高中数学高考第3章 §3 1 导数的概念及其意义、导数的运算课件PPT
展开1.了解导数的概念、掌握基本初等函数的导数.2.通过函数图象,理解导数的几何意义3.能够用导数公式和导数的运算法则求简单函数的导数,能求简单的复合函数(形如 f(ax+b))的导数.
LUOSHIZHUGANZHISHI
1.导数的概念(1)函数y=f(x)在x=x0处的导数记作 或 .
(2)函数y=f(x)的导函数
2.导数的几何意义函数y=f(x)在x=x0处的导数的几何意义就是曲线y=f(x)在点P(x0,f(x0))处的切线的 ,相应的切线方程为 .
y-f(x0)=f′(x0)(x-x0)
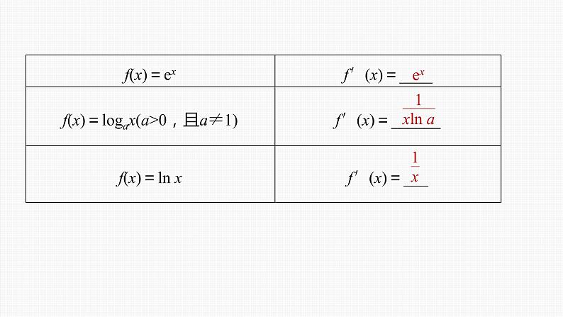
3.基本初等函数的导数公式
4.导数的运算法则若f′(x),g′(x)存在,则有[f(x)±g(x)]′= ;[f(x)g(x)]′= ;
f′(x)±g′(x)
f′(x)g(x)+f(x)g′(x)
[cf(x)]′= .
5.复合函数的定义及其导数复合函数y=f(g(x))的导数和函数y=f(u),u=g(x)的导数间的关系为y′x= ,即y对x的导数等于y对u的导数与u对x的导数的乘积.
1.区分在点处的切线与过点处的切线(1)在点处的切线,该点一定是切点,切线有且仅有一条.(2)过点处的切线,该点不一定是切点,切线至少有一条.
判断下列结论是否正确(请在括号中打“√”或“×”)(1)f′(x0)是函数y=f(x)在x=x0附近的平均变化率.( )(2)与曲线只有一个公共点的直线一定是曲线的切线.( )(3)f′(x0)=[f(x0)]′.( )(4)若f(x)=sin (-x),则f′(x)=cs (-x).( )
∴f′(1)=e-1,又f(1)=e+1,∴切点为(1,e+1),切线斜率k=f′(1)=e-1,即切线方程为y-(e+1)=(e-1)(x-1),即y=(e-1)x+2.
2.已知函数f(x)=xln x+ax2+2,若f′(e)=0,则a=______.
f′(x)=1+ln x+2ax,
3.若f(x)=ln(1-x)+e1-x,则f′(x)=____________.
TANJIUHEXINTIXING
例1 (1)(多选)(2022·济南质检)下列求导运算正确的是
(x2ex)′=(x2+2x)ex,故B错误;
1.函数y=sin 2x-cs 2x的导数y′等于
y′=2cs 2x+2sin 2x
2.(2022·济南模拟)已知函数f′(x)=exsin x+excs x,则f(2 021)-f(0)等于A.e2 021cs 2 021 B.e2 021sin 2 021C. D.e
因为f′(x)=exsin x+excs x,所以f(x)=exsin x+k(k为常数),所以f(2 021)-f(0)=e2 021sin 2 021.
(1)求函数的导数要准确地把函数拆分成基本初等函数的和、差、积、商,再利用运算法则求导.(2)抽象函数求导,恰当赋值是关键,然后活用方程思想求解.(3)复合函数求导,应由外到内逐层求导,必要时要进行换元.
跟踪训练1 (1)若函数f(x),g(x)满足f(x)+xg(x)=x2-1,且f(1)=1,则f′(1)+g′(1)等于A.1 B.2 C.3 D.4
当x=1时,f(1)+g(1)=0,∵f(1)=1,得g(1)=-1,原式两边求导,得f′(x)+g(x)+xg′(x)=2x,当x=1时,f′(1)+g(1)+g′(1)=2,得f′(1)+g′(1)=2-g(1)=2-(-1)=3.
