2023届福建省龙岩第一中学高考第三次校模拟英语试题(含答案)
展开2023届福建省龙岩第一中学高考第三次校模拟英语试题
学校:___________姓名:___________班级:___________考号:___________
一、阅读理解
Intro
Our Online Chinese Summer Camp program is a wonderful, immersive online Chinese learning experience specifically designed for learning Chinese remotely.
Suitable Age
Kids aged 10 to 16
Camp Content
Interactive Chinese lessons, cultural activities and virtual trips
Schedule
Monday to Friday
The class time is scheduled according to different time zones.
Camp Levels
Online Chinese Camp is divided into 2 levels — Non-Native Chinese Camp for beginner to intermediate levels and Chinese Camp for intermediate to advanced levels.
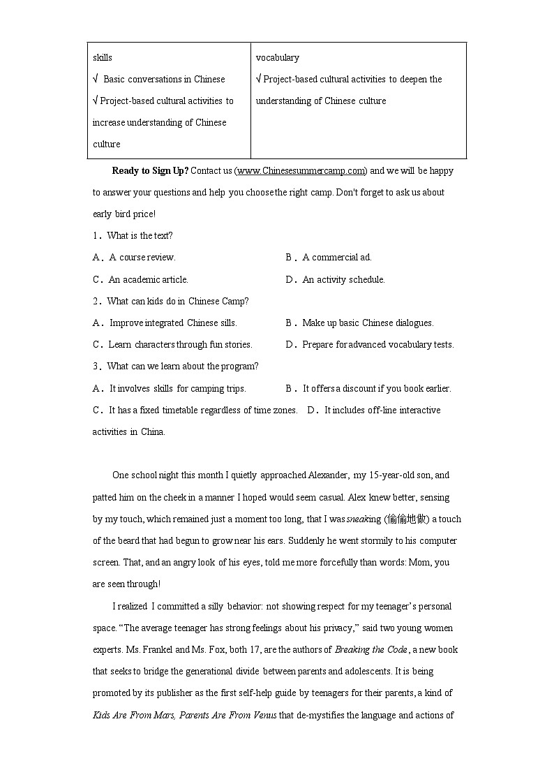
Non-Native Chinese Campfor Kids from non-native Chinese families | Chinese Campfor Kids from native Chinese families |
REQUIREMENTS | |
• No Chinese language experience needed• No Chinese language exposure in everyday life | • Chinese language experience in a native Chinese-speaking family |
CONTENT | |
√ Fun and interactive online lessons and activities to raise the interest in learning Chinese√ Introduction to Chinese characters with stories and pictures √ Develop practical communicating skills √ Basic conversations in Chinese √ Project-based cultural activities to increase understanding of Chinese culture | √ Fun and interactive online lessons to improve 4 language skills — Listening, Speaking, Reading & Writing√ Intermediate conversations in Chinese through various cultural and language activities √ More advanced lessons to increase Chinese vocabulary √ Project-based cultural activities to deepen the understanding of Chinese culture |
Ready to Sign Up?Contact us (www.Chinesesummercamp.com) and we will be happy to answer your questions and help you choose the right camp. Don't forget to ask us about early bird price!
1.What is the text?
A.A course review. B.A commercial ad.
C.An academic article. D.An activity schedule.
2.What can kids do in Chinese Camp?
A.Improve integrated Chinese sills. B.Make up basic Chinese dialogues.
C.Learn characters through fun stories. D.Prepare for advanced vocabulary tests.
3.What can we learn about the program?
A.It involves skills for camping trips. B.It offers a discount if you book earlier.
C.It has a fixed timetable regardless of time zones. D.It includes off-line interactive activities in China.
One school night this month I quietly approached Alexander, my 15-year-old son, and patted him on the cheek in a manner I hoped would seem casual. Alex knew better, sensing by my touch, which remained just a moment too long, that I was sneaking (偷偷地做) a touch of the beard that had begun to grow near his ears. Suddenly he went stormily to his computer screen. That, and an angry look of his eyes, told me more forcefully than words: Mom, you are seen through!
I realized I committed a silly behavior: not showing respect for my teenager’s personal space. “The average teenager has strong feelings about his privacy,” said two young women experts. Ms. Frankel and Ms. Fox, both 17, are the authors of Breaking the Code, a new book that seeks to bridge the generational divide between parents and adolescents. It is being promoted by its publisher as the first self-help guide by teenagers for their parents, a kind of Kids Are From Mars, Parents Are From Venus that de-mystifies the language and actions of teenagers.
