2022-2023学年辽宁省凌源市高二上学期11月月考数学试题(解析版)
展开2022-2023学年辽宁省凌源市高二上学期11月月考数学试题
一、单选题
1.复数( )
A. B. C. D.
【答案】B
【分析】根据复数的乘法运算可得答案.
【详解】.
故选:B
2.古希腊数学家阿基米德多年前利用“逼近法”得到椭圆面积除以圆周率等于椭圆的长半轴长与短半轴长的乘积,则椭圆的面积为( )
A.30 B.120 C. D.
【答案】C
【分析】根据椭圆方程求出,再提供的椭圆面积公式求出椭圆的面积.
【详解】因为,,所以椭圆的面积为.
故选:C
3.已知,,若,则( )
A. B.4 C.3 D.
【答案】B
【分析】由平面向量的坐标运算求解,
【详解】因为,所以,所以.
故选:B
4.若双曲线()的渐近线与圆相切,则m=( )
A. B. C. D.
【答案】B
【分析】根据双曲线的标准方程,求得渐近线方程,根据圆的一般方程,利用配方法,整理标准方程,求得圆心与半径,结合直线与圆相切的性质,建立方程,可得答案.
【详解】双曲线的渐近线方程为,
由圆,整理可得,可得圆心为,半径为2,
则,得.
故选:B.
5.已知,,则( )
A. B. C. D.
【答案】B
【分析】由对数的运算性质求解,
【详解】因为,所以.则,
所以.
故选:B
6.若一个长方体的长、宽、高分别为4,,2,且该长方体的每个顶点都在球的球面上,则球的表面积为( )
A. B. C. D.
【答案】D
【分析】长方体的体对角线的交点到各个顶点的距离相等,利用体对角线公式求得半径,结合球的表面积公式,即得解.
【详解】由题意,长方体的体对角线的交点到各个顶点的距离相等,即球心即为体对角线交点,
半径为体对角线的一半,即球的半径,
则球的表面积.
故选:D
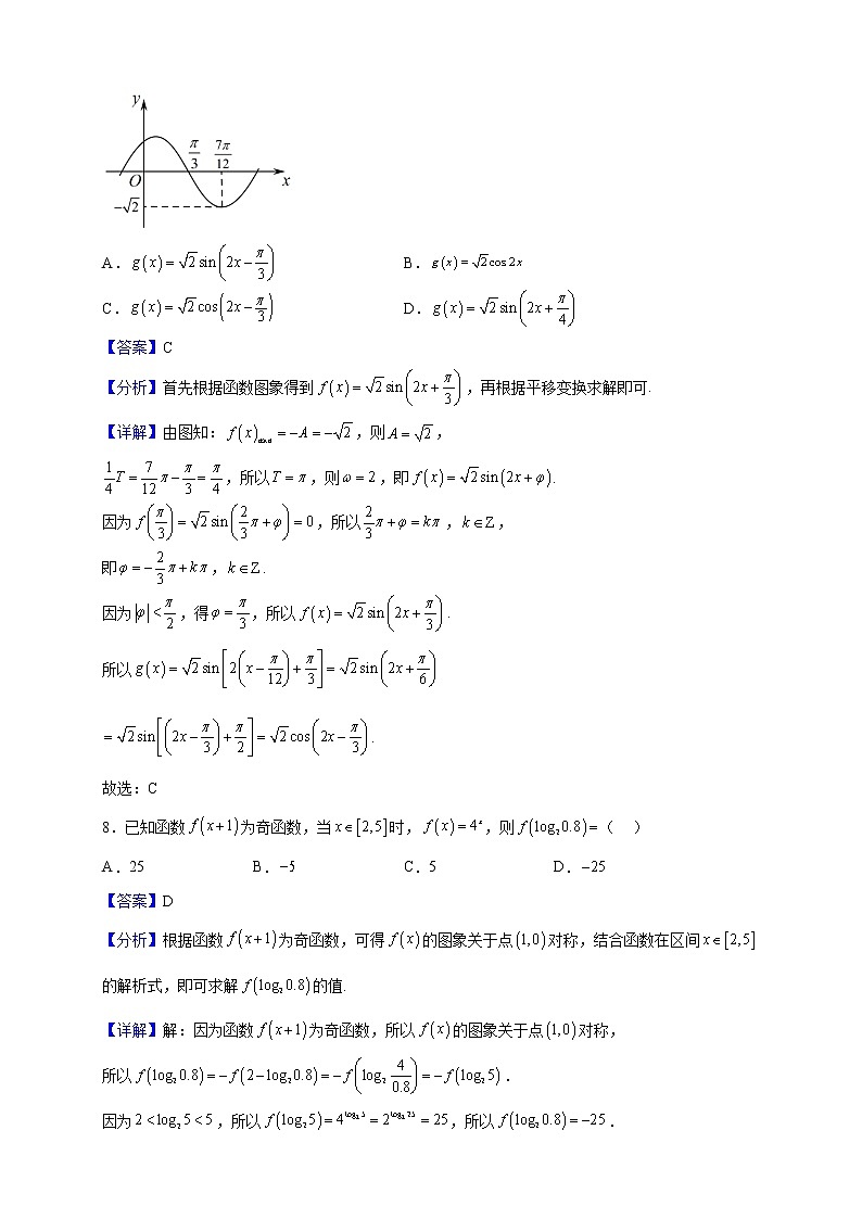
7.函数(,,)的部分图象如图所示,将f(x)的图象向右平移个单位长度得到函数g(x)的图象,则( )