(2)已知函数f(x)=ln(2x-3)+axe-x,若f′(2)=1,则a=___.
∴f′(2)=2+ae-2-2ae-2=2-ae-2=1,则a=e2.
例2 (1)(2021·全国甲卷)曲线y= 在点(-1,-3)处的切线方程为_____________.
所以切线方程为y+3=5(x+1),即5x-y+2=0.
(2)已知函数f(x)=xln x,若直线l过点(0,-1),并且与曲线y=f(x)相切,则直线l的方程为_____________.
∵点(0,-1)不在曲线f(x)=xln x上,∴设切点为(x0,y0).又f′(x)=1+ln x,∴直线l的方程为y+1=(1+ln x0)x.
∴直线l的方程为y=x-1,即x-y-1=0.
命题点2 求参数的值(范围)
例3 (1)(2022·青岛模拟)直线y=kx+1与曲线f(x)=aln x+b相切于点P(1,2),则2a+b等于A.4 B.3 C.2 D.1
∵直线y=kx+1与曲线f(x)=aln x+b相切于点P(1,2),将P(1,2)代入y=kx+1,可得k+1=2,解得k=1,
解得a=1,可得f(x)=ln x+b,∵P(1,2)在曲线f(x)=ln x+b上,∴f(1)=ln 1+b=2,解得b=2,故2a+b=2+2=4.
(2)(2022·广州模拟)过定点P(1,e)作曲线y=aex(a>0)的切线,恰有2条,则实数a的取值范围是__________.
由y′=aex,若切点为(x0, ),则切线方程的斜率k= = >0,∴切线方程为y= (x-x0+1),又P(1,e)在切线上,∴ (2-x0)=e,
令φ(x)=ex(2-x),∴φ′(x)=(1-x)ex,当x∈(-∞,1)时,φ′(x)>0;
当x∈(1,+∞)时,φ′(x)<0,∴φ(x)在(-∞,1)上单调递增,在(1,+∞)上单调递减,∴φ(x)max=φ(1)=e,又x→-∞时,φ(x)→0;x→+∞时,φ(x)→-∞,
解得a>1,即实数a的取值范围是(1,+∞).
1.已知曲线f(x)=x3-x+3在点P处的切线与直线x+2y-1=0垂直,则P点的坐标为A.(1,3) B.(-1,3)C.(1,3)或(-1,3) D.(1,-3)
设切点P(x0,y0),f′(x)=3x2-1,
又切点P(x0,y0)在y=f(x)上,
∴当x0=1时,y0=3;当x0=-1时,y0=3.∴切点P为(1,3)或(-1,3).
2.(2022·哈尔滨模拟)已知M是曲线y=ln x+ x2+(1-a)x上的任一点,若曲线在M点处的切线的倾斜角均是不小于 的锐角,则实数a的取值范围是A.[2,+∞) B.[4,+∞)C.(-∞,2] D.(-∞,4]
故a≤2,所以a的取值范围是(-∞,2].
(1)处理与切线有关的参数问题,关键是根据曲线、切线、切点的三个关系列出参数的方程:①切点处的导数是切线的斜率;②切点在切线上;③切点在曲线上.(2)注意区分“在点P处的切线”与“过点P处的切线”.
跟踪训练2 (1)(2022·南平模拟)若直线y=x+m与曲线y=ex-2n相切,则
设直线y=x+m与曲线y=ex-2n切于点(x0, ),因为y′=ex-2n,所以 =1,所以x0=2n,所以切点为(2n,1),代入直线方程得1=2n+m,
(2)若函数f(x)=ln x+2x2-ax的图象上存在与直线2x-y=0平行的切线,则实数a的取值范围是__________.
直线2x-y=0的斜率k=2,又曲线f(x)上存在与直线2x-y=0平行的切线,
∴a≥4-2=2.∴a的取值范围是[2,+∞).
