初中数学中考复习 第2部分 第9单元 第28课时 直线与圆的位置关系课件PPT
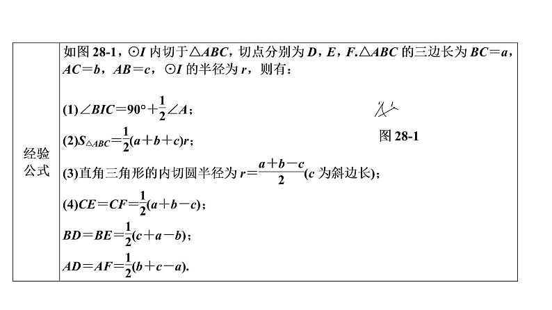
展开第二部分 图形与几何 第九单元 圆第28课时 直线与圆的位置关系 < = > 2 1 唯一 半径 垂直 垂直切点 相等 平分 相切 三条角平分线 三边 A C A 70° B D A C D 44° <
(通用版)中考数学总复习精品课件第2部分 第9单元 第28课时 直线与圆的位置关系 (含解析): 这是一份(通用版)中考数学总复习精品课件第2部分 第9单元 第28课时 直线与圆的位置关系 (含解析),共60页。PPT课件主要包含了三条角平分线等内容,欢迎下载使用。
中考数学一轮复习课时练习课件第9单元 第28课时 直线与圆的位置关系 (含答案): 这是一份中考数学一轮复习课时练习课件第9单元 第28课时 直线与圆的位置关系 (含答案),共60页。PPT课件主要包含了三条角平分线等内容,欢迎下载使用。
初中数学中考复习 第2部分 第9单元 第27课时 圆的有关性质课件PPT: 这是一份初中数学中考复习 第2部分 第9单元 第27课时 圆的有关性质课件PPT

