新高考数学一轮复习课件 第3章 §3.1 导数的概念及其意义、导数的运算(含详解)
展开1.了解导数的概念、掌握基本初等函数的导数.2.通过函数图象,理解导数的几何意义.3.能够用导数公式和导数的运算法则求简单函数的导数,能求简单的复合函数 (形如f(ax+b))的导数.
1.导数的概念(1)函数y=f(x)在x=x0处的导数记作 或 .
(2)函数y=f(x)的导函数(简称导数)
2.导数的几何意义函数y=f(x)在x=x0处的导数的几何意义就是曲线y=f(x)在点P(x0,f(x0))处的切线的 ,相应的切线方程为 .
y-f(x0)=f′(x0)(x-x0)
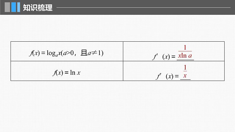
3.基本初等函数的导数公式
4.导数的运算法则若f′(x),g′(x)存在,则有[f(x)±g(x)]′= ;[f(x)g(x)]′= ;
[cf(x)]′= .
f′(x)±g′(x)
f′(x)g(x)+f(x)g′(x)
5.复合函数的定义及其导数复合函数y=f(g(x))的导数与函数y=f(u),u=g(x)的导数间的关系为yx′= ,即y对x的导数等于y对u的导数与u对x的导数的乘积.
1.区分在点处的切线与过点处的切线(1)在点处的切线,该点一定是切点,切线有且仅有一条.(2)过点处的切线,该点不一定是切点,切线至少有一条.
判断下列结论是否正确(请在括号中打“√”或“×”)(1)f′(x0)是函数y=f(x)在x=x0附近的平均变化率.( )(2)与曲线只有一个公共点的直线一定是曲线的切线.( )(3)f′(x0)=[f(x0)]′.( )(4)(cs 2x) ′=-2sin 2x.( )
1.若函数f(x)=3x+sin 2x,则
因为函数f(x)=3x+sin 2x,所以f′(x)=3xln 3+2cs 2x.
又∵f(1)=e+1,∴切点为(1,e+1),切线斜率k=f′(1)=e-1,即切线方程为y-(e+1)=(e-1)(x-1),即y=(e-1)x+2.
3.已知函数f(x)=xln x+ax2+2,若f′(e)=0,则a= .
由题意得f′(x)=1+ln x+2ax,
对于A,[(3x+5)3]′=3(3x+5)2(3x+5)′=9(3x+5)2,故A正确;对于B,(x3ln x)′=(x3)′ln x+x3(ln x)′=3x2ln x+x2,故B正确;
对于D,(2x+cs x)′=(2x)′+(cs x)′=2xln 2-sin x,故D正确.
(2)已知函数f(x)的导函数为f′(x),且满足f(x)=x3+x2f′(1)+2x-1,则f′(2)等于A.1 B.-9 C.-6 D.4
因为f(x)=x3+x2f′(1)+2x-1,所以f′(x)=3x2+2xf′(1)+2,把x=1代入f′(x),得f′(1)=3×12+2f′(1)+2,解得f′(1)=-5,所以f′(x)=3x2-10x+2,所以f′(2)=-6.
(1)求函数的导数要准确地把函数拆分成基本初等函数的和、差、积、商,再利用运算法则求导.(2)抽象函数求导,恰当赋值是关键,然后活用方程思想求解.(3)复合函数求导,应由外到内逐层求导,必要时要进行换元.
f(x)=sin(2x+3),f′(x)=cs(2x+3)·(2x+3)′=2cs(2x+3),故A正确;f(x)=e-2x+1,则f′(x)=-2e-2x+1,故B错误;
f(x)=xln x,f′(x)=(x)′ln x+x(ln x)′=ln x+1,故D正确.
命题点1 求切线方程例2 (1)(2023·大同模拟)已知函数f(x)=2e2ln x+x2,则曲线y=f(x)在点(e,f(e))处的切线方程为A.4ex-y+e2=0 B.4ex-y-e2=0C.4ex+y+e2=0 D.4ex+y-e2=0
所以f(e)=2e2ln e+e2=3e2,f′(e)=4e,所以曲线y=f(x)在点(e,f(e))处的切线方程为y-3e2=4e(x-e),即4ex-y-e2=0.
(2)(2022·新高考全国Ⅱ)曲线y=ln|x|过坐标原点的两条切线的方程为_______,_________.
先求当x>0时,曲线y=ln x过原点的切线方程,设切点为(x0,y0),
解得y0=1,代入y=ln x,得x0=e,
命题点2 求参数的值(范围)例3 (1)(2022·重庆模拟)已知a为非零实数,直线y=x+1与曲线y=aln(x+1)相切,则a=_____.
(2)(2022·新高考全国Ⅰ)若曲线y=(x+a)ex有两条过坐标原点的切线,则a的取值范围是 .
(-∞,-4)∪(0,+∞)
因为y=(x+a)ex,所以y′=(x+a+1)ex.
