东北三省四城市联考暨沈阳市2023届高三质量监测(二)数学试题
展开东北三省四城市联考暨沈阳市2023届高三二模数学试题(word版): 这是一份东北三省四城市联考暨沈阳市2023届高三二模数学试题(word版),共5页。
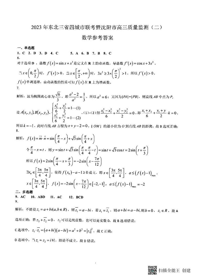
2023届东北三省四城市联考暨沈阳市高三二模数学试题含解析: 这是一份2023届东北三省四城市联考暨沈阳市高三二模数学试题含解析,共20页。试卷主要包含了单选题,多选题,填空题,解答题等内容,欢迎下载使用。
东北三省四城市联考暨沈阳市2023届高三(二模)数学试题: 这是一份东北三省四城市联考暨沈阳市2023届高三(二模)数学试题,共22页。试卷主要包含了单选题,多选题,填空题,解答题等内容,欢迎下载使用。

