山西省运城市2021-2022学年高一上学期期末数学试题
展开运城市2021~2022学年高一1月份期末调研测试数学
一、选择题:本题共12小题,每小题5分,共60分.在每小题给出的四个选项中,只有一项是符合题目要求的.
1. 下列各角中,与角1560°终边相同的角是( )
A. 180° B. -240° C. -120° D. 60°
【答案】B
2. 已知集合,,则( )
A. B. C. D.
【答案】C
3. 设,则“”是“”的( )
A. 充分不必要条件 B. 必要不充分条件
C. 充要条件 D. 既不充分也不必要条件
【答案】A
4. 如果,且,那么下列命题中正确的是( )
A. 若,则 B. 若,则
C. 若,则 D. 若,则
【答案】D
5. 下列函数中,同时满足:①在上是增函数,②为奇函数,③最小正周期为的函数是( )
A B. C. D.
【答案】D
6. 农业农村部于2021年2月3日发布信息:全国按照主动预防、内外结合、分类施策、有效处置总体要求,全面排查蝗灾隐患.为了做好蝗虫防控工作,完善应急预案演练,专家假设蝗虫的日增长率为6%,最初有只,则大约经过( )天能达到最初的1200倍.
(参考数据:,,,)
A. 122 B. 124 C. 130 D. 136
【答案】A
7. 函数的最大值是( )
A. B. 1 C. D. 2
【答案】C
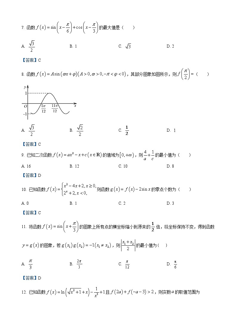
8. 函数,其部分图象如图所示,则( )
A. B. C. D.
【答案】C
9. 已知二次函数的值域为,则的最小值为( )
A. 16 B. 12 C. 10 D. 8
【答案】D
10. 已知函数则函数的零点个数为( )
A. 0 B. 1 C. 2 D. 3
【答案】C
11. 将函数的图象上所有点的横坐标缩小到原来的倍,纵坐标保持不变,得到函数的图象,若,则的最小值为( )
A. B. C. D.
【答案】D
12. 已知函数且,则实数的取值范围为( )
A. B. C. D.
【答案】B
二、填空题:本题共4小题,每小题5分,共20分.
13. 命题“,”的否定是_________.
【答案】,##
14. 不等式的解集为,则的取值范围是_________.
【答案】[0,1)##0≤k<1
15. 已知函数,的值域为,则实数的取值范围为__________.
【答案】##
16. 已知函数,,若对任意的,都存在,使得,则实数的取值范围为_________.
【答案】##a≤
三、解答题:本题共6小题,共70分.解答应写出文字说明、证明过程或演算步骤.
17. 已知角的顶点在坐标原点,始边与轴的非负半轴重合,终边经过点.
(1)求;
(2)求的值.
【答案】(1);
(2)
18. 已知幂函数的图象经过点.
(1)求的解析式;
(2)用定义证明:函数在区间上单调递增.
【答案】(1);
(2)证明见解析.
19. 已知函数.
(1)求函数的最小正周期;
(2)求的单调递增区间.
【答案】(1);
(2),.
20. 王先生发现他的几位朋友从事电子产品的配件批发,生意相当火爆.因此,王先生将自己的工厂转型生产小型电子产品的配件.经过市场调研,生产小型电子产品的配件.需投入固定成本为2万元,每生产万件,还需另投入万元,在年产量不足8万件时,(万元);在年产量不低于8万件时,(万元).每件产品售价为4元.通过市场分析,王先生生产的电子产品的配件都能在当年全部售完.
(1)写出年利润(万元)关于年产量(万件)的函数解析式;
(2)求年产量为多少万件时,王先生在电子产品的配件的生产中所获得的年利润最大?并求出年利润的最大值?
【答案】(1);
(2)当年产量为13万件时,王先生在电子产品配件的生产中所获得的年利润最大,年利润的最大值为6万元.
21. 已知函数.
(1)求函数的定义域;
(2)若对任意恒有,求实数的取值范围.
【答案】(1)答案见解析;
(2).
22. 已知函数.
(1)求函数的最大值及相应的取值;
(2)方程在上有且只有一个解,求实数的取值范围;
(3)是否存在实数满足对任意,都存在,使成立.若存在,求的取值范围;若不存在,说明理由.
【答案】(1)2,
(2)或
(3)存在,
山西省运城市2022-2023学年高一上学期期末数学试题: 这是一份山西省运城市2022-2023学年高一上学期期末数学试题,共19页。试卷主要包含了答题时使用0,保持卡面清洁,不折叠,不破损, 已知,,,则, 我国著名数学家华罗庚曾说, 下列说法正确的是等内容,欢迎下载使用。
山西省运城市2022-2023学年高一上学期期末数学试题: 这是一份山西省运城市2022-2023学年高一上学期期末数学试题,共19页。试卷主要包含了答题时使用0,保持卡面清洁,不折叠,不破损, 已知,,,则, 我国著名数学家华罗庚曾说, 下列说法正确的是等内容,欢迎下载使用。
山西省运城市2022-2023学年高一上学期期末数学试题: 这是一份山西省运城市2022-2023学年高一上学期期末数学试题,共19页。试卷主要包含了答题时使用0,保持卡面清洁,不折叠,不破损, 已知,,,则, 我国著名数学家华罗庚曾说, 下列说法正确的是等内容,欢迎下载使用。

