广东省佛山市顺德区梁开初级中学2022-2023学年七年级下学期期中模拟英语试题
展开2022-2023年佛山市顺德区梁开中学期中模拟
一、语法选择(本题有10小题,每小题1分,共10分)
It is a sunny day. A little turtle (乌龟)___1___a tree now! It is very hard for him ___2___so.He tries (试图) is best to climb.____3____a few hours, he gets to the top.
Then, he jumps into the air He flaps (拍打)____4____front legs.____5____in the end,he falls (跌落) down to the ground. He___6_____badly hurt (受伤).
A few days later, the little turtle feels much better. He slowly climbs____7_____tree again, jumps, and falls into the ground once more. The turtle___8____ again and again. At the same time, two birds are ____9____in another tree. They are watching this little turtle.
Finally, one bird turns to the other and says,“Dear, I think it's time___10____our little turtle that he's adopted (收养的).So he can't just like us.”
- A.climbs B.is climbing C.climbed
- A.to do B.do C.doing
- A.Before B.After C.For
- A.his B.him C.he
- A.But B.And C.So
- A.are B.is C. be
- A.a B.an C.the
- A.tries B.try C. tried
- A.sit B.sitting C.sits
- A.to tell B.telling C.tell
二、完形填空(本大题有10小题,每小题1分,共10分)
Bill is a six-year-old boy. His mother Mrs. Green is very____11____ and there are many rules for Bill to___12_____ .
One day, Bill and his mother___13_____a bus to the store. It's Bill's first time to ___14____a bus so Bill is very happy and he runs here and there on the bus.
“Don’t ___15_____on the bus. dear. It's noisy and impolite (不礼貌的) ,"says his mother.
Bill ___16____his mother and sits down. Then he___17____ a man playing the guitar in the street. so he opens the window and looks out of the bus.
“Don't do that, dear .It's dangerous (危险的),”says his mother.
Again, Bill listens to her.
When Mrs. Green finds Bill wants to say something, she says, “Don't talk, dear." Bill looks at his mother and doesn't say anything.
After they get to the store, Mrs. Green says to Bill,“ ___18_____ do you want to say, dear?"
“You dropped (掉下) your____19____ on the bus. You don't want me to talk, and it's too ___20_____You can't call Daddy now.”Bill says.
11.A.healthy B.strict C.happy D. sorry
12.A. follow B.ask C.do D.write
13.A. drive B.show C.take D.sell
14.A put on B.get on C.take off D.get up
15.A. walk B.sing C.exercise D. run
16.A. learns from B.listens to C.plays with D. thinks of
17.A. sees B.feels C.makes D.helps
18.A. Where B.When C.What D.Why
19.A. key B.phone C.pen D.ring
20.A.easy B.right C.late D.great
三、阅读理解(本大题有15小题,每小题2分,共30分)
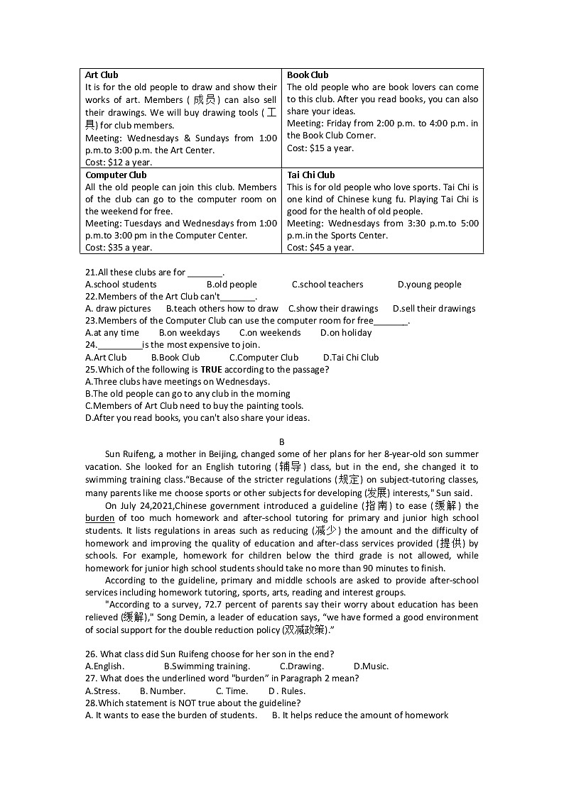
Art Club It is for the old people to draw and show their works of art. Members (成员) can also sell their drawings. We will buy drawing tools (工具) for club members. Meeting: Wednesdays & Sundays from 1:00 p.m.to 3:00 p.m. the Art Center. Cost: $12 a year. | Book Club The old people who are book lovers can come to this club. After you read books, you can also share your ideas. Meeting: Friday from 2:00 p.m. to 4:00 p.m. in the Book Club Corner. Cost: $15 a year. |
Computer Club All the old people can join this club. Members of the club can go to the computer room on the weekend for free. Meeting: Tuesdays and Wednesdays from 1:00 p.m.to 3:00 pm in the Computer Center. Cost: $35 a year. | Tai Chi Club This is for old people who love sports. Tai Chi is one kind of Chinese kung fu. Playing Tai Chi is good for the health of old people. Meeting: Wednesdays from 3:30 p.m.to 5:00 p.m.in the Sports Center. Cost: $45 a year. |
21.All these clubs are for _______.