A. B.
C. D.
【答案】C
【分析】首先根据函数图象得到,再根据平移变换求解即可.
【详解】由图知:,则,
,所以,则,即.
因为,所以,,
即,.
因为,得,所以.
所以
.
故选:C
8.已知函数为奇函数,当时,,则( )
A.25 B. C.5 D.
【答案】D
【分析】根据函数为奇函数,可得的图象关于点对称,结合函数在区间的解析式,即可求解的值.
【详解】解:因为函数为奇函数,所以的图象关于点对称,
所以.
因为,所以,所以.
故选:D.
二、多选题
9.已知双曲线C:,则下列选项中正确的是( )
A.C的焦点坐标为 B.C的顶点坐标为
C.C的离心率为 D.C的虚轴长为
【答案】BCD
【分析】由题意可得,,,根据焦点在y轴上,逐一判断即可.
【详解】解:因为,,
所以,,.
因为焦点在y轴上,
所以C的焦点坐标为,故A错误;
顶点为,故B正确;
离心率为,故C正确,
虚轴长为,故D正确.
故选:BCD.
10.如图,在正三棱柱中,若,则( )
A.三棱锥的体积为
B.三棱锥的体积为
C.点C到直线的距离为
D.点C到直线的距离为
【答案】AC
【分析】利用等体积法和三棱锥的体积公式计算即可判断AB;建立如图空间直角坐标系,求出在上的投影的长度,利用向量法求出点线距即可判断CD.
【详解】三棱锥即三棱锥,其体积为,故A正确,B不正确;
取AC的中点O,则,,
以O为原点,,的方向分别为x,y轴的正方向建立如图空间直角坐标系,
则,,,所以,,
所以在上的投影的长度为,
故点C到直线的距离,故C正确,D错误.
故选:AC.
11.已知函数( )
A.
B.与均无零点
C.若在上单调递增,则无最小值
D.若的取小值为,则的值域为
【答案】BCD
【分析】当时,,所以错误;当时,与均无零点,所以B正确;,所以无最小值,所以C正确;,的值域为,所以D正确.
【详解】,
当时,,,所以A错误.
当时,与均无零点,所以B正确.
若在上单调递增,则,即,
所以无最小值,所以C正确.
若的最小值为,则,即,
此时在上的值域为,在上的值域为,的值域为,所以D正确.
故选:BCD
12.已知直线,则( )
A.直线恒过点
B.点到直线的最大距离为.
C.直线的斜率可以为任意负数
D.当时,直线与坐标轴所围成的三角形面积的最小值为4
【答案】ABD
【分析】根据含参直线方程可确定直线的定点来判断A;根据直线过定点可以确定点点到直线的最大距离来判断B;求解直线的斜率存在时,求直线斜率,即可判断C;根据,可确定直线斜率存在以及直线斜率的范围,即可确定直线与坐标轴所围成的三角形面积的最小值来判断D.
【详解】解:对于A,直线,令得,则直线晅过点,故A正确;
对于B,由于直线过定点,则当时,到直线的距离最大,且最大值为,故B正确;
对于C,当时,直线的斜率为,故C错误;
对于D,当时,直线的斜率,由于直线过的定点为,则可设直线的方程为,直线与坐标轴所围成的三角形面积为,则,即,当且仅当,即时,等号成立,所以直线与坐标轴所围成的三角形面积的最小值为4,故D正确.
