高中数学高考58第九章 平面解析几何 高考专题突破5 第2课时 定点与定值问题课件PPT
展开NEIRONGSUOYIN
题型分类 深度剖析
解 设椭圆的焦距为2c,由题意知b=1,且(2a)2+(2b)2=2(2c)2,又a2=b2+c2,∴a2=3.
(2)若λ1+λ2=-3,试证明:直线l过定点,并求此定点.
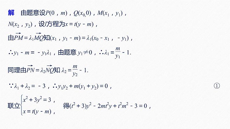
解 由题意设P(0,m),Q(x0,0),M(x1,y1),N(x2,y2),设l方程为x=t(y-m),
∵λ1+λ2=-3,∴y1y2+m(y1+y2)=0, ①
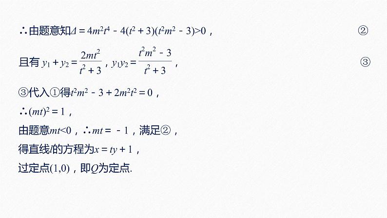
∴由题意知Δ=4m2t4-4(t2+3)(t2m2-3)>0, ②
③代入①得t2m2-3+2m2t2=0,∴(mt)2=1,由题意mt<0,∴mt=-1,满足②,得直线l的方程为x=ty+1,过定点(1,0),即Q为定点.
圆锥曲线中定点问题的两种解法(1)引进参数法:引进动点的坐标或动线中系数为参数表示变化量,再研究变化的量与参数何时没有关系,找到定点.(2)特殊到一般法:根据动点或动线的特殊情况探索出定点,再证明该定点与变量无关.
(2)斜率为k的直线l与椭圆C交于两个不同的点M,N.①若直线l过原点且与坐标轴不重合,E是直线3x+3y-2=0上一点,且△EMN是以E为直角顶点的等腰直角三角形,求k的值;
解 直线y=kx(k≠0)代入椭圆方程,可得(1+2k2)x2=4,
由E是3x+3y-2=0上一点,
因为△EMN是以E为直角顶点的等腰直角三角形,所以OE⊥MN,|OM|=d,
②若M是椭圆的左顶点,D是直线MN上一点,且DA⊥AM,点G是x轴上异于点M的点,且以DN为直径的圆恒过直线AN和DG的交点,求证:点G是定点.
证明 由M(-2,0),可得直线MN的方程为y=k(x+2)(k≠0),代入椭圆方程可得(1+2k2)x2+8k2x+8k2-4=0,
设G(t,0)(t≠-2),由题意可得D(2,4k),A(2,0),以DN为直径的圆恒过直线AN和DG的交点,
故点G是定点,即为原点(0,0).
例2 如图,已知抛物线C:x2=4y,过点M(0,2)任作一直线与C相交于A,B两点,过点B作y轴的平行线与直线AO相交于点D(O为坐标原点).(1)证明:动点D在定直线上;
证明 依题意,直线AB的斜率存在,可设AB方程为y=kx+2,代入x2=4y,得x2=4(kx+2),即x2-4kx-8=0.显然Δ>0恒成立,设A(x1,y1),B(x2,y2),则有x1x2=-8.
BD的方程为x=x2.
因此D点在定直线y=-2上(x≠0).
(2)作C的任意一条切线l(不含x轴),与直线y=2相交于点N1,与(1)中的定直线相交于点N2,证明:|MN2|2-|MN1|2为定值,并求此定值.
解 依题设,切线l的斜率存在且不等于0,设切线l的方程为y=ax+b(a≠0),代入x2=4y得x2=4(ax+b),即x2-4ax-4b=0.由Δ=0得(4a)2+16b=0,化简整理得b=-a2.故切线l的方程可写为y=ax-a2.分别令y=2,y=-2得N1,N2的坐标为
即|MN2|2-|MN1|2为定值8.
圆锥曲线中的定值问题的常见类型及解题策略(1)求代数式为定值.依题意设条件,得出与代数式参数有关的等式,代入代数式、化简即可得出定值.(2)求点到直线的距离为定值.利用点到直线的距离公式得出距离的解析式,再利用题设条件化简、变形求得.(3)求某线段长度为定值.利用长度公式求得解析式,再依据条件对解析式进行化简、变形即可求得.