例4 (1)(2022·邯郸模拟)已知函数f(x)=xln x,g(x)=x2+ax(a∈R),直线l与f(x)的图象相切于点A(1,0),若直线l与g(x)的图象也相切,则a等于A.0 B.-1 C.3 D.-1或3
由f(x)=xln x求导得f′(x)=1+ln x,则f′(1)=1+ln 1=1,于是得函数f(x)在点A(1,0)处的切线l的方程为y=x-1,因为直线l与g(x)的图象也相切,
即关于x的一元二次方程x2+(a-1)x+1=0有两个相等的实数根,因此Δ=(a-1)2-4=0,解得a=-1或a=3,所以a=-1或a=3.
(2)(2022·韶关模拟)若曲线C1:y=ax2(a>0)与曲线C2:y=ex存在公共切线,则a的取值范围为__________.
由y=ax2(a>0),得y′=2ax,由y=ex,得y′=ex,曲线C1:y=ax2(a>0)与曲线C2:y=ex存在公共切线,
与曲线C2切于点(x2, ),
可得2x2=x1+2,
当x∈(0,2)时,f′(x)<0,f(x)单调递减;当x∈(2,+∞)时,f′(x)>0,f(x)单调递增.
延伸探究 在本例(2)中,把“存在公共切线”改为“存在两条公共切线”,则a的取值范围为___________.
由本例(2)知,∵两曲线C1与C2存在两条公共切线,
∴a= 有两个不同的解.
∵函数f(x)= 在(0,2)上单调递减,
又x→0时,f(x)→+∞,x→+∞时,f(x)→+∞,
1.若f(x)=ln x与g(x)=x2+ax两个函数的图象有一条与直线y=x平行的公共切线,则a等于A.1 B.2 C.3 D.3或-1
解得x=1,故切点为(1,0),可求出切线方程为y=x-1,此切线和g(x)=x2+ax也相切,故x2+ax=x-1,化简得到x2+(a-1)x+1=0,只需要满足Δ=(a-1)2-4=0,解得a=-1或a=3.
2.已知曲线y=ex在点(x1, )处的切线与曲线y=ln x在点(x2,ln x2)处的切线相同,则(x1+1)(x2-1)等于A.-1 B.-2 C.1 D.2
已知曲线y=ex在点(x1, )处的切线方程为y- = (x-x1),即
所以(x1+1)(x2-1)=-2.
公切线问题,应根据两个函数在切点处的斜率相等,且切点既在切线上又在曲线上,列出有关切点横坐标的方程组,通过解方程组求解.或者分别求出两函数的切线,利用两切线重合列方程组求解.
跟踪训练3 (1)(2022·青岛模拟)已知定义在区间(0,+∞)上的函数f(x)=-2x2+m,g(x)=-3ln x-x,若以上两函数的图象有公共点,且在公共点处切线相同,则m的值为A.2 B.5 C.1 D.0
根据题意,设两曲线y=f(x)与y=g(x)的公共点为(a,b),其中a>0,由f(x)=-2x2+m,可得f′(x)=-4x,则切线的斜率为k=f′(a)=-4a,
又由g(1)=-1,即公共点的坐标为(1,-1),将点(1,-1)代入f(x)=-2x2+m,可得m=1.
(2)已知f(x)=ex(e为自然对数的底数),g(x)=ln x+2,直线l是f(x)与g(x)的公切线,则直线l的方程为________________.
设直线l与f(x)=ex的切点为(x1,y1),则y1= ,f′(x)=ex,∴f′(x1)= ,∴切点为(x1, ),切线斜率k= ,∴切线方程为y- = (x-x1),即y= ·x-x1 + ,①同理设直线l与g(x)=ln x+2的切点为(x2,y2),∴y2=ln x2+2,
切点为(x2,ln x2+2),
由题意知,①与②相同,
把③代入④有 =-x1+1,即(1-x1)( -1)=0,解得x1=1或x1=0,当x1=1时,切线方程为y=ex;当x1=0时,切线方程为y=x+1,综上,直线l的方程为y=ex或y=x+1.
