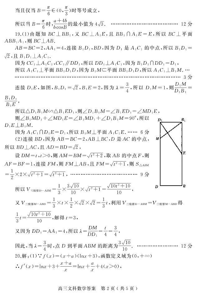
2023河南省五市高三下学期3月第一次联考试题数学(文)PDF版含答案
展开河南省豫南五市2023届高三下学期第一次联考数学(文)试卷(含答案): 这是一份河南省豫南五市2023届高三下学期第一次联考数学(文)试卷(含答案),共20页。试卷主要包含了选择题,填空题,解答题等内容,欢迎下载使用。
2023届河南省五市高三下学期3月第一次联考试题 数学(理) PDF版: 这是一份2023届河南省五市高三下学期3月第一次联考试题 数学(理) PDF版,文件包含数学理答案pdf、2023年河南省五市高三第一次联考数学理科试题pdf等2份试卷配套教学资源,其中试卷共7页, 欢迎下载使用。
河南省豫南五市2023届高三下学期第一次联考数学(文)试卷(含答案): 这是一份河南省豫南五市2023届高三下学期第一次联考数学(文)试卷(含答案),共20页。试卷主要包含了选择题,填空题,解答题等内容,欢迎下载使用。