A.school students B.old people C.school teachers D.young people
22.Members of the Art Club can't_______.
A. draw pictures B.teach others how to draw C.show their drawings D.sell their drawings
23.Members of the Computer Club can use the computer room for free_______.
A.at any time B.on weekdays C.on weekends D.on holiday
24._________is the most expensive to join.
A.Art Club B.Book Club C.Computer Club D.Tai Chi Club
25.Which of the following is TRUE according to the passage?
A.Three clubs have meetings on Wednesdays.
B.The old people can go to any club in the morning
C.Members of Art Club need to buy the painting tools.
D.After you read books, you can't also share your ideas.
B
Sun Ruifeng, a mother in Beijing, changed some of her plans for her 8-year-old son summer vacation. She looked for an English tutoring (辅导) class, but in the end, she changed it to swimming training class.“Because of the stricter regulations (规定) on subject-tutoring classes, many parents like me choose sports or other subjects for developing (发展) interests," Sun said.
On July 24,2021,Chinese government introduced a guideline (指南) to ease (缓解) the burden of too much homework and after-school tutoring for primary and junior high school students. It lists regulations in areas such as reducing (减少) the amount and the difficulty of homework and improving the quality of education and after-class services provided (提供) by schools. For example, homework for children below the third grade is not allowed, while homework for junior high school students should take no more than 90 minutes to finish.
According to the guideline, primary and middle schools are asked to provide after-school services including homework tutoring, sports, arts, reading and interest groups.
"According to a survey, 72.7 percent of parents say their worry about education has been relieved (缓解)," Song Demin, a leader of education says, “we have formed a good environment of social support for the double reduction policy (双减政策).”
26. What class did Sun Ruifeng choose for her son in the end?
A.English. B.Swimming training. C.Drawing. D.Music.
27. What does the underlined word "burden” in Paragraph 2 mean?
A.Stress. B. Number. C. Time. D . Rules.
28.Which statement is NOT true about the guideline?
A. It wants to ease the burden of students. B. It helps reduce the amount of homework
C. It helps improve the quality of education. D. It's bad for student's education
29.Primary and middle schools should provide _________.
A.homework tutoring B. sports, arts and reading groups
C. interest groups D. all the above
30.This passage is most probably from___________.
A. a storybook B.a poster
C.a newspaper D.an advertisement
C
左栏是对五个人的情况简介,右栏是七个人对他们朋友的描述。从右栏中选出最恰当的
选项并把它的字母编号在答题卡上涂黑.
____31____ Li Ming is watching a movie in the cinema with his friend now.He loves it very much. ____32____David's family are all at home on Sunday evening.They're doing different things now. ____33____Alice is having a trip in the zoo with her friends now They are having a good time there. ____34____Kate and her mother are shopping in the supermarket now.They want to buy some food for dinner. ____35___Zhang Qi is having a P.E.class now.His classmates are doing different sports on the playground. |
C.My friends and I are having great fun in the zoo. Look The pandas are eating bamboo ( 竹子)They’re my favorite animals. The lions are kind of lazy. They are sleeping. D.There are many students on the playground. Some of them are playing basketball, Some of them are running.And some of them are playing ping-pong. E.It's 4:30 p.m. now. Classes are all over,The student of No. 13 Middle School are cleaning their classrooms.Their teachers are working with them. F.There is a new supermarket near my home. Lots of food is on sale. I’m buying some fruit and vegetables now.My mom is buying some fish. G.I enjoy being with my family at home in the evening.Now my father is reading a newspaper. My mother is watching TV. And I'm talking on the phone to my friend. |
四、短文填空(共10小题,每小题1.5分,满分15分)
(基础篇)
Julia is a nice girl. She is studying in America. And she is living with(36)________American family.
