新高考数学二轮复习专题五第2讲随机变量及其分布课件
展开离散型随机变量的分布列、均值、方差和概率的计算问题常常结合在一起进行考查,重点考查超几何分布、二项分布及正态分布,以解答题为主,中等难度.
离散型随机变量X的分布列为
则(1)pi≥0,i=1,2,…,n.(2)p1+p2+…+pn=1.(3)E(X)=x1p1+x2p2+…+xipi+…+xnpn.(4)D(X)=[x1-E(X)]2p1+[x2-E(X)]2p2+…+[xn-E(X)]2pn.(5)若Y=aX+b,则E(Y)=aE(X)+b,D(Y)=a2D(X).
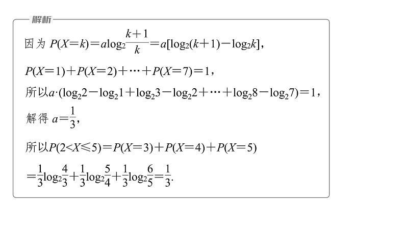
P(X=1)+P(X=2)+…+P(X=7)=1,所以a·(lg22-lg21+lg23-lg22+…+lg28-lg27)=1,
所以P(2
A.D(ξ) B.D(|ξ|)C.D(2ξ+1) D.D(3|ξ|-2)
则D(2ξ+1)=22D(ξ)=4;
所以D(3|ξ|-2)=32D(|ξ|)=5,所以D(3|ξ|-2)的值最大.
分布列性质的两个作用(1)利用分布列中各事件概率之和为1的性质可求参数的值及检查分布列的正确性.(2)随机变量X所取的值分别对应的事件是两两互斥的,利用这一点可以求随机变量在某个范围内的概率.
则下列结论中正确的是A.投资股票甲的期望收益较小B.投资股票乙的期望收益较小C.投资股票甲比投资股票乙的风险高D.投资股票乙比投资股票甲的风险高
(1)(多选)(2022·广州调研)投资甲、乙两种股票,每股收益的分布列分别如表1和表2所示. 表1 股票甲收益的分布列
表2 股票乙收益的分布列
由题意知,E(X)=-1×0.1+0×0.3+2×0.6=1.1,方差D(X)=(-1-1.1)2×0.1+(-1.1)2×0.3+(2-1.1)2×0.6=1.29,E(Y)=0×0.3+1×0.4+2×0.3=1,方差D(Y)=(0-1)2×0.3+(1-1)2×0.4+(2-1)2×0.3=0.6,所以E(X)>E(Y),D(X)>D(Y),则投资股票乙的期望收益较小,投资股票甲比投资股票乙的风险高.
(2)(2022·河南三市联考)甲、乙、丙三人参加2022年冬奥会北京、延庆、张家口三个赛区志愿服务活动,若每人只能选择一个赛区,且选择其中任何一个赛区是等可能的.记X为三人选中的赛区个数,Y为三人没有选中的赛区个数,则A.E(X)=E(Y),D(X)=D(Y)B.E(X)=E(Y),D(X)≠D(Y)C.E(X)≠E(Y),D(X)≠D(Y)D.E(X)≠E(Y),D(X)=D(Y)
由题意得X的可能取值为1,2,3,
又X+Y=3,∴Y=3-X,
1.二项分布一般地,在n重伯努利试验中,设每次试验中事件A发生的概率为p(0 (2022·全国甲卷)甲、乙两个学校进行体育比赛,比赛共设三个项目,每个项目胜方得10分,负方得0分,没有平局.三个项目比赛结束后,总得分高的学校获得冠军.已知甲学校在三个项目中获胜的概率分别为0.5,0.4,0.8,各项目的比赛结果相互独立.(1)求甲学校获得冠军的概率;
设甲在三个项目中获胜的事件依次记为A,B,C,所以甲学校获得冠军的概率为
=0.5×0.4×0.8+(1-0.5)×0.4×0.8+0.5×(1-0.4)×0.8+0.5×0.4× (1-0.8)=0.16+0.16+0.24+0.04=0.6.
