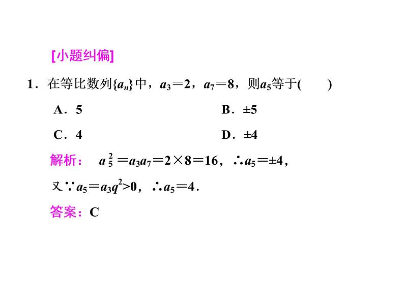
高中数学高考2018高考数学(文)大一轮复习课件 第五章 数列 第三节 等比数列及其前n项和
展开高中数学高考2018高考数学(文)大一轮复习课件 第五章 数列 第二节 等差数列及其前n项和: 这是一份高中数学高考2018高考数学(文)大一轮复习课件 第五章 数列 第二节 等差数列及其前n项和,共25页。
高中数学高考2018高考数学(理)大一轮复习课件:第六章 数列 第三节 等比数列及其前n项和: 这是一份高中数学高考2018高考数学(理)大一轮复习课件:第六章 数列 第三节 等比数列及其前n项和,共46页。
高中数学高考第3讲 等比数列及其前n项和: 这是一份高中数学高考第3讲 等比数列及其前n项和,共5页。试卷主要包含了选择题,填空题,解答题等内容,欢迎下载使用。

