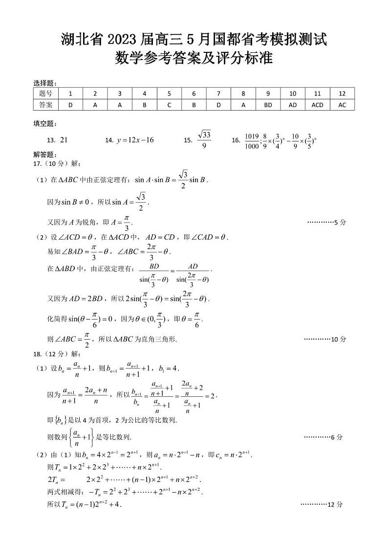
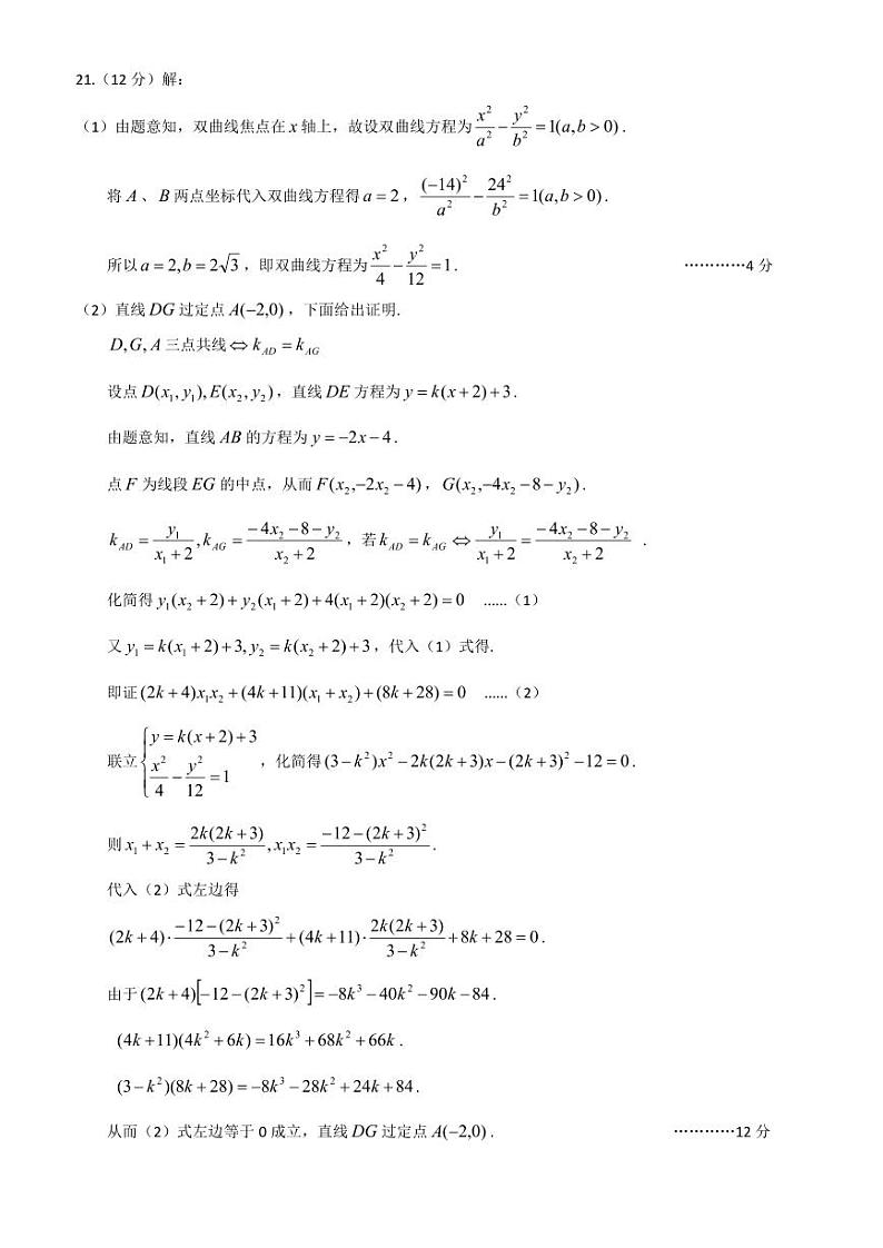
2023届湖北省高三5月国都省考模拟测试数学试题 PDF版
展开这是一份2023届湖北省高三5月国都省考模拟测试数学试题 PDF版,文件包含湖北省2023届高三5月国都省考模拟考试数学参考答案pdf、湖北省2023届高三5月国都省考模拟测试数学试题PDF版无答案pdf等2份试卷配套教学资源,其中试卷共10页, 欢迎下载使用。
相关试卷
这是一份2020届湖北省黄冈八模系列高三模拟测试(四)数学试题 PDF版,共7页。
这是一份湖北省2023届高三下学期5月国都省考模拟测试数学试题,共12页。
这是一份2023届湖北省高三5月国都省考模拟测试数学试题PDF版含答案,文件包含湖北省2023届高三5月国都省考模拟考试数学参考答案pdf、湖北省2023届高三5月国都省考模拟测试数学试题PDF版无答案pdf等2份试卷配套教学资源,其中试卷共10页, 欢迎下载使用。