(2)用X表示乙学校的总得分,求X的分布列与期望.
依题可知,X的可能取值为0,10,20,30,所以P(X=0)=0.5×0.4×0.8=0.16,P(X=10)=0.5×0.4×0.8+0.5×0.6×0.8+0.5×0.4×0.2=0.44,P(X=20)=0.5×0.6×0.8+0.5×0.4×0.2+0.5×0.6×0.2=0.34,P(X=30)=0.5×0.6×0.2=0.06.则X的分布列为
E(X)=0×0.16+10×0.44+20×0.34+30×0.06=13.
(2022·漳州质检)北京冬奥会某个项目招募志愿者需进行有关专业、礼仪及服务等方面知识的测试,测试合格者录用为志愿者.现有备选题10道,规定每次测试都从备选题中随机抽出3道题进行测试,至少答对2道题者视为合格,已知每位参加笔试的人员测试能否合格是相互独立的.若甲能答对其中的6道题,乙能答对其中的8道题.求:(1)甲、乙两人至多一人测试合格的概率;
(2)甲答对的试题数X的分布列和均值.
由题可知,甲答对的试题数X可以取0,1,2,3,
(2022·湖北联考)某中学将立德树人融入到教育的各个环节,开展“职业体验,导航人生”的社会实践教育活动,让学生站在课程“中央”.为了更好地了解学生的喜好情况,根据学校实际将职业体验分为:救死扶伤的医务类、除暴安良的警察类、百花齐放的文化类、公平正义的法律类四种职业体验类型,并在全校学生中随机抽取100名学生调查意向选择喜好类型,统计如下:
在这100名学生中,随机抽取了3名学生,并以统计的频率代替职业意向类型的概率(假设每名学生在选择职业类型时仅能选择其中一类,且不受其他学生选择结果的影响).(1)求救死扶伤的医务类、除暴安良的警察类这两种职业类型在这3名学生中都有选择的概率;
由题意设职业体验选择救死扶伤的医务类、除暴安良的警察类、百花齐放的文化类、公平正义的法律类的概率分别为P(A),P(B),P(C),P(D),
所以救死扶伤的医务类、除暴安良的警察类这两类职业类型在这3名学生中都有选择的概率为
(2)设这3名学生中选择除暴安良的警察类的随机数为X,求X的分布列与均值.
求随机变量X的均值与方差的方法及步骤(1)理解随机变量X的意义,写出X可能的全部取值;(2)求X取每个值时对应的概率,写出随机变量X的分布列;(3)由均值和方差的计算公式,求得均值E(X),方差D(X);(4)若随机变量X的分布列为特殊分布列(如:两点分布、二项分布、超几何分布),可利用特殊分布列的均值和方差的公式求解.
(1)求北干道的N1,N2,N3,N4四个易堵塞路段至少有一个被堵塞的概率;
记北干道的N1,N2,N3,N4四个易堵塞路段至少有一个被堵塞为事件A,
(2)若南干道被堵塞路段的个数为X,求X的分布列及均值E(X);
由题意可知X的可能取值为0,1,2,
(3)若按照“平均被堵塞路段少的路线是较好的高峰期出行路线”的标准,则从城西开往城东较好的高峰期出行路线是哪一条?请说明理由.
