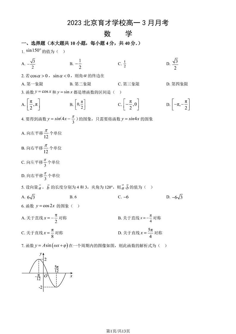
2023北京育才学校高一3月月考数学试题及答案
展开北京市育才学校2023-2024学年高一上学期12月月考数学试题(无答案): 这是一份北京市育才学校2023-2024学年高一上学期12月月考数学试题(无答案),共3页。试卷主要包含了填空题,解答题等内容,欢迎下载使用。
2024北京市育才学校高一上学期12月月考试题数学含解析: 这是一份2024北京市育才学校高一上学期12月月考试题数学含解析,共18页。试卷主要包含了填空题,解答题等内容,欢迎下载使用。
2023北京育才学校高一10月月考数学(教师版)(1): 这是一份2023北京育才学校高一10月月考数学(教师版)(1),共7页。