由余弦定理,得|F1F2|2=|MF1|2+|MF2|2-2|MF1||MF2|·cs 60°=(|MF1|+|MF2|)2-2|MF1||MF2|(1+cs 60°),
由|F1F2|=4得c=2,从而b=2,
(2)设N(0,2),过点P(-1,-2)作直线l,交椭圆C于异于N的A,B两点,直线NA,NB的斜率分别为k1,k2,证明:k1+k2为定值.
证明 当直线l的斜率存在时,设斜率为k,显然k≠0,则其方程为y+2=k(x+1),
Δ=56k2+32k>0,设A(x1,y1),B(x2,y2),
当直线l的斜率不存在时,
得k1+k2=4.综上,k1+k2为定值.
数学运算是指在明晰运算对象的基础上,依据运算法则解决数学问题的过程.主要包括:理解运算对象,掌握运算法则,探究运算方向,选择运算方法,设计运算程序,求得运算结果等.
HEXINSUYANGZHISHUXUEYUNSUAN
直线与圆锥曲线的综合问题
(2)点P是椭圆C上除长轴端点外的任一点,连接PF1,PF2,设∠F1PF2的角平分线PM交C的长轴于点M(m,0),求m的取值范围;
解 设P(x0,y0)(y0≠0),
所以直线PF1,PF2的方程分别为
(3)在(2)的条件下,过点P作斜率为k的直线l,使得l与椭圆C有且只有一个公共点,设直线PF1,PF2的斜率分别为k1,k2,若k2≠0,证明 为定值,并求出这个定值.
解 设P(x0,y0)(y0≠0),则直线l的方程为y-y0=k(x-x0).
素养提升 典例的解题过程体现了数学运算素养,其中设出P点的坐标而不求解又体现了数学运算素养中的一个运算技巧——设而不求,从而简化了运算过程.
1.(2018·相阳教育模拟)设F1,F2为椭圆C: =1(b>0)的左、右焦点,M为椭圆上一点,满足MF1⊥MF2,已知△MF1F2的面积为1.(1)求C的方程;
解 由椭圆定义得|MF1|+|MF2|=4, ①由垂直得|MF1|2+|MF2|2=|F1F2|2=4(4-b2), ②
(2)设C的上顶点为H,过点(2,-1)的直线与椭圆交于R,S两点(异于H),求证:直线HR和HS的斜率之和为定值,并求出这个定值.
解 依题意,H(0,1),显然直线的斜率存在且不为0,设直线RS的方程为y=kx+m(k≠0),代入椭圆方程化简得(4k2+1)x2+8kmx+4m2-4=0.由题意知,Δ=16(4k2-m2+1)>0,设R(x1,y1),S(x2,y2),x1x2≠0,
故kHR+kHS为定值-1.
2.(2018·威海模拟)已知抛物线C:y2=2px(p>0)的焦点F,直线y=4与y轴的交点为P,与抛物线C的交点为Q,且|QF|=2|PQ|.(1)求p的值;
(2)已知点T(t,-2)为C上一点,M,N是C上异于点T的两点,且满足直线TM和直线TN的斜率之和为 ,证明:直线MN恒过定点,并求出定点的坐标.
解 由(1)知C的方程为y2=8x,
设直线MN的方程为x=my+n,
Δ=64m2+32n>0,所以y1+y2=8m,y1y2=-8n,
解得n=m-1.所以直线MN的方程为x+1=m(y+1),恒过定点(-1,-1).
3.(2018·益阳调研)已知抛物线C1的方程为x2=2py(p>0),过点M(a,-2p)(a为常数)作抛物线C1的两条切线,切点分别为A,B.(1)过焦点且在x轴上截距为2的直线l与抛物线C1交于Q,N两点,Q,N两点在x轴上的射影分别为Q′,N′,且|Q′N′|= ,求抛物线C1的方程;
显然Δ>0恒成立,设点Q(xQ,yQ),N(xN,yN),
则|Q′N′|=|xQ-xN|
解得p=2.所以抛物线C1的方程为x2=4y.
