广东省广州市华南师范大学附属中学2022-2023学年高一下学期期中考试数学试题及答案
展开广东省广州市华南师范大学附属中学2022-2023学年高一上学期期末数学试题及答案: 这是一份广东省广州市华南师范大学附属中学2022-2023学年高一上学期期末数学试题及答案,文件包含广东省广州市华南师范大学附属中学2022-2023学年高一上学期期末数学试题教师版含解析docx、广东省广州市华南师范大学附属中学2022-2023学年高一上学期期末数学试题学生版docx等2份试卷配套教学资源,其中试卷共24页, 欢迎下载使用。
2022-2023学年广东省广州市华南师范大学附属中学高一下学期期末数学试题含答案: 这是一份2022-2023学年广东省广州市华南师范大学附属中学高一下学期期末数学试题含答案,共20页。试卷主要包含了单选题,多选题,填空题,解答题等内容,欢迎下载使用。
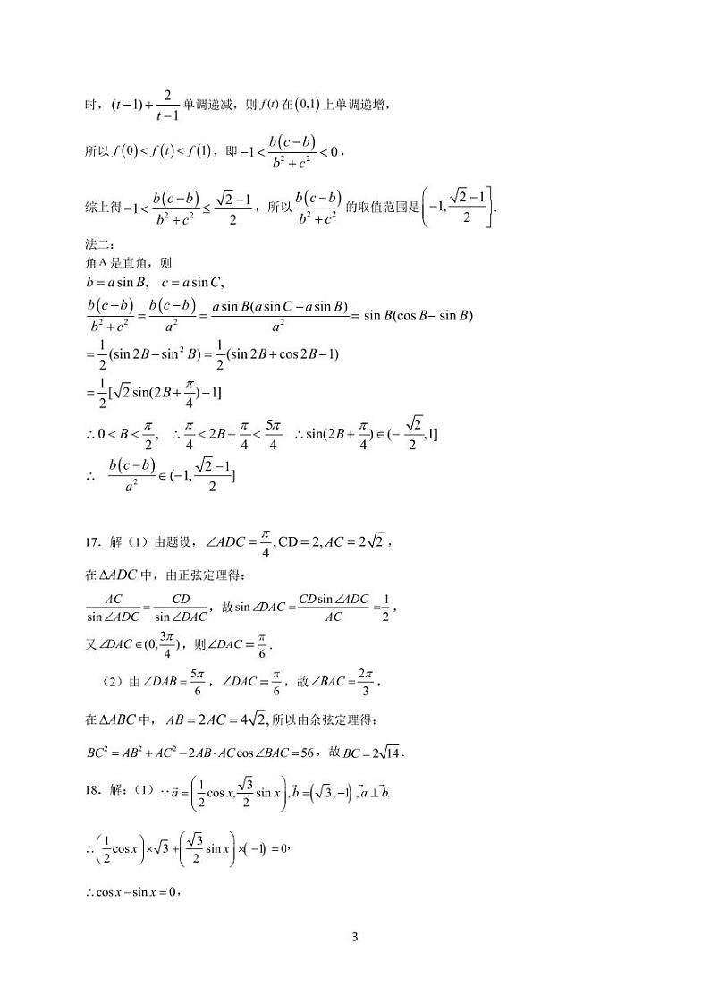
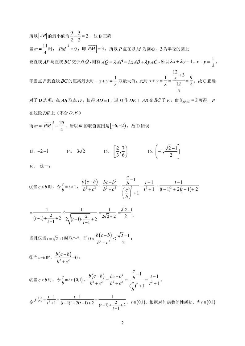
2022-2023学年广东省广州市华南师范大学附属中学高一上学期期末数学试题(解析版): 这是一份2022-2023学年广东省广州市华南师范大学附属中学高一上学期期末数学试题(解析版),共15页。试卷主要包含了单选题,多选题,填空题,解答题等内容,欢迎下载使用。