因为E(X)
(1)(2022·太原模拟)已知随机变量X服从正态分布N(μ,σ2),若P(X≥1+a)=P(X≤1-a),则μ等于A.0 B.1C.2 D.-1
因为P(X≥1+a)=P(X≤1-a),
(2)(多选)(2022·长春质检)国家质量监督检验标准中,医用口罩的过滤率是重要的指标,根据长期生产经验,某企业在生产线状态正常情况下生产的医用口罩的过滤率X~N(0.937 2,0.013 92).若生产状态正常,则下列结论正确的是A.P(X≤0.9)<0.5B.X的取值在(0.93,0.943 9)内的概率与在(0.937 2,0.951 1)内的概率相等C.P(X<0.9)=P(X>0.974 4)D.记ξ表示一天内抽取的50只口罩中过滤率大于μ+2σ的数量,则P(ξ≥1)>0.6(参考数据:若X~N(μ,σ2) (σ>0),则P(μ-σ≤X≤μ+σ)≈0.682 7,P(μ-2σ≤X≤μ+2σ)≈0.954 5,P(μ-3σ≤X≤μ+3σ)≈0.997 3;0.9850≈0.364)
由X~N(0.937 2,0.013 92)知,μ=0.937 2,σ=0.013 9,对于A,由正态分布曲线可得P(X≤0.9)
0.93,由正态分布性质知,落在(0.93,0.943 9)内的概率大于落在(0.937 2,0.951 1)内的概率,故B错误;
所以P(ξ≥1)=1-P(ξ=0)=1-(1-p)50>1-(1-0.02)50,1-(1-0.02)50=1-0.9850≈1-0.364=0.636>0.6,故D正确.
利用正态曲线的对称性研究相关概率问题,涉及的知识主要是正态曲线关于直线x=μ对称,及曲线与x轴之间的面积为1,注意下面三个结论的灵活运用:(1)对任意的a,有P(X<μ-a)=P(X>μ+a).(2)P(X
由图知甲、乙两条生产线的均值相等,甲的正态分布密度曲线较瘦高,所以甲生产线产品的稳定性高于乙生产线产品的稳定性.
(2)(2022·哈尔滨模拟)为了监控某种零件的一条生产线的生产过程,检验员每天从该生产线上随机抽取,并测量零件的直径尺寸,根据长期生产经验,可以认为这条生产线正常状态下生产的零件直径尺寸X(单位:cm)服从正态分布N(18,4),若X落在[20,22]内的零件个数为2 718,则可估计所抽取的这批零件中直径X高于22的个数大约为(附:若随机变量服从正态分布N(μ,σ2),则P(μ-σ≤X≤μ+σ)≈0.682 7,P(μ-2σ≤X≤μ+2σ)≈0.954 5,P(μ-3σ≤X≤μ+3σ)≈0.997 3)A.27 B.40C.228 D.455
由正态分布N(18,4)可知,μ=18,σ=2,∴μ+σ=20,μ+2σ=22,
直径X高于22的个数大约为2 718÷0.135 9×0.022 75=455.
一、单项选择题1.设离散型随机变量X的分布列为若随机变量Y=|X-1|,则P(Y=1)等于A.0.3 B.0.4C.0.6 D.0.7
因为Y=|X-1|,所以P(Y=1)=P(X=0或X=2)=P(X=0)+P(X=2)=0.2+0.1=0.3.
2.(2022·广州模拟)已知随机变量X~N(μ,σ2),若P(μ≤X≤μ+1)=0.2,则P(X≥μ-1)等于A.0.7 B.0.4C.0.3 D.0.2
由已知P(μ-1≤X≤μ)=P(μ≤X≤μ+1)=0.2,所以P(X≥μ-1)=P(μ-1≤X≤μ)+P(X≥μ)=0.2+0.5=0.7.
3.一批电阻的电阻值X(单位:Ω)服从正态分布N(1 000,52).现从甲、乙两箱出厂成品中各随机抽取一个电阻,测得电阻值分别为1 011 Ω和982 Ω,可以认为A.甲、乙两箱电阻均可出厂B.甲、乙两箱电阻均不可出厂C.甲箱电阻可出厂,乙箱电阻不可出厂D.甲箱电阻不可出厂,乙箱电阻可出厂
因为X~N(1 000,52),所以μ=1 000,σ=5,所以μ-3σ=1 000-3×5=985,μ+3σ=1 000+3×5=1 015.因为1 011∈[985,1 015],982∉[985,1 015],所以甲箱电阻可出厂,乙箱电阻不可出厂.
