高中数学高考第1讲 绝对值不等式(1)
展开第1讲 绝对值不等式
1.设函数f(x)=|2x+1|-|x-4|.
(1)解不等式f(x)>2;
(2)求函数y=f(x)的最小值.
解 (1)法一 令2x+1=0,x-4=0分别得x=-,x=4.
原不等式可化为:
或或
即或或
∴x<-7或x>.
∴原不等式的解集为.
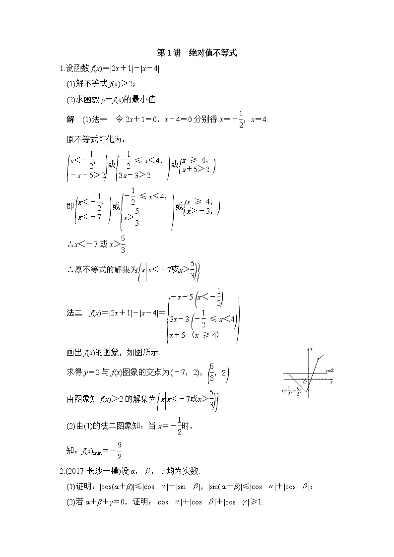
法二 f(x)=|2x+1|-|x-4|=
画出f(x)的图象,如图所示.
求得y=2与f(x)图象的交点为(-7,2),.
由图象知f(x)>2的解集为.
(2)由(1)的法二图象知:当x=-时,
知:f(x)min=-.
2.(2017·长沙一模)设α,β,γ均为实数.
(1)证明:|cos(α+β)|≤|cos α|+|sin β|,|sin(α+β)|≤|cos α|+|cos β|;
(2)若α+β+γ=0,证明:|cos α|+|cos β|+|cos γ|≥1.
证明 (1)|cos(α+β)|=|cos αcos β-sin αsin β|≤
|cos αcos β|+|sin αsin β|≤|cos α|+|sin β|;
|sin(α+β)|=|sin αcos β+cos αsin β|≤|sin αcos β|+
|cos αsin β|≤|cos α|+|cos β|.
(2)由(1)知,|cos[α+(β+γ)]|≤|cos α|+|sin(β+γ)|≤|cos α|+|cos β|+
|cos γ|,
而α+β+γ=0,故|cos α|+|cos β|+|cos γ|≥1.
3.(2016·镇江模拟)已知a和b是任意非零实数.
(1)求的最小值;
(2)若不等式|2a+b|+|2a-b|≥|a|(|2+x|+|2-x|)恒成立,求实数x的取值范围.
解 (1)∵≥==4,∴的最小值为4.
(2)若不等式|2a+b|+|2a-b|≥|a|(|2+x|+|2-x|)恒成立,即|2+x|+|2-x|≤恒成立,
故|2+x|+|2-x|≤.
由(1)可知,的最小值为4.
∴x的取值范围即为不等式|2+x|+|2-x|≤4的解集.
解不等式得-2≤x≤2.
故实数x的取值范围为[-2,2].
4.(2017·广州二测)已知函数f(x)=log2(|x+1|+|x-2|-a).
(1)当a=7时,求函数f(x)的定义域;
(2)若关于x的不等式f(x)≥3的解集是R,求实数a的最大值.
解 (1)由题设知|x+1|+|x-2|>7,
①当x>2时,得x+1+x-2>7,解得x>4.
②当-1≤x≤2时,得x+1+2-x>7,无解.
③当x<-1时,得-x-1-x+2>7,解得x<-3.
∴函数f(x)的定义域为(-∞,-3)∪(4,+∞).
(2)不等式f(x)≥3,
即|x+1|+|x-2|≥a+8,
∵当x∈R时,
恒有|x+1|+|x-2|≥|(x+1)-(x-2)|=3,
又不等式|x+1|+|x-2|≥a+8的解集是R,
∴a+8≤3,即a≤-5,
∴a的最大值为-5.
5.设函数f(x)=2|x-1|+x-1,g(x)=16x2-8x+1.记f(x)≤1的解集为M,g(x)≤4的解集为N.
(1)求M;
(2)当x∈(M∩N)时,证明:x2f(x)+x[f(x)]2≤.
(1)解 f(x)=
当x≥1时,由f(x)=3x-3≤1,
得x≤,故1≤x≤;
当x<1时,
由f(x)=1-x≤1得x≥0,故0≤x<1.
所以f(x)≤1的解集为M={x|0≤x≤}.
(2)证明 由g(x)=16x2-8x+1≤4得16≤4,解得-≤x≤.因此N=,
故M∩N=.
当x∈(M∩N)时,f(x)=1-x,于是
x2f(x)+x·[f(x)]2=xf(x)[x+f(x)]=x·f(x)=x(1-x)=-≤.
6.(2017·郑州模拟)已知函数f(x)=|2x-a|+|2x+3|,g(x)=|x-1|+2.
(1)解不等式:|g(x)|<5;
(2)若对任意的x1∈R,都有x2∈R,使得f(x1)=g(x2)成立,求实数a的取值范围.
解 (1)由||x-1|+2|<5,得-5<|x-1|+2<5,
所以-7<|x-1|<3,
解不等式得-2<x<4,
所以原不等式的解集是{x|-2<x<4}.
(2)因为对任意的x1∈R,都有x2∈R,使得f(x1)=g(x2)成立,所以{y|y=f(x)}⊆{y|y=g(x)},
又f(x)=|2x-a|+|2x+3|≥|2x-a-(2x+3)|=|a+3|,g(x)=|x-1|+2≥2,所以|a+3|≥2,
解得a≥-1或a≤-5,
所以实数a的取值范围是{a|a≥-1或a≤-5}.
高中数学高考第1节 绝对值不等式 课件练习题: 这是一份高中数学高考第1节 绝对值不等式 课件练习题,共48页。PPT课件主要包含了第一节绝对值不等式,a+b,ab≥0,x-a<x<a,-c≤ax+b≤c,点击右图进入等内容,欢迎下载使用。
高中数学高考第1讲 集 合: 这是一份高中数学高考第1讲 集 合,共4页。试卷主要包含了选择题,填空题等内容,欢迎下载使用。
高中数学高考80第十三章 系列4选讲13 2 不等式选讲 第1课时 绝对值不等式: 这是一份高中数学高考80第十三章 系列4选讲13 2 不等式选讲 第1课时 绝对值不等式,共9页。试卷主要包含了绝对值不等式的解法,含有绝对值的不等式的性质等内容,欢迎下载使用。