Now, it's 9:00 p.m.(37)________New York, and it's the night before the Dragon Boat Festival. Julia is(38)________the races and eating zongzi. There is no Dragon Boat Festival in the US.(39)________it's like any other night for Julia and her host family (寄宿家庭)
What(40)________they doing now? The mother is reading a story(41)________ her young children. The father is watching a soccer game on TV.(42) ________.is Julia doing? She is (43)________on the phone to her cousin in Shenzhen. Julia misses (44)_________ family and wishes to have her mom's delicious zongzi.
Julia likes the city(45)________her host family a lot. But there's still (仍然)”no place like home”.
(提升篇)
Hello, I'm Abe. I live with(46)________ sister Lily and my brother Eddie in Mrs. Black's house. Mrs. Black is nice. She always tells us to help people(47)________ we are service dogs(服务犬).
I go to school with my sister and my brother Our school life is not easy, but we are happy. Because we can do(48)________helpful (有帮助的) .At school, we have to learn to do(49)________of things.I need to learn to look around before I (50)________the street. Lily must learn to help children with autism (自闭症) .And Eddie learns to make people happy when they don' t (51)________good.
After six months, we leave our(52)________and then go to our new homes.At our new homes, we are(53)________with the hosts (主人) and they love us very much. One of the hosts Helen sometimes goes(54)________with min a supermarket. I sometimes meet my sister and my brother in(55)________supermarket. We are happy to be helpful!
五、读写综合(本大题分为A、B两部分,共25分)
A.回答问题
Hello! Li Lin,
Thanks for your e-mail, I love reading, too. Now, I'm reading a book. It's not my book. It is my father's. Let me tell you something about the book. It is about the bad changes (变化) on our planet ( 星球) .It says that many animals and plants are in danger. We are losing a lot of them.
I can learn many things from the book. And it makes me think (思考)a lot. I think I can do something to help stop the changes. First, [ can stop using plastic bags (塑料袋).After they go into the sea, they will really be bad for fish and other sea animals. Second. I can help keep the animals' homes clean. I talk to my friends about this, and they also want to help, So every Saturday,we go to the park lo make it clean.
I love our planet.And I’d like to study environmental protection (环境保护) when I go to university(大学) .I want to learn more about how to help them. What do you think of my ideas? And how is your new life in your new school?
Please write soon.
Love,
Claire
- What is Claire doing now according to (根据) the letter? ________________________________________________________
- What is the book about??
________________________________________________________
- According to the passage, how many things can Claire do to help stop the bad changes??
________________________________________________________
- When do Claire and her friends go to clean the park?
________________________________________________________
- What does Claire want to study when she gees to university?
________________________________________________________
B.书面表达
假如你是上文中的李林,本学期刚进入一所新的学校,请你给 Claire 回复一封电子邮件,介绍你在新学校的新生活
内容包括:
(1)你平时的作息习惯
(2)你在宿舍的规定:
(3)你擅长的事情和想要参加的俱乐部;
(4)你对新学校的感受等等。
作文要求:
(1) 不能照抄原文;不得在作文中出现真实校名、地名和学生的真实姓名
(2) 语句连贯,词数60个左右。邮件的开头和结尾已经给出,不计入总词数
参考词汇:dormitory宿舍
Dear Claire,
It's very important to save our planet. And it is a great thing. I am studying at a new school this term.And I am happy to tell you something about my new school life
____________________________________________________________________________________________________________________________________________________________________________________________________________________________________________________________________________________________________________________________
答案:
1-5 BABAA 6-10 BCABA
11-15 BACBD 16-20 BACBC
21-25 BBCDA 26-30 BADDC 31-35 BGCFD
36-40 an in watching so are
41-45 to/for What talking her and
46-50 my because something lots cross
51-55 feel school good shopping the
56. She is reading a book.
57.The book is about the bad changes on our planet.
58.Claire can do two things to help stop the bad changes.
59.Every Saturday.
60.She wants to study environmental protecti
广东省佛山市顺德区2022-2023学年七年级下学期7月期末英语试题: 这是一份广东省佛山市顺德区2022-2023学年七年级下学期7月期末英语试题,共6页。
广东省佛山市顺德区大良顺峰初级中学2023-2024学年八年级上学期期中英语试题: 这是一份广东省佛山市顺德区大良顺峰初级中学2023-2024学年八年级上学期期中英语试题,共4页。
广东省佛山市顺德区顺峰中学、梁开中学等15校联考2023-2024学年九年级上学期11月英语考试卷: 这是一份广东省佛山市顺德区顺峰中学、梁开中学等15校联考2023-2024学年九年级上学期11月英语考试卷,共13页。

