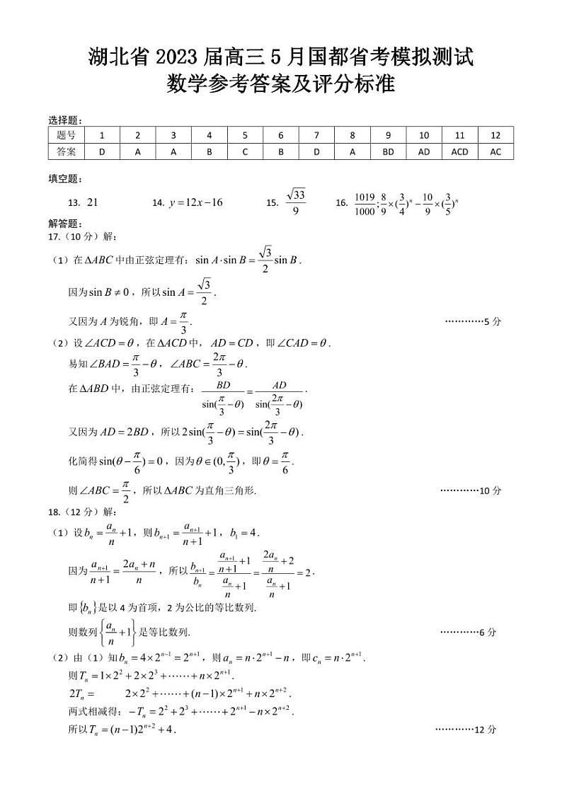
2023届湖北省高三5月国都省考模拟测试数学试题PDF版含答案
展开2020届湖北省黄冈八模系列高三模拟测试(四)数学试题 PDF版: 这是一份2020届湖北省黄冈八模系列高三模拟测试(四)数学试题 PDF版,共7页。
湖北省2023届高三下学期5月国都省考模拟测试数学试题: 这是一份湖北省2023届高三下学期5月国都省考模拟测试数学试题,共12页。
2023届湖北高三5月国都省考模拟测试数学试题+答案: 这是一份2023届湖北高三5月国都省考模拟测试数学试题+答案,文件包含国都省考数学参考答案pdf、2023届湖北高三5月国都省考模拟测试数学试题+答案pdf等2份试卷配套教学资源,其中试卷共10页, 欢迎下载使用。

