2023届广东省名校联盟高三上学期11月大联考数学试题(解析版)
展开一、单选题
1.已知集合,则集合A的非空子集的个数为( )
A.3B.4C.7D.8
【答案】A
【分析】解集合A中的不等式,确定集合中的元素个数,可得集合的非空子集个数.
【详解】,集合A中两个元素,所以集合A的非空子集个数为3.
故选:A.
2.已知命题,,则p是q成立的( )
A.充分不必要条件B.必要不充分条件
C.充分必要条件D.既不充分又不必要条件
【答案】D
【分析】根据两个命题得出x的范围,比较两个范围所构成集合间的关系,利用充分条件与必要条件的判定,即可得出结论.
【详解】解:因为,,所以p是q成立的既不充分又不必要条件,
故选:D.
3.若,,则在上的投影向量为( )
A.B.C.D.
【答案】C
【分析】设,的夹角为,根据投影向量计算可得答案.
【详解】设,的夹角为,在上的投影向量为.
故选:C.
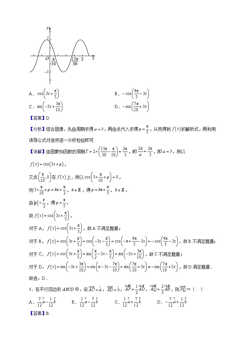
4.如图是函数的部分图象,则不可能为( )
A.B.
C.D.
【答案】D
【分析】结合图像,先由周期求得,再由点代入求得,从而得到的解析式,再利用诱导公式对选项逐一分析检验即可.
【详解】由图象知函数的周期,即,即,所以,
又点在上,所以,
则,,得,,
由,得,
故,
对于A,,故A不满足题意;
对于B,,故B不满足题意;
对于C,,故C不满足题意;
对于D,,故D满足题意.
故选:D.
5.在平行四边形ABCD中,设,,,,则=( )
A.B.C.D.
【答案】B
【分析】根据平面向量基本定理,结合平面向量线性运算的性质进行求解即可.
【详解】因为,,所以,,
所以.
故选:B
6.设,,,则( )
A.a【答案】A
【分析】构造函数,利用导数讨论其单调性,利用单调性比较可得.
【详解】当x>1时,设,
因为
所以,即,
又,,
所以,,所以a故选:A.
7.已知数列是等比数列,且,,则( )
A.B.C.D.
【答案】B
【分析】根据等比数列的性质,得到也为等比数列,并求出其基本量,进而可用等比数列求和公式求解即可.
【详解】∵为等比数列,故也为等比数列,
由,又∵,∴的公比满足,则,
而,平方得,,
∴是以为首项,为公比的等比数列,其前项和.
故选:B.
8.如图,AB是半球的直径,O为球心,,P为此半球大圆弧上的任意一点(异于A,B),P在水平大圆面AOB内的射影为Q,过Q作QR⊥AB于R,连接PR,OP,若二面角P-AB-Q为,则三棱锥P-OQR体积的最大值为( )
A.B.C.D.
【答案】C
【分析】根据二面角的平面角可得边的关系,进而根据三棱锥的体积公式表达出体积函数,进而根据不等式即可求解最值.
【详解】∵PQ⊥平面ABQ,平面ABQ,∴,
∵QR⊥AB,,平面PQR,∴AB⊥平面PQR,
平面PQR,AB⊥PR,∴∠PRQ为二面角P-AB-Q的平面角,即,
设,,,在中,,,
在中,,则
,而,当且仅当,即,即时,取得最大值.此时三棱锥P-OQR体积的最大值为.
故选:C.
二、多选题
9.若函数是定义在上的奇函数,,在上单调递增,则( )
A. B.在上单调递减
C. 的周期为D. 在上单调递减
【答案】ACD
【分析】根据函数是奇函数,结合函数对称轴,以及函数在的单调性,即可判断和选择.