Personally, I welcomed insights into teenagers from any qualified experts, and that included the authors. The most common missteps in interacting with teenagers, they instructed me, result from the conflict between parents maintaining their right to know what goes on under their roof and teenagers striving to guard their privacy. When a child is younger, they write, every decision centers around the parents. But now, as Ms. Fox told me, “often your teenager is in this circle that doesn’t include you.”
Ms. Fox and Ms. Frankel acknowledge that teenagers can be quick to interpret their parents’ remarks as negative or authoritative and respond with aggressiveness that masks their defenselessness. “What we want above all is your approval,” they write. “Don’t forget, no matter how much we act as if we don’t care what you say, we believe the things you say about us.”
4.In the second paragraph, Kids Are From Mars, Parents Are From Venus is mentioned because ______.
A.it disapproves of opinions in Breaking the Code
B.it shares the same theme with Breaking the Code
C.it employs the same language style as Breaking the Code
D.it ranks right after Breaking the Code among self-help guides
5.With their book, Ms. Frankel and Ms. Fox ______.
A.declare teenagers’ rights B.remind parents of teenagers’ missteps
C.help parents know teenagers better D.arouse much disagreement from the public
6.What often leads to conflicts between parents and teenagers based on the passage?
A.Teenagers’ defense of their privacy.
B.Parents’ striving to instruct teenagers.
C.Teenagers’ refusal to follow experts’ advice.
D.Parents’ dislike in teenagers’ attitudes to life.
7.What can be learned from the last paragraph?
A.Teenagers always rush to judgement on others.
B.Parents often seek to create an authoritative image.
C.Parents’ opinions about teenagers matter much to them.
D.Teenagers feature good comprehension and defenselessness.
Peter and Minke van Wingerden have created something wild: a herd of cows floating on the sea. The Dutch husband-and-wife team’s experiment on sustainable agriculture, called Floating Farm, can be found in the port of Rotterdam. The modernist structure houses 40 cows, who collectively produce some 200 gallons of milk a day. In addition to helping nourish (滋养) the local community, the waterborne farm is playing a part in the global conversation about how the climate crisis is pushing farmers to reconsider how—and where—they produce food.
Floods, extreme heating, droughts and even rising night temperatures have sent the food system off balance. The race to outsmart the constant attack of extreme weather has made the world of farming unrecognizable from what it was only decades ago. A team of scientists in Mexico is developing wheat types that can adapt themselves to different climates, while Jack’s Solar Garden in Longmont, Colorado, is a testbed for the emerging method of solar farming.
Rotterdam has already established itself as one of the most climate-adaptive places in the world. Everything from office buildings to entire neighborhoods are built on water in the city, which is 90% below sea level. The Wingerdens’ Floating Farm was a new but necessary attempt. Should a weather crisis arise, a waterborne farm isn’t necessarily stuck in place. A former property developer with a background in engineering, Peter found his inspiration for the Floating Farm in a climate disaster in New York City, where Hurricane Sandy prevented the delivery of fresh food to millions.
The Wingerdens’ model is ripe for reproduction—which is exactly what the Floating Farm’s team of 14 are working on now. Plans are under way for a floating vegetable farm to move into the space next to the current Floating Farm. Permit applications are also out for similar structures in Dubai, Singapore and the Dutch cities of Haarlem and Arnhem.
The new projects will apply lessons learned from Floating Farm. “You need to build a house in order to know how to build a house,” Peter says. The biggest obstacles he sees ahead, however, are not financial or physical, but rather political and administrative. “One of the biggest challenges we come across worldwide is regulations. Cities need to have disruptive thinking, cities need to have disruptive departments, and cities need to have areas where you can say: OK, this is the experimental zone.” Because what Peter and his team are pulling off is of a different order than the typical sustainability measures. “We are not innovative,” he says. “We are disruptive.”
8.Which of the following is TRUE about the Floating Farm?
A.It is the first modern farming attempt to fight climate change.
B.It is a model of new agriculture in the age of climate crisis.
C.It has outsmarted other forms of farming like solar farming.
D.It copies a similar structure in Dubai ready for reproduction.
9.It can be inferred from the passage that ___________.
A.90% of the population in Rotterdam live below the sea level
B.The New York City is working hard to fight climate change
C.The local community will not be fed without new farming
D.Waterborne facilities are necessary to the future of Rotterdam
10.The phrase “disruptive thinking” in the last paragraph means “thinking __________”.
A.in a daring and unusual way B.in a focused and logical way
C.in a careful and detailed way D.in a rude and unpleasant way
11.Which of the following might be the best title of the passage?
