为( )
A. B. C.7 D.
【答案】D
【分析】由垂直向量的坐标表示求接即可得出答案.
【详解】因为,,所以,向量,
若⊥,则,
解得:
故选:D.
5.已知在中,,,,则( )
A. B. C. D.
【答案】B
【分析】利用余弦定理求出,再根据数量积的定义计算可得.
【详解】在中由余弦定理,即,
解得,
所以.
故选:B
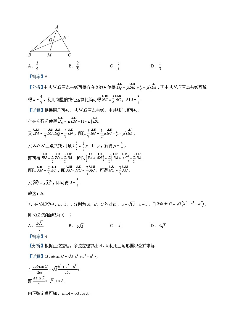
6.如图,在中,,,直线交于点,若,则( )
A. B. C. D.
【答案】A
【分析】由三点共线可得存在实数使得,再由三点共线可解得,利用向量的线性运算化简可得,即.
【详解】根据图示可知,三点共线,由共线定理可知,
存在实数使得,
又,所以,
又三点共线,所以,解得,
即可得,所以,
所以,即,可得,
又,即可得.
故选:A
7.在中,a,b,c分别为A,B,C的对边,,且,则的面积为( )
A. B. C. D.
【答案】B
【分析】根据正弦定理,余弦定理求出A,b,利用三角形面积公式求解.
【详解】,
,
即,
由正弦定理可知,,
即,所以,
由余弦定理,
解得(负值舍),
故三角形面积为,
故选:B
8.已知函数是在区间上的单调减函数,其图象关于直线对称,且f(x)的一个零点是,则的最小值为( )
A.2 B.12 C.4 D.8
【答案】C
【分析】根据函数的对称轴得,利用函数在上单调递减得,再结合函数的零点求解即可.
【详解】因为函数的图象关于直线对称,
所以,,所以,,
根据,则,所以,
因为是在区间上的单调减函数.
所以,
所以,
即,
解得,,,
因为,所以或,
当时,,当时,;
由于,且f(x)的一个零点是,
所以,,
所以,,,
即,,.
根据或,可得,或,所以的最小值为4.
故选:C.
二、多选题
9.已知函数(其中,,)的部分图像,则下列结论正确的是( )
A.函数的图像关于直线对称
B.函数的图像关于点对称
C.将函数图像上所有的点向右平移个单位,得到函数,则为奇函数
D.函数在区间上单调递增
【答案】ACD
【解析】根据函数图象求得解析式,再根据三角函数图象性质及伸缩平移变换分别判断各个选项.
【详解】由图象得函数最小值为,故,
,故,,
故函数,
又函数过点,
故,解得,
又,即,
故,
对称轴:,解得,当时,,故A选项正确;
对称中心:,解得,对称中心为,故B选项错误;
函数图像上所有的点向右平移个单位,得到函数,为奇函数,故C选项正确;
的单调递增区间:,解得,又,故D选项正确;
故选:ACD.
10.在中,角A,B,C所对的边分别为a,b,c,则下列结论错误的是( )
A.若,则为锐角三角形
B.若,则
C.若,则为等腰三角形
D.若,则此三角形有2解
【答案】AC
【分析】对于A,用余弦定理可以判定;对于B,利用由正弦定理即可判定;对于C,由正弦函数的性质结合三角形内角即可判定;对于D,利用正弦定理可得,即可判定.
【详解】对于A,由余弦定理可得,即,
但无法判定A、C的范围,故A错误;
对于B,若,则,由正弦定理,
得(为外接圆的半径),
所以,故B正确;
对于C,若,由正弦函数的性质,
得或,
又,故或,故C错误;
对于D,由正弦定理可得,得,
由,得,又,
所以有2个A的值,即三角形有2个解,故D正确.
故选:AC.
