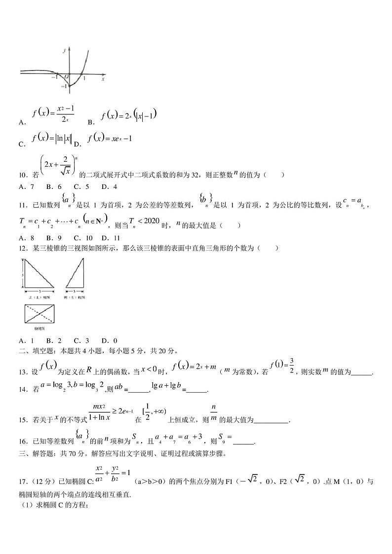
2023届内蒙古呼和浩特市重点名校高考仿真模拟数学试卷含解析
展开2023-2024学年内蒙古呼和浩特市高一(上)期末数学试卷(含解析): 这是一份2023-2024学年内蒙古呼和浩特市高一(上)期末数学试卷(含解析),共13页。试卷主要包含了单选题,多选题,填空题,解答题等内容,欢迎下载使用。
2023-2024学年内蒙古呼和浩特市高二(上)期末数学试卷(含解析): 这是一份2023-2024学年内蒙古呼和浩特市高二(上)期末数学试卷(含解析),共16页。试卷主要包含了单选题,多选题,填空题,解答题等内容,欢迎下载使用。
2023-2024学年内蒙古呼和浩特市高一(上)期末数学试卷(含解析): 这是一份2023-2024学年内蒙古呼和浩特市高一(上)期末数学试卷(含解析),共13页。试卷主要包含了单选题,多选题,填空题,解答题等内容,欢迎下载使用。

