高中数学高考 2021届高三大题优练2 数列 学生版
展开
这是一份高中数学高考 2021届高三大题优练2 数列 学生版,共17页。试卷主要包含了已知数列的前n项和为,,,且,已知递增的等比数列满足等内容,欢迎下载使用。
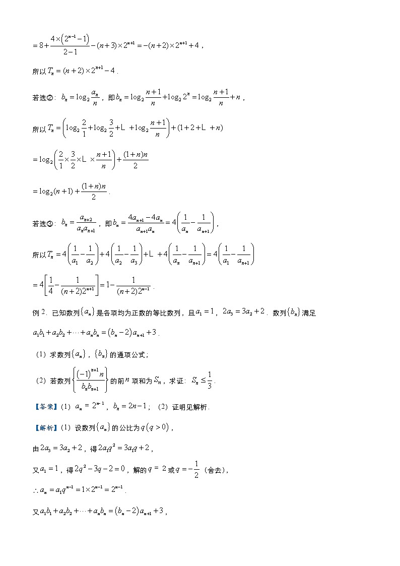
例1.已知数列的前n项和为,,,且.(1)证明:是等比数列,并求的通项公式;(2)在①;②;③,这三个条件中任选一个补充在下面横线上,并加以解答.已知数列满足________,求的前n项和.注:如果选择多个方案分别解答,按第一个方案解答计分.【答案】(1)证明见解析,;(2)答案见解析.【解析】(1)当时,因为,所以,两式相减得,所以.当时,因为,所以,又,故,于是,所以是以4为首项,2为公比的等比数列.所以,两边除以,得.又,所以是以2为首项,1为公差的等差数列,所以,即.(2)若选①:,即,因为,所以.两式相减得,所以.若选②:,即,所以.若选③:,即,所以.例2.已知数列是各项均为正数的等比数列,且,.数列满足.(1)求数列,的通项公式;(2)若数列的前项和为,求证:.【答案】(1),;(2)证明见解析.【解析】(1)设数列的公比为,由,得,又,得,解的或(舍去),∴.又,∴,即,得.当时,,得,∴,即,∴数列是以1为首项,2为公差的等差数列,故.(2)由(1),记,则,由,可知.当为奇数时,;当为偶数时,,综上所述,.例3.如图,在平面直角坐标系中,已知个圆、、、与轴和直线均相切,且任意相邻两圆外切,其中圆.(1)求数列的通项公式;(2)记个圆的面积之和为,求证:.【答案】(1);(2)证明见解析.【解析】(1)直线的倾斜角为,则直线的倾斜角为,且直线过点,在直线上,,如下图所示:设圆、分别切轴于点、,过点作,垂足为点,则,其中,,,,可得,,则,为等比数列且首项为,公比为,.(2).
1.已知等差数列的公差为,前项和为,且.(1)求公差的值;(2)若,是数列的前项和,求使不等式成立的的最小值. 2.已知数列的前项和.(1)求数列的通项公式;(2)若数列满足,求数列的前项和. 3.已知数列的前项和为,若(),且的最大值为25.(1)求的值及通项公式;(2)求数列的前项和. 4.已知数列是递增的等比数列,前3项和为13,且,,成等差数列.(1)求数列的通项公式;(2)数列的首项,其前项和为,且 ,若数列满足,的前项和为,求的最小值.在如下三个条件中任意选择一个,填入上面横线处,并根据题意解决问题.①;②;③. 5.已知递增的等比数列满足:,.(1)求的前n项和;(2)设,求数列的前项和. 6.已知数列为各项非零的等差数列,其前项和为,满足.(1)求数列的通项公式;(2)记,求数列的前项和. 7.已知为等差数列,数列的前和为,,,___________.在①,②这两个条件中任选其中一个,补充在上面的横线上,并完成下面问题的解答(如果选择多个条件分别解答,按第一个解答计分).(1)求数列和的通项公式;(2)求数列的前项和. 8.已知正项等比数列,满足,是与的等差中项.(1)求数列的通项公式;(2)设,求数列的前n项和.
1.【答案】(1);(2)5.【解析】(1)由,即,化简得,解得.(2)由,,得,所以,所以,由,解得,所以n的最小值为5.2.【答案】(1);(2).【解析】(1),当时,,即,当时,,,,验证知,当时,也成立.综上,.(2)据(1)求解知,.又,,,数列的前项和,①,②①-②,得,,.3.【答案】(1),();(2).【解析】(1)由题可得,,所以当为偶数时,,解得;当为奇数时,,此时无整数解,综上可得:,.①时,.②当时,,当时也成立.综上可得:,所以,().(2),①②两式相减得,,则,则.4.【答案】(1);(2)答案见解析.【解析】(1)设数列的公比为,则由前3项和为13,且,,成等差数列,得,所以,所以,即,解得或,又因为是递增的等比数列,所以,所以,所以,所以.(2)选择①因为,所以,两式相减得,即,所以,所以数列是以为首项,为公比的等比数列,故,因此,因为恒成立,即,,,…,所以.选择②由知是以为首项,2为公差的等差数列,所以,所以,因为,即,,,…,所以.选择③由知是以为首项,为公比的等比数列,所以,所以,所以,当n为奇数时,由于,故;当n为偶数时,由于,故,由在n为偶数时单调递增,所以当时,,综上所述:的最小值为.5.【答案】(1);(2).【解析】(1)由题可知,,由递增的等比数列或(舍),所以.(2)由(1)知,所以,所以数列的前项和,数列的前项和.6.【答案】(1);(2).【解析】(1),,.(2),当为偶数时,;当为奇数时,,所以.7.【答案】条件选择见解析;(1),;(2).【解析】选①解:(1)设等差数列的公差为,,,,,,,由,得,当时,,即,所以是一个以2为首项,2为公比的等比数列,.(2)由(1)知,,,.选②解:(1)设等差数列的公差为,,,,,,.,,,令,得,即,,.(2)解法同选①的第(2)问解法相同.8.【答案】(1);(2).【解析】(1)设等比数列的公比为,因为是与的等差中项,所以,解得或(舍去),因为数列为正项数列,所以,所以,因为,所以,又因为,所以,所以.(2)由(1)得,所以,因为,所以,所以,当为偶数时,,;当为奇数时,,,所以.
相关试卷
这是一份高中数学高考 2021届高三大题优练2 数列(文) 学生版(1),共15页。试卷主要包含了已知正项等比数列的前项和为,,,在①已知数列满足,已知数列的前项和是,且满足,已知数列中,,其中,且等内容,欢迎下载使用。
这是一份高中数学高考 2021届高三大题优练2 数列(文) 教师版(1),共11页。试卷主要包含了已知正项等比数列的前项和为,,,在①已知数列满足,已知数列的前项和是,且满足,已知数列中,,其中,且等内容,欢迎下载使用。
这是一份高中数学高考 2021届高三大题优练1 数列(理) 学生版(1),共17页。试卷主要包含了已知数列对任意的都满足等内容,欢迎下载使用。