故选:ABD.
三、填空题
13.如图,吊车梁的鱼腹部分AOB是抛物线的一段,宽6m,高0.5m,根据图中的坐标系,可得这条抛物线的准线方程为______.
【答案】
【分析】利用待定系数法,代入已知点,建立方程,根据准线的公式,可得答案.
【详解】设这条抛物线的方程为,由图可知B点坐标为(3,0.5),所以,得,故这条抛物线的准线方程为.
故答案为:.
14.已知某地最近12天的平均气温(单位:℃)为12,13,17,19,12,16,15,17,15,18,14,18,则这12天平均气温的70%分位数为______℃.
【答案】17
【分析】先把数据由小到大进行排列,再求出70%分位数为第9个数据的气温,即可求解.
【详解】解:这12天的平均气温的数据按照从小到大的顺序排列为:
12,12,13,14,15,15,16,17,17,18,18,19,
,
这12天平均气温的70%分位数为第9个数据的气温,
即17℃.
故答案为:.
15.已知圆:与圆:相离,则整数m的一个取值可以是______.
【答案】2##3##4
【分析】写出两圆的圆心及半径,利用两点之间坐标公式求出圆心的距离,利用两圆相离的关系列出不等式,求出整数m的值.
【详解】解:由题意
在圆:与圆:中,
圆的圆心为,圆的圆心为,圆的半径为3,圆的半径为,
∴两圆圆心的距离为.
∴,解得,
∴整数m的取值可能是2,3,4.
故答案为:2或3或4.
四、解答题
16.某校对高一年级800名学生进行食堂满意度调查,分性别得到的调查结果如下:
| 男同学 | 女同学 |
满意 | 400 | 350 |
不满意 | 20 | 30 |
(1)从这800名学生中随机抽取一人,求该学生是女同学且对食堂满意的概率;
(2)该校准备在本次调查对食堂不满意的学生中,用等比例分层随机抽样的方法按性别抽取5人进行进一步调查,了解对食堂不满意的原因,并在这5人中随机选出2人发一份小礼品,求这2人恰好是一男一女的概率.
【答案】(1)
(2)
【分析】(1)根据古典概型概率计算公式计算出所求概率.
(2)利用列举法,结合古典概型概率计算公式计算出所求概率.
【详解】(1)依题意,从这800名学生中随机抽取一人,
该学生是女同学且对食堂满意的概率为.
(2)不满意的男女生比例为,
用等比例分层随机抽样的方法按性别抽取5人进行进一步调查,
则男生抽取人,女生抽取人,
男生记为,女生记为,
在这5人中随机选出2人,基本事件为,
,共个,
其中一男一女的为:,,共个,
所以在这5人中随机选出2人发一份小礼品,这2人恰好是一男一女的概率为.
17.在长方体中,底面ABCD是边长为2的正方形,,M,N分别是AD,的中点.
(1)证明:MN与平面BCN不垂直.
(2)求MN与平面所成角的正弦值.
【答案】(1)证明见解析
(2)
【分析】(1)建立坐标系,利用向量证明与平面内的一条直线不垂直即可;
(2)求出平面的法向量,利用线面角的向量求法进行求解.
【详解】(1)解:以D为坐标原点,,,的方向分别为x,y,z轴的正方向,建立如图所示的空间直角坐标系,则,,,,,.
(1)证明:因为,,所以,但,
所以MN与平面BCN不垂直.
(2)设平面的法向量为,因为,,所以令,得.
设MN与平面所成的角为θ,则,
故MN与平面所成角的正弦值为.
18.在中,内角A,B,C的对边分别为a,b,c,已知.
(1)求角A;
(2)若,D为BC边的中点,,求a的值.
【答案】(1)
(2)
【分析】(1)由两角和的正弦公式化简求解,
(2)由平面向量数量积的运算律与余弦定理求解,
【详解】(1)由题意得,
所以,
所以.因为,所以.
因为,所以.
(2)由,可得.
因为,,,所以,解得.
因为,所以.
19.已知抛物线C:的焦点为F,是抛物线C上的点,且.
(1)求抛物线C的方程;
(2)已知直线l交抛物线C于M,N点,且MN的中点坐标为,求的面积.