11.下列说法正确的是( )
A.若,则存在唯一实数使得
B.两个非零向量,,若,则与共线且反向
C.已知,,且与的夹角为锐角,则实数的取值范围是
D.点在所在的平面内,若,,分别表示,的面积,则
【答案】BD
【分析】根据平面向量共线定理判断A,根据平面向量减法的定义判断B,根据数量积大于零且向量不共线求出参数的取值范围,即可判断C,根据向量的线性关系确定O的位置,由此求三角形的面积关系,即可判断D;
【详解】对于A:当,时,,但是不存在实数使得,故A错误;
对于B:由可得,整理可得,
所以,则与共线且反向,故B正确;
对于C:因为,,则,
又与的夹角为锐角,所以,解得,
又当,即时与同向,故且,即C错误;
对于D:因为,取的中点,则,
所以为的中点,连接,因为是的中点,所以,
是的中点,所以,,
所以,故D正确;
故选:BD
12.已知点在所在的平面内,则下列命题正确的是( )
A.若为的垂心,,则
B.若为边长为2的正三角形,则的最小值为-1
C.若为锐角三角形且外心为,且,则
D.若,则动点的轨迹经过的外心
【答案】ACD
【分析】A利用三角形相似及数量积的几何意义判断:B构建直角坐标系,由向量数量积的坐标表示列式求最值;C由已知得,进而可知与中点共线,结合外心的性质有垂直平分即可判断;D将等式两侧同时点乘并化简得,即可判断.
【详解】A:如下图,,则为垂心,易知:,
所以,则,
根据向量数量积的几何意义知:,同理,
所以,正确;
B:构建以中点为原点的直角坐标系,则,若,
所以,,
由,则,
当时的最小值为,错误;
C:由题设,则,
所以,若为中点,则,
故,故共线,又,即垂直平分,
所以,正确;
D:由题设,,
则,
所以,若为中点,则,
故,所以的轨迹经过的外心,正确.
故选:ACD
【点睛】关键点点睛:A根据垂心性质,三角形相似关系、数量积的几何意义得到;B构建直角坐标系,应用数量积的坐标表示列式判断;C、D根据外心的性质,应用数形结合化简题设向量的线性关系式判断.
三、填空题
13.已知向量,,.若,则________.
【答案】
【分析】由两向量共线的坐标关系计算即可.
【详解】由题可得
,即
故答案为
【点睛】本题主要考查向量的坐标运算,以及两向量共线的坐标关系,属于基础题.
14.已知,则的值为________
【答案】
【分析】由诱导公式计算.
【详解】原式.
故答案为:.
15.已知向量,则在方向上的投影向量是______________.
【答案】
【分析】在方向上的投影向量是:,先求出,代入即可.
【详解】因为,
则在方向上的投影向量是:
故答案为:.
16.已知直角梯形中,,,,,是腰上的动点,则的最小值为______.
【答案】5
【分析】以为轴的正方向建立直角坐标系,利用向量的坐标表示求模长的最小值.
【详解】
由题:以为轴的正方向建立直角坐标系,如图所示:
设,
则
,当取得最小值.
故答案为:5
【点睛】此题考查平面向量线性运算和模长的坐标表示,恰当地建立直角坐标系将模长问题进行转化利于解题.
四、解答题
17.设向量满足,且.
(1)求与的夹角;
(2)求的大小.
【答案】(1)
(2)
【分析】(1)设与的夹角为,利用即可求出答案;
(2)利用即可求出答案
【详解】(1)设与的夹角为,
,
将代入得,
.
(2)
将代入得,
.
18.如图,甲船A处,乙船在A处的南偏东45°方向,距A有9海里并以20海里/时的速度沿南偏西15°方向航行,若甲船以28海里/时的速度航行.
(1)求甲船用多少小时能尽快追上乙船;
(2)设甲船航行的方向为南偏东,求的正弦值.
【答案】(1)
(2)
【分析】(1)设用小时,甲船能追上乙船,设,,求出,在△ABC中,利用余弦定理即可得出答案;
(2)利用正弦定理求得,再根据结合两角差的正弦公式即可得出答案.
