还剩52页未读,
继续阅读
所属成套资源:中考数学一轮复习课时练习课件 (含答案)
成套系列资料,整套一键下载
中考数学一轮复习课时练习课件第9单元 第28课时 直线与圆的位置关系 (含答案)
展开
这是一份中考数学一轮复习课时练习课件第9单元 第28课时 直线与圆的位置关系 (含答案),共60页。PPT课件主要包含了三条角平分线等内容,欢迎下载使用。
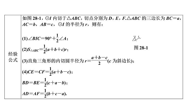
第二部分 图形与几何 第九单元 圆第28课时 直线与圆的位置关系 < = > 2 1 唯一 半径 垂直 垂直切点 相等 平分 相切 三条角平分线 三边 A C A 70° B D A C D 44° <
相关课件
(通用版)中考数学总复习精品课件第2部分 第9单元 第28课时 直线与圆的位置关系 (含解析):
这是一份(通用版)中考数学总复习精品课件第2部分 第9单元 第28课时 直线与圆的位置关系 (含解析),共60页。PPT课件主要包含了三条角平分线等内容,欢迎下载使用。
中考数学一轮复习课时练习课件第9单元 第27课时 圆的有关性质 (含答案):
这是一份中考数学一轮复习课时练习课件第9单元 第27课时 圆的有关性质 (含答案),共60页。PPT课件主要包含了完全重合,d=r,d与r的大小关系,点在圆外,点在圆上,点在圆内,位置关系,垂直于,有且只有一个圆,垂直平分线等内容,欢迎下载使用。
中考数学一轮复习课时练习课件第6单元 第21课时 尺规作图 (含答案):
这是一份中考数学一轮复习课时练习课件第6单元 第21课时 尺规作图 (含答案),共31页。