4.(2022·韶关模拟)某一部件由三个电子元件按照如图所示的方式连接而成,元件1和元件2同时正常工作,或元件3正常工作,则部件正常工作,设三个电子元件正常工作的概率均为 ,且各个元件能否正常工作相互独立,那么该部件正常工作的概率为
讨论元件3正常与不正常,
5.(2022·萍乡模拟)高尔顿(钉)板是在一块竖起的木板上钉上一排排互相平行、水平间隔相等的圆柱形小木块(如图所示),并且每一排小木块数目都比上一排多一个,一排中各个小木块正好对准上面一排两个相邻小木块的正中央,从入口处放入一个直径略小于两个小木块间隔的小球,当小球从之间的间隙下落时碰到下一排小木块,它将以相等的可能性向左或向右落下,若小球再通过间隙,又碰到下一排小木块.如此继续下去,小球最后落入下方条状的格子内,则小球落到第⑤个格子的概率是
6.(2022·全国乙卷)某棋手与甲、乙、丙三位棋手各比赛一盘,各盘比赛结果相互独立.已知该棋手与甲、乙、丙比赛获胜的概率分别为p1,p2,p3,且p3>p2>p1>0.记该棋手连胜两盘的概率为p,则A.p与该棋手和甲、乙、丙的比赛次序无关B.该棋手在第二盘与甲比赛,p最大C.该棋手在第二盘与乙比赛,p最大D.该棋手在第二盘与丙比赛,p最大
设该棋手在第二盘与甲比赛连胜两盘的概率为P甲,在第二盘与乙比赛连胜两盘的概率为P乙,在第二盘与丙比赛连胜两盘的概率为P丙,方法一 由题意可知,P甲=2p1[p2(1-p3)+p3(1-p2)]=2p1p2+2p1p3-4p1p2p3,P乙=2p2[p1(1-p3)+p3(1-p1)]=2p1p2+2p2p3-4p1p2p3,P丙=2p3[p1(1-p2)+p2(1-p1)]=2p1p3+2p2p3-4p1p2p3.所以P丙-P甲=2p2(p3-p1)>0,P丙-P乙=2p1(p3-p2)>0,所以P丙最大,故选D.
方法二 (特殊值法)不妨设p1=0.4,p2=0.5,p3=0.6,则该棋手在第二盘与甲比赛连胜两盘的概率P甲=2p1[p2(1-p3)+p3(1-p2)]=0.4;在第二盘与乙比赛连胜两盘的概率P乙=2p2[p1(1-p3)+p3(1-p1)]=0.52;在第二盘与丙比赛连胜两盘的概率P丙=2p3[p1(1-p2)+p2(1-p1)]=0.6.所以P丙最大,故选D.
A.P(X=2)的值最大B.P(X=0)
∴E(Y)=1×(1-p)10+11×[1-(1-p)10]=11-10×(1-p)10,设逐份检测方式,样本需要检测的总次数X,则E(X)=10,要使得混合检测方式优于逐份检测方式,需E(Y)
10.(2022·湖州模拟)盒中有4个球,其中1个红球,1个黄球,2个蓝球,从盒中随机取球,每次取1个,取后不放回,直到蓝球全部被取出为止,在这一过程中取球次数为ξ,则ξ的均值E(ξ)=_____.
由题意可知,随机变量ξ的可能取值有2,3,4,
所以随机变量ξ的分布列如下表所示:
11.(2022·常州模拟)为了了解某类工程的工期,某公司随机选取了10个这类工程,得到如下数据(单位:天):17,23,19,21,22,21,19,17,22,19.若该类工程的工期X~N(μ,σ2)(其中μ和σ分别为样本的均值和标准差),由于情况需要,要求在22天之内完成一项此类工程,估计能够在规定时间内完成该工程的概率约为(保留两位小数)______.附:若随机变量X服从正态分布N(μ,σ2),则P(μ-σ≤X≤μ+σ)≈0.682 7,P(μ-2σ≤X≤μ+2σ)≈0.954 5,P(μ-3σ≤X≤μ+3σ)≈0.997 3.
所以σ=2.所以P(20-2≤X≤20+2)≈0.682 7,所以P(20≤X≤22)≈0.341 35,所以P(X≤22)=0.5+0.341 35=0.841 35≈0.84.