【详解】(1)解:设用小时,甲船能追上乙船,且在C处相遇,
在△ABC中,,,,
设,,
∴,
∴,
∴,即,
∴,
即甲船用小时能尽快追上乙船;
(2)解:由(1)得:海里,海里,
根据正弦定理,得,∴,
∴.
19.如图所示,在边长为2的等边△ABC中,点M,N分别在边AC,AB上,且M为边AC的中点,设,.
(1)若,用,表示;
(2)求的取值范围.
【答案】(1)
(2)
【分析】(1)利用即可求出;
(2)设,可得所以,即可求出.
【详解】(1)因为M为AC中点,所以,
因为,所以,
所以;
(2)设,
得,,
因为,,,
所以
,
所以当时,取得最大值3,
故当时,取得最小值;
故的取值范围为
20.已知函数,的最小正期为π.
(1)求的对称中心;
(2)方程在上有且只有一个解,求实数n的取值范围.
【答案】(1)
(2)
【分析】(1)利用二倍角余弦公式、诱导公式及辅助角公式化简得,根据最小正周期求参数,整体法求对称中心即可;
(2)令,画出的图象,数形结合求在上有且只有一个解对应n的取值范围.
【详解】(1)由,
因为的最小正期为π,即,故,
所以,
令,则,故函数对称中心为.
(2)令,当时,
所以在的图象如下,
由图知:在上有且只有一个解,则或,
所以或,故.
21.在中,内角A,B,C的对边分别为a,b,c,已知
(1)求角A的大小;
(2)若为锐角三角形,且,求面积的取值范围.
【答案】(1)
(2)
【分析】(1)利用余弦定理及代入已知条件进行化简得,再根据,从而求出角A的大小;
(2)由正弦定理得,然后由公式,转化为关于得函数进行求解.
【详解】(1)因为,
所以,
则,
即
又,
所以,即
又,所以
(2)因为,
所以,
因为为锐角三角形,
所以
解得 ,则
故,
即面积的取值范围为
22.已知函数为奇函数,且图象的相邻两对称轴间的距离为.
(1)求的最大值.
(2)将函数的图象向右平移个单位长度,再把横坐标缩小为原来的(纵坐标不变),得到函数的图象,记方程在上的根从小到依次为,,,......,试确定n的值,并求的值.
【答案】(1)
(2)
【分析】(1)利用三角恒等变换的公式化简的解析式,利用正弦函数的周期性,奇偶性求得函数的解析式,令,利用换元法转化为求最大值即可;
(2)利用三角函数的图象变换规律,求得的解析式,由方程,得,根据,求得,设,转化为,结合正弦函数的图象与性质,即可求解.
【详解】(1)由题意,函数
因为图象的相邻两对称轴间的距离为,所以,可得,
又由函数为奇函数,可得,所以,
因为,所以,所以函数,
,
令,,
则,,,
因为对称轴,所以当时,,
即的最大值为.
(2)将函数的图象向右平移个单位长度,可得,
再把横坐标缩小为原来的(纵坐标不变),得到函数的图象,
由方程,即,即,
,,
设,其中,即,
结合正弦函数的图象,如图,
可得方程在有5个解,即,
其中,,,,
即,,,,
解得,,,,
所以.
2022-2023学年山东省济宁市高一下学期期末数学试题(含详细答案解析): 这是一份2022-2023学年山东省济宁市高一下学期期末数学试题(含详细答案解析),共20页。试卷主要包含了单选题,多选题,填空题,解答题等内容,欢迎下载使用。
2023-2024学年山东省济宁市兖州区高一上学期期中数学试题(含解析): 这是一份2023-2024学年山东省济宁市兖州区高一上学期期中数学试题(含解析),共14页。试卷主要包含了单选题,多选题,填空题,解答题等内容,欢迎下载使用。
2022-2023学年山东省淄博市淄博实验中学高一下学期期中数学试题含解析: 这是一份2022-2023学年山东省淄博市淄博实验中学高一下学期期中数学试题含解析,共15页。试卷主要包含了单选题,多选题,填空题,解答题等内容,欢迎下载使用。