A.Is Rotterdam Built on Water?
B.Can Floating Farming Survive?
C.Are Cows at Sea the Future of Farming?
D.Is Extreme Weather Affecting Agriculture?
Scientists at the Massachusetts Institute of Technology (麻省理工学院) have turned spider webs into music——creating an strange soundtrack that could help them better understand how the spiders output their complex creations and even how they communicate.
The MIT team worked with Berlin-based artist Tomas Saraceno to take 2D (two- dimensional) laser (激光) scans of a spider web, which were linked together and made into a mathematical model that could recreate the web in 3D in VR (virtual reality). They also worked with MIT’s music department to create the virtual instrument.
“Even though the web looks really random (随机),there actually are a lot of inside structures and you can visualize (可视化) them and you can look at them, but it’s really hard to grasp for the human imagination or human brain to understand all these structural details,” said MIT engineering professor Markus Buehler, who presented the work on Monday at a virtual meeting of the American Chemical Society.
Listening to the music while moving through the VR spider web lets you see and hear these structural changes and gives a better idea of how spiders see the world, he told CNN. “Spiders use vibrations (振动) as a way to locate themselves, to communicate with other spiders and so the idea of thinking really like a spider would experience the world was something that was very important to us as spider material scientists,” Buehler said.
Spiders are able to build their webs without shelves or supports, so having a better idea of how they work could lead to the development of advanced new 3D printing techniques. “The reason why I did that is I wanted to be able to get information really from the spider world, which is very weird and mysterious,” Buehler explained. In addition to the scientific value, Buehler said the webs are musically interesting and that you can hear the sounds the spider creates during construction. “It’s unusual and eerie and scary, but finally beautiful.” he described.
12.What have MIT scientists done according to the passage?
A.They have translated spider webs into sounds.
B.They have made a mathematical model to produce webs.
C.They have created a soundtrack to catch spiders.
D.They have known how spiders communicate.
13.What can we know about spider webs from paragraph 3?
A.Their structures are beautiful and clear.
B.Professor Markus Buehler knows them well.
C.The American Chemical Society presents the result.
D.They are complex for people to figure it out.
14.In which field will the study be helpful?
A.virtual reality B.printing
C.painting D.film-making
15.What is the main idea of the passage?
A.It tells us that the music created by spiders is scary.
B.It shows how the researchers carry out the experiment.
C.It presents a new and creative way to study spiders.
D.It explains why scientists did the experiment.
二、七选五
Scientists and researchers have long sought to understand why people cry when experiencing joy or happiness. Crying can be confusing to witness on a joyous occasion, but it happens often. ____16____ .
You have repressed feelings.
____17____ . This meant that people who cried when experiencing something joyous had underlying feelings of sadness they hadn’t addressed. Many researchers have countered the theory over the years, but it appears to be one of the earliest attempts to understand why we cry when we are happy.
____18____ .
Tears contain enzymes(酶), lipids(脂质), electrolytes(电解质), and metabolites(代谢物). But emotional tears might also include other proteins and hormones. It is assumed that release of stress hormones like prolactin(催乳激素) and leu-enkephalin(内啡肽) may help regulate the body’s physical and emotional homeostasis(自我平衡). Stress hormones may help calm you and regulate your mood.
It fosters vulnerability(脆弱性) and social connection.
Crying in any setting could also be our way of showing vulnerability as human beings. When we cry, we signal to others to empathize(共情) with us. ____19____ . Scientists believe that crying is a way of establishing a social connection with other people.
You feel powerless over your emotions.
____20____ . When you cry, it feels like you are forcing out some of these emotions. As such, while you might be experiencing a happy or joyous occasion, you might find the emotion too strong to control. Crying helps you release some of this emotion.
A.Crying may regulate your body.
B.Crying may release repressed stress.
C.This happens when we cry because of a happy or sad event.
D.Over the decades, researchers have devised theories to explain why.
E.An early theory suggested that this happened as a result of repressed feelings.
F.Some research suggests crying can help you manage perceived strong feelings.
G.While you might not always allow your tears free fall, you often feel them coming on.
三、完形填空
There are days when I feel I am a student in my classroom rather than a teacher.
One day, my students held a discussion about different tools, especially, how ____21____ were like tools. They discovered the same tools could ____22____ different results: they could hurt or ____23____. I watched and listened with ____24____. They got it!
A few days later, Laura had an unexpected ____25____in class. She refused to work but quarrel with her group. I asked her to go. She ____26____ from the back of the room to the door, ____27____ me an angry look, and then slammed(猛摔) the door. Extremely angry about her disrespectful behavior, I was ____28____ in my tone and harsh(严厉) with my words. She said, “You’re using your ____29____ against me.” I was speechless.