12.(2022·苏州模拟)泊松分布是统计学里常见的离散型概率分布,由法国数学家泊松首次提出.泊松分布的概率分布列为P(X=k)= e-λ(k=0,1,2,…),其中e为自然对数的底数,λ是泊松分布的均值.已知某种商品每周销售的件数相互独立,且服从参数为λ(λ>0)的泊松分布.若每周销售1件该商品与每周销售2件该商品的概率相等,则两周共销售2件该商品的概率为____.
四、解答题13.(2022·潍坊模拟)根据国家部署,2022年中国空间站“天宫”将正式完成在轨建造任务,成为长期有人照料的国家级太空实验室,支持开展大规模、多学科交叉的空间科学实验.为普及空间站相关知识,某部门组织了空间站建造过程3D模拟编程闯关活动,它是由太空发射、自定义漫游、全尺寸太阳能、空间运输等10个相互独立的程序题目组成.规则是:编写程序能够正常运行即为程序正确.每位参赛者从10个不同的题目中随机选择3个进行编程,全部结束后提交评委测试,若其中2个及以上程序正确即为闯关成功.现已知10个程序中,甲只能正确完成其中6个,乙正确完成每个程序的概率为 ,每位选手每次编程都互不影响.
(1)求乙闯关成功的概率;
记乙闯关成功为事件A,
(2)求甲编写程序正确的个数X的分布列和均值,并判断甲和乙谁闯关成功的可能性更大.
由题意知随机变量X所有可能的取值为0,1,2,3,
14.(2022·济南模拟)某婴幼儿游泳馆为了吸引顾客,推出优惠活动,即对首次消费的顾客按80元收费,并注册成为会员,对会员消费的不同次数给予相应的优惠,标准如下:
该游泳馆从注册的会员中,随机抽取了100位会员并统计他们的消费次数,得到数据如下:
假设每位顾客游泳1次,游泳馆的成本为30元.根据所给数据,回答下列问题:(1)估计该游泳馆1位会员至少消费2次的概率;
25+10+5=40,即随机抽取的100位会员中,至少消费2次的会员有40位,
(2)某会员消费4次,求这4次消费中,游泳馆获得的平均利润;
第1次消费时,80-30=50(元),所以游泳馆获得的利润为50元,第2次消费时,80×0.95-30=46(元),所以游泳馆获得的利润为46元,第3次消费时,80×0.90-30=42(元),所以游泳馆获得的利润为42元,第4次消费时,80×0.85-30=38(元),所以游泳馆获得的利润为38元,
∴这4次消费中,游泳馆获得的平均利润为44元.
(3)假设每个会员最多消费4次,以事件发生的频率作为相应事件发生的概率,从该游泳馆的所有会员中随机抽取2位,记游泳馆从这2位会员的消费中获得的平均利润之差的绝对值为X,求X的分布列和均值E(X).
由题意知,X的所有可能取值为0,2,4,6.
新高考数学二轮复习专题五统计与概率第2讲概率、随机变量及其分布课件: 这是一份新高考数学二轮复习专题五统计与概率第2讲概率、随机变量及其分布课件,共50页。PPT课件主要包含了必备知识•精要梳理,概率的计算公式,概率之和等于1,关键能力•学案突破,答案D,对点练1,命题角度1条件概率,答案B,对点练2,答案C等内容,欢迎下载使用。
2023届高考数学二轮复习专题4第2讲概率、随机变量及其分布课件: 这是一份2023届高考数学二轮复习专题4第2讲概率、随机变量及其分布课件,共46页。PPT课件主要包含了专题四统计与概率,考情分析,真题热身,感悟高考,考点一古典概型,典例1,典例2,典例3等内容,欢迎下载使用。
新高考数学二轮复习专题五第1讲计数原理与概率课件: 这是一份新高考数学二轮复习专题五第1讲计数原理与概率课件,共60页。PPT课件主要包含了考情分析,排列与组合问题,考点一,核心提炼,规律方法,二项式定理,考点二,-28,易错提醒,考点三等内容,欢迎下载使用。