KESHIJINGLIAN
1.(2022·营口模拟)下列函数的求导正确的是A.(x-2)′=-2xB.(xcs x)′=cs x-xsin xC.(ln 10)′= D.(e2x)′=2ex
(x-2)′=-2x-3,∴A错;(xcs x)′=cs x-xsin x,∴B对;(ln 10)′=0,∴C错;(e2x)′=2e2x,∴D错.
2.(2022·黑龙江哈师大附中月考)曲线y=2cs x+sin x在(π,-2)处的切线方程为A.x-y+π-2=0 B.x-y-π+2=0C.x+y+π-2=0 D.x+y-π+2=0
y′=-2sin x+cs x,当x=π时,k=-2sin π+cs π=-1,所以在点(π,-2)处的切线方程,由点斜式可得y+2=-1×(x-π),化简可得x+y-π+2=0.
3.(2022·长治模拟)已知y=f(x)是可导函数,如图,直线y=kx+2是曲线y=f(x)在x=3处的切线,令g(x)=xf(x),g′(x)是g(x)的导函数,则g′(3)等于A.-1 B.0 C.2 D.4
∵g(x)=xf(x),∴g′(x)=f(x)+xf′(x),∴g′(3)=f(3)+3f′(3),又由题图可知f(3)=1,
4.已知点A是函数f(x)=x2-ln x+2图象上的点,点B是直线y=x上的点,则|AB|的最小值为
当与直线y=x平行的直线与f(x)的图象相切时,切点到直线y=x的距离为|AB|的最小值.
5.设曲线f(x)=aex+b和曲线g(x)=cs +c在它们的公共点M(0,2)处有相同的切线,则b+c-a的值为A.0 B.π C.-2 D.3
∴f′(0)=a,g′(0)=0,∴a=0,又M(0,2)为f(x)与g(x)的公共点,∴f(0)=b=2,g(0)=1+c=2,解得c=1,∴b+c-a=2+1-0=3.
6.(2022·邢台模拟)设点P是函数f(x)=2ex-f′(0)x+f′(1)图象上的任意一点,点P处切线的倾斜角为α,则角α的取值范围是
∵f(x)=2ex-f′(0)x+f′(1),∴f′(x)=2ex-f′(0),∴f′(0)=2-f′(0),f′(0)=1,∴f(x)=2ex-x+f′(1),∴f′(x)=2ex-1>-1.∵点P是曲线上的任意一点,点P处切线的倾斜角为α,∴tan α>-1.∵α∈[0,π),
7.(多选)已知函数f(x)的图象如图,f′(x)是f(x)的导函数,则下列结论正确的是A.f′(3)>f′(2)B.f′(3)
由图知f′(3)
对A,f(x)=-x3+3x+4,f′(x)=-3x2+3,f″(x)=-6x,
对C,f(x)=sin x+cs x,f′(x)=cs x-sin x,
对D,f(x)=xex,f′(x)=(x+1)ex,f″(x)=(x+2)ex,
9.(2022·马鞍山模拟)若曲线f(x)=xcs x在x=π处的切线与直线ax-y+1=0平行,则实数a=____.
因为f(x)=xcs x,所以f′(x)=cs x-xsin x,f′(π)=cs π-π·sin π=-1,因为函数在x=π处的切线与直线ax-y+1=0平行,所以a=f′(π)=-1.
10.已知函数f(x)= +excs x,若f′(0)=-1,则a=____.
∴f′(0)=-a+1=-1,则a=2.
11.(2022·宁波镇海中学质检)我国魏晋时期的科学家刘徽创立了“割圆术”,实施“以直代曲”的近似计算,用正n边形进行“内外夹逼”的办法求出了圆周率π的精度较高的近似值,这是我国最优秀的传统科学文化之一.借用“以直代曲”的近似计算方法,在切点附近,可以用函数图象的切线近似代替在切点附近的曲线来近似计算.设f(x)= ,则f′(x)=______,其在点(0,1)处的切线方程为______.
∵f(x)= ,故f′(x)=(x2)′则f′(0)=0.故曲线y=f(x)在点(0,1)处的切线方程为y=1.