设切点为A(x0,(x0+a) ),O为坐标原点,
因为曲线y=(x+a)ex有两条过坐标原点的切线,
所以Δ=a2+4a>0,解得a<-4或a>0,所以a的取值范围是(-∞,-4)∪(0,+∞).
(1)处理与切线有关的问题,关键是根据曲线、切线、切点的三个关系列出参数的方程:①切点处的导数是切线的斜率;②切点在切线上;③切点在曲线上.(2)注意区分“在点P处的切线”与“过点P的切线”.
跟踪训练2 (1)曲线f(x)= 在(0,f(0))处的切线方程为A.y=3x-2 B.y=3x+2C.y=-3x-2 D.y=-3x+2
所以f′(0)=3,f(0)=-2,所以曲线f(x)在(0,f(0))处的切线方程为y-(-2)=3(x-0),即y=3x-2.
例4 (1)若直线l:y=kx+b(k>1)为曲线f(x)=ex-1与曲线g(x)=eln x的公切线,则l的纵截距b等于A.0 B.1C.e D.-e
设l与f(x)的切点为(x1,y1),则由f′(x)=ex-1,得l:y= +(1-x1) .同理,设l与g(x)的切点为(x2,y2),
因为k>1,所以l:y=x不成立,故b=-e.
(2)(2023·晋中模拟)若两曲线y=ln x-1与y=ax2存在公切线,则正实数a的取值范围是
设公切线与曲线y=ln x-1和y=ax2的切点分别为(x1,ln x1-1),(x2,ax),其中x1>0,
令g(x)=2x2-x2ln x,则g′(x)=3x-2xln x=x(3-2ln x),
令g′(x)=0,得x= ,
当x∈(0, )时,g′(x)>0,g(x)单调递增;
当x∈( ,+∞)时,g′(x)<0,g(x)单调递减,
公切线问题,应根据两个函数在切点处的斜率相等,且切点既在切线上又在曲线上,列出有关切点横坐标的方程组,通过解方程组求解.或者分别求出两函数的切线,利用两切线重合列方程组求解.
跟踪训练3 (1)已知定义在(0,+∞)上的函数f(x)=x2-m,h(x)=6ln x-4x,设两曲线y=f(x)与y=h(x)在公共点处的切线相同,则m等于A.-3 B.1C.3 D.5
依题意,设曲线y=f(x)与y=h(x)在公共点(x0,y0)处的切线相同.∵f(x)=x2-m,h(x)=6ln x-4x,
∵x0>0,∴x0=1,m=5.
(2)已知f(x)=ex-1,g(x)=ln x+1,则f(x)与g(x)的公切线有A.0条 B.1条C.2条 D.3条
根据题意,设直线l与f(x)=ex-1相切于点(m,em-1) ,与g(x)相切于点(n,ln n+1)(n>0),对于f(x)=ex-1,f′(x)=ex,则k1=em,则直线l的方程为y+1-em=em(x-m) ,即y=emx+em(1-m)-1,
可得(1-m)(em-1)=0,即m=0或m=1,则切线方程为y=ex-1 或y=x,故f(x)与g(x)的公切线有两条.
1.(2023·广州模拟)曲线y=x3+1在点(-1,a)处的切线方程为A.y=3x+3 B.y=3x+1C.y=-3x-1 D.y=-3x-3
因为f′(x)=3x2,所以f′(-1)=3,又当x=-1时,a=(-1)3+1=0,所以y=x3+1在点(-1,a)处的切线方程为y=3(x+1),即y=3x+3.
2.记函数f(x)的导函数为f′(x).若f(x)=exsin 2x,则f′(0)等于A.2 B.1 C.0 D.-1
因为f(x)=exsin 2x,则f′(x)=ex(sin 2x+2cs 2x),所以f′(0)=e0(sin 0+2cs 0)=2.
3.(2022·广西三市联考)设函数f(x)在R上存在导函数f′(x),f(x)的图象在点M(1,f(1))处的切线方程为y= +2,那么f(1)+f′(1)等于A.1 B.2 C.3 D.4
4.已知函数f(x)=xln x,若直线l过点(0,-e),且与曲线y=f(x)相切,则直线l的斜率为A.-2 B.2 C.-e D.e
设切点坐标为(t,tln t),∵f(x)=xln x,∴f′(x)=ln x+1,直线l的斜率为f′(t)=ln t+1,∴直线l的方程为y-tln t=(ln t+1)(x-t),将点(0,-e)的坐标代入直线l的方程得-e-tln t=-t(ln t+1),解得t=e,∴直线l的斜率为f′(e)=2.
设直线y=kx与函数f(x),g(x)的图象相切的切点分别为A(m,km),B(n,kn).