There are times when you are at a _____30_____ crossroads with a student and the road you choose will make all the _____31_____. Minutes later, I realized at that moment I should apologize, “You’re right, Laura. I have used my words unwisely and unkindly. Will you forgive me?” She looked me in the eye and _____32_____ said, “OK, I forgive you, Mrs. Ekre. And I’m sorry, too.”
A year later, she wrote me a beautiful letter, _____33_____ to which was a small key, a tool, she said, for a teacher who taught her how important words can be. It serves as my _____34_____ of a lesson I taught as a teacher but one I really _____35_____ from my student.
21.A.knives B.pens C.words D.sticks
22.A.accumulate B.produce C.achieve D.contribute
23.A.strike B.destroy C.restore D.heal
24.A.security B.satisfaction C.gratitude D.humour
25.A.breakdown B.performance C.outburst D.accident
26.A.escaped B.suffered C.rose D.marched
27.A.offered B.shot C.pardoned D.begged
28.A.proper B.quick C.sharp D.gentle
29.A.tool B.power C.influence D.character
30.A.complex B.busy C.remarkable D.critical
31.A.sense B.difference C.mess D.mistake
32.A.simply B.scarcely C.easily D.regularly
33.A.related B.used C.adapted D.attached
34.A.reminder B.symbol C.theme D.content
35.A.recovered B.suffered C.learned D.benefited
四、用单词的适当形式完成短文
阅读下面短文,在空白处填入1个适当的单词或括号内单词的正确形式。
Chinese culture is full of wonders. The reason why human culture can be exchanged and spread is ____36____ the civilization itself has deep value.
On October 12, 2022, ____37____ Italian astronaut released photos of China from space with sentences from Lantingji Xu, a famous article ____38____ (write) by Wang Xizhi, a calligrapher from the Eastern Jin Dynasty in China. The post received a lot of praise for the beauty of classical Chinese literature. But this is not the first time that it ____39____ (be) a focus of attention outside China.
In the 19th century, missionary Angelo Zottoli included the article in his Cursus Litteraturae Sinicae and considered it an ____40____ (essence) piece.
The prophet(先知) Muhammad is known for a saying ____41____ (wide) circulated in many parts of the Middle East: “Seek knowledge even if you have to go as far as China.” This expresses the desire of the Arab people ____42____ ( seek) knowledge from China.
British writer Oscar Wilde, in an article, shared his insights about Chuang Tzu(庄子369B.C.-286B.C.), “ He is one of the Darwinians ____43____ Darwin(达尔文1809-1882): He traces man from the germ, and sees his unity with nature.”
Some Turkish sinologists(汉学家) say that The Art of War contains Chinese wisdom; some Kazakhstan sinologists say they have a special ____44____ (fond) for Confucian wisdom; some Russian sinologists say they love translating Chinese poetry. From the moment they began to “re-examine” Chinese philosophy, everything was just a matter of ____45____ (reveal) the mysterious veil(面纱).
五、其他应用文
46.在班级活动中,当你的想法与大多数同学不一致时,你是坚持自己的观点并说服别人,还是尊重大多数同学的意见?请你以“When I Have a Different Opinion”为题,用英文写一篇100~120个词“短文。要求如下:
1.从以上两种做法中选择一种;
2.以具体事例阐述你选择的理由。
注意:短文中,不得以任何形式透露地区、学校、同学姓名等真实信息。否则,按考试作弊行为认定。
When I Have a Different Opinion
六、读后续写
47.阅读下面材料,根据其内容和所给段落开头语续写两段,使之构成一篇完整的短文。
The watch was my grandfather’s. He hung it by his bed. The face was marked with elegant Roman numbers and the case was gold. My grandfather got it after his fifty years of faithful service with his firm. I often gazed at it longingly as I sat with my grandfather after school.
The day I told him of my success in the examinations, he was pleased,“You’ll be going to the new school next, Will. Remember you’ll need plenty of patience. That’s the right way.” I nodded when handing him the watch. He gazed at it for some moments, and wound it.
The next morning my mother told me he had died in his sleep and left me his watch. For safety, my mother was to put it away in trust until she considered me old enough to look after it. I protested(抗议) so strongly that she finally agreed to hang it in the kitchen where I could always see it.
The summer soon ended and it was time for me to enter the new school. I never made friends easily, and for a time I did little more than get on speaking terms with some boys. One of them was a rich fellow whose way of impressing us was to parade his possessions before us. Everything Crawley had was better than ours – until he brought the watch.