(2)设直线AM,BM的斜率分别为k1,k2.求证:k1·k2为定值.
证明 设点A(x1,y1),B(x2,y2)(x1>0,x2<0).
又点M(a,-2p)在直线MA上,
因此,x1,x2是方程x2-2ax-4p2=0的两根,则x1+x2=2a,x1x2=-4p2.
故k1·k2为定值得证.
4.(2018·南昌检测)已知中心在原点,焦点在x轴上的椭圆C的离心率为 ,过左焦点F且垂直于x轴的直线交椭圆C于P,Q两点,且|PQ|= .(1)求C的方程;
所以b2=4,a2=2b2=8,
(2)若直线l是圆x2+y2=8上的点(2,2)处的切线,点M是直线l上任一点,过点M作椭圆C的切线MA,MB,切点分别为A,B,设切线的斜率都存在.求证:直线AB过定点,并求出该定点的坐标.
解 依题设,得直线l的方程为y-2=-(x-2),即x+y-4=0,设M(x0,y0),A(x1,y1),B(x2,y2),x0≠x1且x0≠x2,
得(2k2+1)x2+4k(y1-kx1)x+2(y1-kx1)2-8=0,由相切得Δ=16k2(y1-kx1)2-8(2k2+1)[(y1-kx1)2-4]=0,化简得(y1-kx1)2=8k2+4,
即x1x+2y1y=8,同理,切线MB的方程为x2x+2y2y=8,又因为两切线都经过点M(x0,y0),
所以直线AB的方程为x0x+2y0y=8,
又x0+y0=4,所以直线AB的方程可化为x0x+2(4-x0)y=8,即x0(x-2y)+8y-8=0,
所以直线AB恒过定点(2,1).
(2)设直线l与椭圆C相交于A,B两点,若以AB为直径的圆经过坐标原点,证明:点O到直线AB的距离为定值.
证明 设A(x1,y1),B(x2,y2),①当直线AB的斜率不存在时,由椭圆的对称性,可知x1=x2,y1=-y2.
②当直线AB的斜率存在时,设直线AB的方程为y=kx+m,
消去y,得(1+4k2)x2+8kmx+4m2-4=0,
因为以AB为直径的圆过坐标原点O,所以OA⊥OB,
所以(1+k2)x1x2+km(x1+x2)+m2=0,
整理得5m2=4(k2+1),
(1)求椭圆C的方程;
证明 由|MA|=|MB|,知M在线段AB的垂直平分线上,由椭圆的对称性知点A,B关于原点对称.①若点A,B是椭圆的短轴顶点,则点M是椭圆的一个长轴顶点,
同理,若点A,B是椭圆的长轴顶点,则点M是椭圆的一个短轴顶点,
②若点A,B,M不是椭圆的顶点,设直线l的方程为y=kx(k≠0),
高中数学高考第8讲 第2课时 圆锥曲线中的定值、定点与存在性问题课件PPT: 这是一份高中数学高考第8讲 第2课时 圆锥曲线中的定值、定点与存在性问题课件PPT,共34页。PPT课件主要包含了word部分,点击进入链接等内容,欢迎下载使用。
高中数学高考2022届高考数学一轮复习(新高考版) 第8章 高考专题突破五 第2课时 定点与定值问题课件PPT: 这是一份高中数学高考2022届高考数学一轮复习(新高考版) 第8章 高考专题突破五 第2课时 定点与定值问题课件PPT,共53页。PPT课件主要包含了答题模板,题型一定点问题,规范解答,∴直线CD的方程为,12分,题型二定值问题,1求C的方程,将①代入上式,课时精练,解得a=2等内容,欢迎下载使用。
高中数学高考64第九章 平面解析几何 高考专题突破五 第2课时 定点与定值问题课件PPT: 这是一份高中数学高考64第九章 平面解析几何 高考专题突破五 第2课时 定点与定值问题课件PPT,共60页。PPT课件主要包含了内容索引,课时作业,题型分类深度剖析,题型一定点问题,题型二定值问题等内容,欢迎下载使用。