【详解】对A:因为函数是定义在R上的奇函数,所以,A正确;
对B:因为为奇函数,又因为在上单调递增,所以在上单调递增,B错误;
对C:,则,又,所以,
即,所以,所以的周期,C正确;
对D:因为,所以的图象关于直线对称,
又因为在上单调递增,故在单调递减,D正确.
故选:ACD.
10.已知a>0,ab=1,则( )
A.B.
C.D.
【答案】AD
【分析】由基本不等式判断ACD,由作差法判断B.
【详解】因为a>0,ab=1,所以b>0
选项A:因为ab=1,所以,所以A正确;
选项B:,所以,所以B不正确;
选项C:因为,所以C不正确;
选项D:因为,所以D正确.
故选:AD.
11.设定义在上的函数与的导数分别为与,若,,且,则( )
A.B.的图像关于点对称
C.的图像关于直线对称D.的周期为4
【答案】BCD
【分析】根据函数的对称性及周期性的条件判断即可.
【详解】解:,
令,得,故A错误;
,,
,
∵,,
,
令,得,
,
关于直线x=2对称,
,
∴ 函数的图像关于点对称,故B、C正确;
,
,
,
,
,
即,
,
的周期,故D正确.
故选:BCD.
【点睛】方法点睛:本题的难点是由导函数写出原函数,这个不容易想到,因此平时解题时应记住这样一个命题:若的导函数为,则,其中为常数.同时应当理解并记住对称性的充要条件:若关于对称,则;若关于对称,则.
12.在棱长为2的正方体中,点P在线段上运动,则下列命题正确的是( )
A.
B.三棱锥的体积为定值
C.异面直线AP与所成的角可以为
D.设直线与平面所成的角为,则的最小值为
【答案】ACD
【分析】对于A:只需证平面即可;
对于B:体积转化法;
对于C:因为,所以∠APC(或补角)为异面直线AP与所成的角,观察∠APC的变化范围;
对于D:求出到平面的距离为定值,则,只需考察变化时对的影响.
【详解】如图所示
对于A选项,因为,平面,平面
所以平面,又平面,所以,
同理可证:,又,平面,平面
所以平面,又AP在平面内,,所以A选项正确;
对于B选项,因为,又平面,平面,
所以平面,所以,所以B选项错误;
对于C选项,因为,所以∠APC(或补角)为异面直线AP与所成的角,因为为正三角形,所以当点P与线段B1C的端点重合时,异面直线AP与所成的角取得最小值60°,当点P与线段的中点重合时,异面直线AP与所成的角取得最大值90°,因为当点P从线段的端点运动到线段的中点过程中,异面直线AP与所成的角的大小变化是连续的,所以异面直线AP与所成的角可以为75°,所以C选项正确;
对于D选项,设点P到平面的距离为 ,由B知,得,要使最小,则最大,又,当最小时,最大,当点P在线段的中点时,最小为,所以的最大值为,所以的最小值为,所以D选项正确.
故选:ACD.
三、填空题
13.设全集,集合,,且,则m=______.
【答案】1
【分析】求出集合,要满足,则,求得m值.
【详解】根据题意:集合,或,∴,又因为:,所以
则是方程的根,故,即.经检验成立.
故答案为:1.
14.已知实数x,y满足:,则的取值范围是______.
【答案】
【分析】方法一:采用三角换元法,然后利用两角差的正弦公式集合求解;
方法二:利用的几何意义:可以看作圆心到直线距离的倍,然后利用点到直线的距离公式即可求解.
【详解】解法一:因为,所以令,,
则,,
故,其中,,因为,
所以,
所以,
故的取值范围为.
解法二:因为圆心到直线的距离,
所以圆心上的点到直线的距离的取值范围为,
又因为,
所以的取值范围是.
故答案为:.
15.已知,函数,若函数无零点,则实数a的取值范围是______.
【答案】
【分析】先将的解析式代入并求得的解析式,将无零点等价转化为无零点,再通过求导判断的单调性和最值,将其等价转化为,据此求得实数a的取值范围.