6.(多选)定义方程f(x)=f′(x)的实数根x0叫做函数f(x)的“新不动点”,则下列函数中只有一个“新不动点”的是A.g(x)=x·2xB.g(x)=-ex-2xC.g(x)=ln xD.g(x)=sin x+2cs x
对于A,g′(x)=2x+x·2x·ln 2,由x·2x=2x+x·2x·ln 2,
∴g(x)只有一个“新不动点”,故A正确;对于B,g′(x)=-ex-2,由-ex-2=-ex-2x,得x=1,∴g(x)只有一个“新不动点”,故B正确;
∴g(x)只有一个“新不动点”,故C正确;对于D,g′(x)=cs x-2sin x,由sin x+2cs x=cs x-2sin x,得3sin x=-cs x,
∴g(x)有无数个“新不动点”,故D错误.
7.写出一个同时具有性质:①f(x1x2)=f(x1)+f(x2),②当x∈(0,+∞)时,f′(x)>0的函数f(x)= .
ln x(答案不唯一)
若函数f(x)=ln x,则f(x1x2)=ln(x1x2)=ln x1+ln x2=f(x1)+f(x2),满足①;
8.已知函数f(x)=x(x-1)(x-2)(x-3)(x-4)·(x-5),则f′(3)=_____.
由题意得,f′(x)=x(x-1)(x-2)(x-4)(x-5)+(x-3)[x(x-1)(x-2)(x-4)(x-5)]′,所以f′(3)=3×(3-1)×(3-2)×(3-4)×(3-5)+0=12.
9.已知函数f(x)的导函数为f′(x),且满足f(x)=2xf′(e)+ln x.(1)求f′(e)及f(e)的值;
∵f(x)=2xf′(e)+ln x,
(2)求f(x)在点(e2,f(e2))处的切线方程.
即(2e-1)x+e2y-e2=0.
10.(2022·全国甲卷)已知函数f(x)=x3-x,g(x)=x2+a,曲线y=f(x)在点(x1,f(x1))处的切线也是曲线y=g(x)的切线.(1)若x1=-1,求a;
当x1=-1时,f(-1)=0,所以切点坐标为(-1,0).由f(x)=x3-x,得f′(x)=3x2-1,所以切线斜率k=f′(-1)=2,所以切线方程为y=2(x+1),即y=2x+2.将y=2x+2代入y=x2+a,得x2-2x+a-2=0.
由切线与曲线y=g(x)也相切,得Δ=(-2)2-4(a-2)=0,解得a=3.
(2)求a的取值范围.
令h(x)=9x4-8x3-6x2+1.
则h′(x)=36x3-24x2-12x=12x(3x+1)(x-1).
当x变化时,h′(x),h(x)的变化如表所示,
当x=1时,h(x)取得极小值h(1)=-4,易知当x→-∞时,h(x)→+∞,当x→+∞时,h(x)→+∞,所以函数h(x)的值域为[-4,+∞),所以由4a∈[-4,+∞),得a∈[-1,+∞),故实数a的取值范围为[-1,+∞).
11.已知曲线y=ex在点(x1, )处的切线与曲线y=ln x在点(x2,ln x2)处的切线相同,则(x1+1)(x2-1)等于A.-1 B.-2C.1 D.2
已知曲线y=ex在点(x1, )处的切线方程为y- = (x-x1),即y= x- x1+ ,
解得x2= ,
- x1=-1+ln x2
=-1+ =-1-x1,
又x2= ,
所以(x1+1)(x2-1)=-2.
因为a,b为正实数,所以a∈(0,2),
则函数g(a)在(0,2)上单调递增,所以0=g(0)
因为x2 022=a0+a1(x-1)+a2(x-1)·(x-2)+…+a2 022(x-1)(x-2)…(x-2 022),则令x=1,可得a0=1.对x2 022=a0+a1(x-1)+a2(x-1)(x-2)+…+a2 022(x-1)(x-2)…(x-2 022)两边求导可得2 022x2 021=a1+a2[(x-1)(x-2)]′+…+a2 022[(x-1)(x-2)…(x-2 022)]′,令fn(x)=(x-1)(x-2)…(x-n),
2025年高考数学一轮复习-4.1-导数的概念及其意义、导数的运算【课件】: 这是一份2025年高考数学一轮复习-4.1-导数的概念及其意义、导数的运算【课件】,共60页。PPT课件主要包含了命题说明,必备知识·逐点夯实,cosx,-sinx,axlna,cfx,fgx,yu·ux,基础诊断·自测,核心考点·分类突破等内容,欢迎下载使用。
新高考数学一轮复习讲练测课件第3章§3.1导数的概念及其意义、导数的运算 (含解析): 这是一份新高考数学一轮复习讲练测课件第3章§3.1导数的概念及其意义、导数的运算 (含解析),共60页。PPT课件主要包含了落实主干知识,探究核心题型,课时精练,f′x0,αxα-1,cosx,-sinx,axlna,cf′x,yu′·ux′等内容,欢迎下载使用。
高考复习 3.1 导数的概念及其意义、导数的运算课件PPT: 这是一份高考复习 3.1 导数的概念及其意义、导数的运算课件PPT,共42页。PPT课件主要包含了f′x0,切线的斜率,nxn-1,cosx,-sinx,axlna,cf′x,答案C,x+y-5=0,答案B等内容,欢迎下载使用。