12.已知函数f(x)=x3-ax2+ x(a∈R),若曲线y=f(x)存在两条垂直于y轴的切线,则a的取值范围为______________________.
(-∞,-1)∪(3,+∞)
解得a>3或a<-1,所以a的取值范围是(-∞,-1)∪(3,+∞).
13.拉格朗日中值定理又称拉氏定理,是微积分学中的基本定理之一,它反映了函数在闭区间上的整体平均变化率与区间某点的局部变化率的关系,其具体内容如下:若f(x)在[a,b]上满足以下条件:①在[a,b]上图象连续,②在(a,b)内导数存在,则在(a,b)内至少存在一点c,使得f(b)-f(a)=f′(c)(b-a)(f′(x)为f(x)的导函数).则函数f(x)=xex-1在[0,1]上这样的c点的个数为A.1 B.2 C.3 D.4
函数f(x)=xex-1,则f′(x)=(x+1)ex-1,由题意可知,存在点c∈[0,1],
即(1+c)ec-1=1,
14.(2021·新高考全国Ⅰ)若过点(a,b)可以作曲线y=ex的两条切线,则A.eb方法一 设切点(x0,y0),y0>0,则切线方程为y-b= (x-a),
得 (1-x0+a)=b,则由题意知关于x0的方程 (1-x0+a)=b有两个不同的解.设f(x)=ex(1-x+a),则f′(x)=ex(1-x+a)-ex=-ex(x-a),由f′(x)=0得x=a,
所以当x0,f(x)单调递增,当x>a时,f′(x)<0,f(x)单调递减,所以f(x)max=f(a)=ea(1-a+a)=ea,当x0,所以f(x)>0,当x→-∞时,f(x)→0,当x→+∞时,f(x)→-∞,函数f(x)=ex(1-x+a)的大致图象如图所示,因为f(x)的图象与直线y=b有两个交点,所以0方法二 (用图估算法)过点(a,b)可以作曲线y=ex的两条切线 ,则点(a,b)在曲线y=ex的下方且在x轴的上方,得0∴曲线的切线斜率在[-1,1]范围内,又曲线在两点处的切线互相垂直,
故在A(x1,y1),B(x2,y2)两点处的切线斜率必须一个是1,一个是-1.不妨设在A点处切线的斜率为1,
16.(2022·南昌模拟)已知曲线C1:y=ex+m,C2:y=x2,若恰好存在两条直线l1,l2与C1,C2都相切,则实数m的取值范围是________________.
(-∞,2ln 2-2)
由题意知,l1,l2的斜率存在,设直线l1:y=k1x+b1,l2:y=k2x+b2,设l1与C1,C2的切点坐标分别为(x1,y1),(x2,y2),
同理可得,当直线l2:y=k2x+b2与C1,C2都相切时,
新高考数学一轮复习讲练测课件第3章§3.1导数的概念及其意义、导数的运算 (含解析): 这是一份新高考数学一轮复习讲练测课件第3章§3.1导数的概念及其意义、导数的运算 (含解析),共60页。PPT课件主要包含了落实主干知识,探究核心题型,课时精练,f′x0,αxα-1,cosx,-sinx,axlna,cf′x,yu′·ux′等内容,欢迎下载使用。
2024高考数学总复习教学课件(导与练)第三章 第1节 导数的概念及其意义、导数的运算: 这是一份2024高考数学总复习教学课件(导与练)第三章 第1节 导数的概念及其意义、导数的运算,共40页。PPT课件主要包含了回顾教材夯实四基,f′x0,唯一确定,αxα-1,cosx,-sinx,axlna,y′u·u′x,答案1,答案y5x+2等内容,欢迎下载使用。
高考复习 3.1 导数的概念及其意义、导数的运算课件PPT: 这是一份高考复习 3.1 导数的概念及其意义、导数的运算课件PPT,共42页。PPT课件主要包含了f′x0,切线的斜率,nxn-1,cosx,-sinx,axlna,cf′x,答案C,x+y-5=0,答案B等内容,欢迎下载使用。