【详解】∵,无零点,
即
无实根.
∴无实根.
令,
则,
由,得;,得.
∴在上单调递增,在上单调递减,
∴.
而时,,时,,
∴若无零点,
需,即.
又,∴.
故答案为:.
16.在中,斜边为,点在边上,设,,若,则用表示为___________.
【答案】
【分析】由正弦定理及锐角三角函数得到,再由等面积法得到,最后在中由余弦定理计算可得.
【详解】解:因为,,所以,
在中由正弦定理可得,所以,所以,
在中,,所以,
又因为,,
所以,即,
所以,即,
在中由余弦定理可得
,
所以.
故答案为:.
四、解答题
17.如图所示,四棱锥P—ABCD中,底面ABCD为矩形,侧棱底面ABCD,E为棱PC的中点,,连接DF、DE,其中Q为DE的中点,,,.
(1)请用,,,表示向量;
(2),,求的值.
【答案】(1)
(2)
【分析】(1)根据图象,结合空间向量的线性运算法则用,,表示向量;(2) 用,,表示向量,根据空间向量数量积的运算性质及定义运算即可.
【详解】(1)因为,,,所以由题知向量,,两两互相垂直,
因为,所以.
因为,所以,所以
又因为为PC的中点,为DE的中点,所以,
所以.
(2)
又因为,
所以.
18.在数列中,已知前n项和为,,,.
(1)求的通项公式及的表达式;
(2)设,求数列的前n项和的表达式.
【答案】(1),
(2)
【分析】(1)根据已知条件累加求出的通项公式,得出是等差数列,进而求出前n项和.
(2)求出数列的通项公式,错位相减得出数列的前n项和的表达式.
【详解】(1)由题意,
在数列中,,
∴,
解得:,
即,
∴,
,
,…,
,
累加得,,
∴,
∵,符合上式,
∴,
∴的是以首项为,公差的等差数列.
∴
即:.
(2)由题意及(1)得,
在等差数列中,
,
在数列中,
,
∴,
,
∴
解得:.
19.2022年某军工企业抓住科技创新这个“牛鼻子”,整合资金投入研发高科技产品,并面向全球发布了首批17项科技创新重大技术需求榜单,吸引清华大学、北京大学等60余家高校院所参与,实现企业创新需求与国内知名科技创新团队的精准对接,最终该公司产品研发部决定将某项最新高新技术应用到某军事产品的生产中,计划该技术全年需投人固定成本6200万元,每生产x千件该军事产品,需另投人成本F(x)万元,且,假设该军事产品对外销售单价定为每件0.9万元,且全年内生产的该军事产品当年能全部销完.
(1)求出全年的利润G(x)万元关于年产量x千件的函数关系式;
(2)试求该企业全年产量为多少千件时,所获利润最大,并求出最大利润.
【答案】(1);
(2)该企业全年产量为9万件时,所获利润最大为15620万元.
【分析】(1)由题意利用总利润等于销量乘以销售单价减去总成本,从而可得函数关系式;
(2)利用二次函数的性质求出当时,的最大值,再利用基本不等式或导数求出时,的最大值,再比较可得答案.
【详解】(1)当时,,
当时,,
所以.
(2)若,则,
当时,;
若,
解法一:,
当且仅当,即时,等号成立,此时.
解法二:,则,当时,单调递增,当时,单调递减,
所以.
因为,
所以该企业全年产量为9万件时,所获利润最大为15620万元.
20.在平面四边形ABCD中,AD=BD=1,.
(1)求四边形ABCD面积的最大值;
(2)求对角线AC长的取值范围.
【答案】(1);
(2).
【分析】(1)四边形ABCD面积由两个三角形面积组成,表示出面积,用余弦定理结合基本不等式可求得面积的最大值.
(2)对角线长由余弦定理表示为,结合正弦定理,用辅助角公式化简求取值范围.
