2023届高考数学二轮总复习(新高考新教材)(四)压轴大题抢分练2(Word版附解析)
展开
这是一份2023届高考数学二轮总复习(新高考新教材)(四)压轴大题抢分练2(Word版附解析),共4页。试卷主要包含了已知椭圆C1,∵四边形AQPR为平行四边形,等内容,欢迎下载使用。
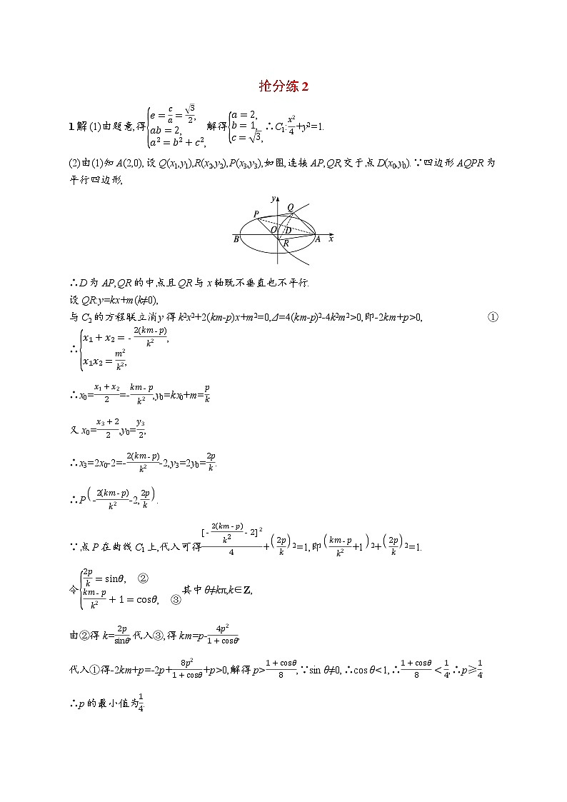
抢分练2(时间:30分钟,满分:24分)1.(12分)已知椭圆C1:=1(a>b>0)的离心率为,且ab=2.(1)求椭圆C1的方程;(2)已知B,A分别为椭圆C1的左、右顶点,P为椭圆C1上不同于A,B的任一点,在抛物线C2:y2=2px(p>0)上存在两点Q,R,使得四边形AQPR为平行四边形,求p的最小值. 2.(12分)(2022·广东二模)已知函数f(x)=xenx-nx(n∈N*且n≥2)的图象与x轴交于P,Q两点,且点P在点Q的左侧.(1)求点P处的切线方程y=g(x),并证明:当x≥0时,f(x)≥g(x);(2)若关于x的方程f(x)=t(t为实数)有两个正实根x1,x2,证明:|x1-x2|<.
抢分练21.解 (1)由题意,得解得∴C1:+y2=1.(2)由(1)知A(2,0),设Q(x1,y1),R(x2,y2),P(x3,y3),如图,连接AP,QR,交于点D(x0,y0).∵四边形AQPR为平行四边形,∴D为AP,QR的中点且QR与x轴既不垂直也不平行.设QR:y=kx+m(k≠0),与C2的方程联立消y得k2x2+2(km-p)x+m2=0,Δ=4(km-p)2-4k2m2>0,即-2km+p>0, ①∴∴x0==-,y0=kx0+m=.又x0=,y0=,∴x3=2x0-2=--2,y3=2y0=.∴P--2,.∵点P在曲线C1上,代入可得+2=1,即+12+2=1.令其中θ≠kπ,k∈Z,由②得k=,代入③,得km=p-,代入①得-2km+p=-2p++p>0,解得p>,∵sin θ≠0,∴cos θ<1,∴,∴p≥.∴p的最小值为.2.(1)解 令f(x)=0,得xenx-nx=0,所以x=0或enx=n,即x=0或x=.因为点P在点Q的左侧,所以P(0,0),Q.因为f'(x)=(nx+1)enx-n,所以f'(0)=1-n.得点P处的切线方程为y=(1-n)x,即g(x)=(1-n)x.当x≥0时,f(x)-g(x)=xenx-nx-(1-n)x=x(enx-1),因为x≥0,n∈N*且n≥2,所以nx≥0,所以enx≥1,即enx-1≥0.所以x(enx-1)≥0,所以f(x)≥g(x).(2)证明 不妨设x1≤x2,且只考虑x≥0的情形.因为f'(x)=(nx+1)enx-n,所以f'eln n-n=(ln n+1)n-n=nln n,所以点Q处的切线方程为y=nln n=(nln n)x-(ln n)2,记h(x)=(nln n)x-(ln n)2,令F(x)=f(x)-h(x)=xenx-nx-[(nln n)x-(ln n)2]=xenx-(n+nln n)x+(ln n)2,x≥0,设G(x)=F'(x)=(nx+1)enx-(n+nln n),则G'(x)=n(nx+2)enx>0,所以G(x)在[0,+∞)上单调递增.又因为F'eln n-(n+nln n)=0,所以当x∈时,F'(x)<0;当x∈时,F'(x)>0.所以F(x)在上单调递减,在上单调递增.所以F(x)在x=时有极小值,也是最小值,即F(x)≥Feln n-(n+nln n)+(ln n)2=0,所以当x≥0时,f(x)≥h(x).设方程h(x)=t的根为x'2,则x'2=.易知h(x)在[0,+∞)上单调递增,由h(x2)≤f(x2)=t=h(x'2),所以x2≤x'2.对于(1)中g(x)=(1-n)x,设方程g(x)=t的根为x'1,则x'1=.易知g(x)在[0,+∞)上单调递减,由(1)知g(x1)≤f(x1)=t=g(x'1),所以x'1≤x1.所以x2-x1≤x'2-x'1==t+.因为nln n-(n-1)=n(ln n-1)+1,易知当n≥3时,ln n-1>0,故n(ln n-1)+1>0(n≥3);当n=2时,2(ln 2-1)+1=ln 4-1>0.所以nln n>n-1>0,所以0<,所以.记φ(x)=f'(x)=(nx+1)enx-n,x≥0,则φ'(x)=n(nx+2)enx>0恒成立.所以φ(x)在[0,+∞)上单调递增,因为f'(0)=1-n<0,f'=nln n>0,所以存在x0∈使得f'(x0)=0.所以当x∈[0,x0)时,f'(x)<0;当x∈(x0,+∞)时,f'(x)>0.所以f(x)在[0,x0)上单调递减,在(x0,+∞)上单调递增.因为f(0)=0,f=0,所以当方程f(x)=t(t为实数)有两个正实根x1,x2时,t<0,所以t<.所以x2-x1≤x'2-x'1<,
相关试卷
这是一份适用于新高考新教材2024版高考数学二轮复习压轴大题抢分练2,共3页。试卷主要包含了4,p1=0等内容,欢迎下载使用。
这是一份适用于新高考新教材2024版高考数学二轮复习压轴大题抢分练1(附解析),共3页。试卷主要包含了已知双曲线C,证明,设P,Q,等内容,欢迎下载使用。
这是一份适用于新高考新教材2024版高考数学二轮复习压轴大题抢分练2(附解析),共3页。试卷主要包含了4,p1=0等内容,欢迎下载使用。

