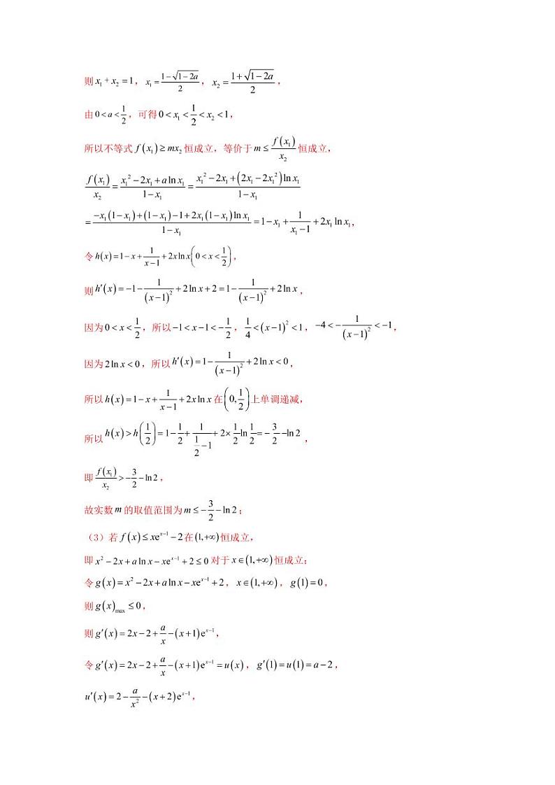
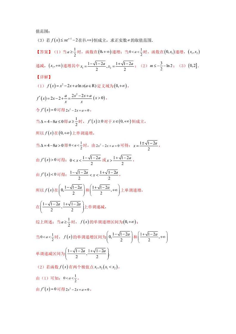
资料中包含下列文件,点击文件名可预览资料内容
还剩19页未读,
继续阅读
专题11导数及其应用(利用导数研究双变量问题)学生及教师版
展开
这是一份专题11导数及其应用(利用导数研究双变量问题)学生及教师版,文件包含专题11导数及其应用利用导数研究双变量问题教师版pdf、专题11导数及其应用利用导数研究双变量问题学生版pdf等2份试卷配套教学资源,其中试卷共30页, 欢迎下载使用。
相关试卷
2024年高考数学第二轮复习 专题10 利用导数研究双变量问题(全题型压轴题)(学生版+教师版):
这是一份2024年高考数学第二轮复习 专题10 利用导数研究双变量问题(全题型压轴题)(学生版+教师版),文件包含2024年高考数学第二轮复习专题10利用导数研究双变量问题全题型压轴题教师版docx、2024年高考数学第二轮复习专题10利用导数研究双变量问题全题型压轴题学生版docx等2份试卷配套教学资源,其中试卷共27页, 欢迎下载使用。
新高考数学二轮复习导数培优专题16 利用导数研究双变量问题(含解析):
这是一份新高考数学二轮复习导数培优专题16 利用导数研究双变量问题(含解析),共24页。试卷主要包含了单选题,多选题,填空题,解答题等内容,欢迎下载使用。
能力拓展06 利用导数研究双变量问题(6种考向):
这是一份能力拓展06 利用导数研究双变量问题(6种考向),文件包含能力拓展06利用导数研究双变量问题6种考向解析版docx、能力拓展06利用导数研究双变量问题6种考向原卷版docx等2份试卷配套教学资源,其中试卷共79页, 欢迎下载使用。