【详解】(1)因为AD=BD=1,,所以三角形ABD为正三角形.设BC=a,CD=b.
在三角形BCD中,由余弦定理得,
所以,
所以,
因为,所以,当且仅当时取等号,
所以四边形ABCD的面积,即最大值为;
(2)设,
在三角形BCD中,由正弦定理得,
,所以,
在三角形ABC中,由余弦定理得,
,
因为,所以,所以.
21.在三棱锥中,已知平面平面BCD,且,,,.
(1)证明:平面ACD;
(2)若,,,求平面与平面夹角的正弦值.
【答案】(1)证明见解析
(2).
【分析】(1)根据勾股定理得到,根据面面垂直得到,得到证明.
(2)如图所示建立空间直角坐标系,再计算各点坐标,计算两个平面的法向量,根据向量的夹角公式计算得到答案.
【详解】(1)因为,,,所以,所以,
又因为平面平面BCD,平面平面,故平面,
平面,所以,
因为,所以平面.
(2)因为平面ACD,平面ACD,所以,
因为,,所以,,
以为坐标原点,向量,分别为x,z轴,在平面BCD内,过点与BD垂直的直线为轴,建立空间直角坐标系,
所以,,,,,
因为,
所以,所以,,
设平面CDE的一个法向量为,所以,
令,则,所以,
又平面ABD的一个法向量为,设平面CDE与平面ABD夹角为,
所以,所以,
即平面CDE与平面ABD夹角的正弦值为.
22.设函数,.
(1)当时,求的值域;
(2)当时,试判断函数的零点个数.
【答案】(1)
(2)的零点个数为2
【分析】(1)对求导,利用导数与函数的单调性求得的单调性,进而可求得在上的最值,由此得解;
(2)对求导,分类讨论、与三种情况,结合正余弦函数的图像性质判断得的单调性及正负情况,利用零点存在定理即可判断得的零点个数.
【详解】(1)依题意,得,
令,得,
当时,,单调递增;
当时,,单调递减,
所以,
因为,,所以,
所以的值域为.
(2)函数,,
则,
令,则,
令,得;令,得;
所以在上单调递减,在上单调递增,
故,故,
①当时,,
可知,,,,所以,,
所以,所以在上单调递增,
又因为,,
所以在上有一个零点;
②当时,,,
所以,所以在上恒成立,
所以在无零点;
③当时,,
因为,所以,,故,又,
所以,则在单调递减,
又因为,,
所以在上存在一个零点,
综上:当时,的零点个数为2.
【点睛】方法点睛:导函数中常用的两种常用的转化方法:
一是利用导数研究含参函数的单调性,常化为不等式恒成立问题.注意分类讨论与数形结合思想的应用;
二是函数的零点、不等式证明常转化为函数的单调性、极(最)值问题处理.
2024届福建省名校联盟全国优质校高三上学期2月大联考数学试题: 这是一份2024届福建省名校联盟全国优质校高三上学期2月大联考数学试题,文件包含数学试题docx、福建名校联盟优质校数学试题pdf、数学试卷2pdf、名校联盟全国优质校2024届高三大联考数学参考答案pdf等4份试卷配套教学资源,其中试卷共19页, 欢迎下载使用。
安徽省名校联盟2023-2024学年高三上学期实验班12月大联考数学试题(Word版附解析): 这是一份安徽省名校联盟2023-2024学年高三上学期实验班12月大联考数学试题(Word版附解析),共18页。试卷主要包含了选择题必须使用2B铅笔填涂,下列判断正确的是等内容,欢迎下载使用。
2024届皖豫名校联盟高中毕业班高三上学期10月大联考数学试题含解析: 这是一份2024届皖豫名校联盟高中毕业班高三上学期10月大联考数学试题含解析,共20页。试卷主要包含了单选题,多选题,填空题,解答题等内容,欢迎下载使用。