“I have a better watch than that,” I announced, attempting to impress them. “Well, show it to us,” Crawley sneered (冷笑) in disbelief. Embarrassed, I promised to bring it to them that afternoon.
Considering there was no way to persuade my mother to let me take the watch, I decided to wait for her to step outside and slip the watch into my pocket. So I did. After lunch, as I was too excited to wait for the return bus, I got my bike out of the shed.
I rode fast, excitement coursing through me. Then suddenly a puppy ran out into my path. I pulled at my brakes so hard that the bike stopped to a sharp standstill (急停) and I fell over.
注意:
1.续写词数应为150左右;
2.请按如下格式在答题卡的相应位置作答。
I picked myself up and put a trembling hand into my pocket.
________________________________________________________________________________________________________________________________________________________________
“That’s not the right way. Patience, Will. Patience,” a voice echoed in my ears after the boys left.
________________________________________________________________________________________________________________________________________________________________
参考答案:
1.B 2.A 3.B
4.B 5.C 6.A 7.C
8.B 9.D 10.A 11.C
12.A 13.D 14.B 15.C
16.D 17.E 18.A 19.C 20.F
21.C 22.B 23.D 24.B 25.C 26.D 27.B 28.C 29.A 30.D 31.B 32.A 33.D 34.A 35.C
36.that 37.an 38.written 39.has been 40.essential 41.widely 42.to seek 43.before 44.fondness 45.revealing
46.When I Have a Different Opinion
We may have different opinions in organizing class activities. We may have various ways to deal with such a situation. When I have a better idea, I would choose to stick to it . By doing so, I can not only share good ideas with others but also learn to express myself clearly.
Once we were discussing where to go for an outing. Most of my classmates wanted to go to a park while I had an idea of going to a nicer peace. I managed to persuade my classmates into accepting my idea. We did have a good time that day . Good opinions are worth sticking to because they can benefit us all.
An alternative student version:
When I Have a Different Opinion
We may have different opinions in organizing class activities. When I have a different opinion, I may choose to give it up and respect the opinion of the majority.
The main reason for my choice is that being brought up in a culture emphasizing collectivism; I tend to sacrifice my own interest for the group benefit. Once we were left to decide whether to have a picnic in a park or go to a museum. I would love to go to a museum, but most of my classmates wanted to go for a picnic. Without hesitation, I decided to follow them and we did have lots of fun that day. Sometimes giving up a little can mean getting more.
47.Para 1:
I picked myself up and put a trembling hand into my pocket. Then I brought out what was left of my grandfather's proudest possession. There was deep bulge in the watch, the glass shattered, and the Roman numbers looking crazily at one another. Putting it back, I rode slowly on to school, numb with misery. After what seemed forever, I finally turned up before the waiting boys. “My mother wouldn't let me bring it,” I lied. “His mother wouldn't let him,” Crawley jeered. “What a story!" The others took up his cries and left without a backward glance.
Para 2:
“That’s not the right way. Patience, Will. Patience,” a voice echoed in my ears after the boys left. Though anger, embarrassment and sadness hung heavily in the air, the voice drew me to the awareness of the mistakes I had made when I attempted to impress the boys. I shouldn’t have tried to integrate in such a hasty way, nor should I have stolen the watch behind my mother. It was the first time that I had truly realized the meaning of the gift—patience. I knew for sure that every time I lost patience in the future I would remember my grandfather’s words.
福建省龙岩第一中学2023-2024学年高三上学期第三次月考英语试题: 这是一份福建省龙岩第一中学2023-2024学年高三上学期第三次月考英语试题,文件包含龙岩一中2024届高三上学期第三次月考英语最终版pdf、2024届高三上学期第三次月考英语答案docx等2份试卷配套教学资源,其中试卷共20页, 欢迎下载使用。
福建省龙岩第一中学2023-2024学年高三上学期第三次月考英语试题: 这是一份福建省龙岩第一中学2023-2024学年高三上学期第三次月考英语试题,文件包含龙岩一中2024届高三上学期第三次月考英语最终版pdf、2024届高三上学期第三次月考英语答案docx等2份试卷配套教学资源,其中试卷共20页, 欢迎下载使用。
2023届福建省龙岩第一中学高三下学期第三次校模拟英语试题含答案: 这是一份2023届福建省龙岩第一中学高三下学期第三次校模拟英语试题含答案,共22页。试卷主要包含了5 分,满分7等内容,欢迎下载使用。