【答案】(1)
(2)
【分析】(1)利用焦半径列出方程,求出,从而得到抛物线方程;
(2)先得到直线l的斜率存在,设直线l的斜率为k,,,,两式相减,结合点MN的中点坐标为,求出直线l的方程,联立抛物线方程后得到,及直线l与y轴的交点为,从而求出的面积.
【详解】(1)因为,所以,
故抛物线C的方程为;
(2)易知直线l的斜率存在,设直线l的斜率为k,,,,
则,
两式相减得,整理得.
因为MN的中点为,所以,
所以直线l的方程为,即.
联立方程组,得,
则.
因为直线l与y轴的交点为,
所以的面积为.
20.如图,在四棱锥中,底面ABCD为直角梯形,其中,,,,平面ABCD,M为PD的中点.
(1)证明:平面PBC.
(2)求平面PBC与平面PCD的夹角.
【答案】(1)证明见解析
(2)
【分析】(1) 取PC的中点为N,连接MN,NB,利用中位线证明且,所以四边形MNBA为平行四边形,得到,再利用线面平行得判定即可证明;
(2) 过A作,垂足为H,以A为坐标原点,,,的方向分别为x,y,z轴的正方向建立空间直角坐标系,分别求出平面PBC与平面PCD的法向量,代入向量夹角公式即可求解.
【详解】(1)证明:取PC的中点为N,连接MN,NB,
则且.
因为且,所以且,
所以四边形MNBA为平行四边形,所以.
又因为平面PBC,平面PBC,所以平面PBC.
(2)过A作,垂足为H,则.
如图,以A为坐标原点,,,的方向分别为x,y,z轴的正方向建立空间直角坐标系,
则,,,.
设平面PBC的法向量为,因为,,所以令,得.
设平面PCD的法向量为,因为,,所以令,得.
设平面PBC与平面PCD的夹角为θ,则,
所以平面PBC与平面PCD的夹角为.
21.已知椭圆W:的离心率为,左、右焦点分别为,,过且垂直于x轴的直线被椭圆W所截得的线段长为.
(1)求椭圆W的方程;
(2)直线与椭圆W交于A,B两点,连接交椭圆W于点C,若,求直线AC的方程.
【答案】(1);
(2)或.
【分析】(1)根据题意可得,结合离心率和即可求解;
(2)根据题意可设直线AC的方程为,,,联立椭圆方程,利用韦达定理表示出,根据弦长公式求出,利用点到直线的距离公式求出点O到直线AC的距离,结合三角形面积公式计算求出t,即可求解.
【详解】(1)由题意知,设过且垂直于x轴的直线交椭圆于点,则,
解得,所以,所以.
因为椭圆W的离心率,所以.
因为,所以,,故椭圆W的方程为.
(2)由题意知,直线AC不垂直于y轴,设直线AC的方程为,,,
联立方程组消去x并整理得,
所以,,
所以.
因为点O到直线AC的距离,且O是线段AB的中点,
所以点B到直线AC的距离为2d,
所以.
由,解得,所以,故直线AC的方程为,
即或.
五、双空题
22.在长方体中,,,,则______;点C到平面的距离为______.
【答案】
【分析】建立空间直角坐标系,写出点的坐标,利用空间向量求解出答案.
【详解】以D为坐标原点,,,的方向分别为x轴,y轴,z轴的正方向建立如图所示的空间直角坐标系.
因为,,,
所以,,,,.
因为,,
所以.
设平面的法向量为,因为,,
所以,令,得.
因为,所以点C到平面的距离.
故答案为:,.
精品解析:辽宁省朝阳市凌源市2022-2023学年高二下学期4月月考数学试题(解析版): 这是一份精品解析:辽宁省朝阳市凌源市2022-2023学年高二下学期4月月考数学试题(解析版),共18页。试卷主要包含了本试卷分选择题和非选择题两部分,本卷命题范围等内容,欢迎下载使用。
2022-2023学年辽宁省朝阳市凌源市高二上学期10月月考数学试题(解析版): 这是一份2022-2023学年辽宁省朝阳市凌源市高二上学期10月月考数学试题(解析版),共13页。试卷主要包含了单选题,多选题,填空题,解答题等内容,欢迎下载使用。
2022-2023学年辽宁省朝阳市凌源市高一上学期12月月考数学试题(解析版): 这是一份2022-2023学年辽宁省朝阳市凌源市高一上学期12月月考数学试题(解析版),共13页。试卷主要包含了单选题,多选题,填空题,双空题,解答题等内容,欢迎下载使用。

