所属成套资源:高考数学之函数的零点问题专项突破 全国通用
专题二 函数(方程)零点(解)的个数判断(简单函数+复杂函数)-最新高考数学之函数的零点问题专项突破(全国通用)
展开
这是一份专题二 函数(方程)零点(解)的个数判断(简单函数+复杂函数)-最新高考数学之函数的零点问题专项突破(全国通用)
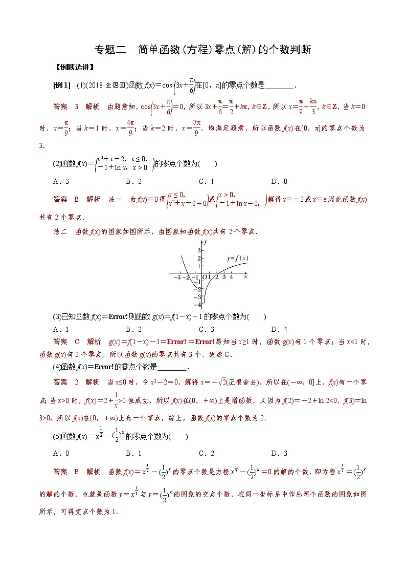
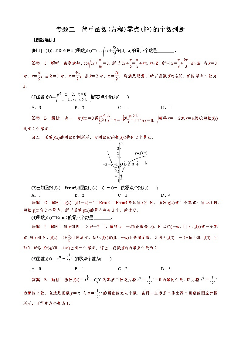
专题二 复杂函数(方程)零点(解)的个数判断 【例题选讲】[例1] (1)已知f(x)是定义在R上的奇函数,且x>0时,f(x)=ln x-x+1,则函数g(x)=f(x)-ex(e为自然对数的底数)的零点个数是( )A.0 B.1 C.2 D.3答案 C 解析 当x>0时,f(x)=ln x-x+1,f′(x)=eq \f(1,x)-1=eq \f(1-x,x),所以x∈(0,1)时f′(x)>0,此时f(x)单调递增;x∈(1,+∞)时,f′(x)0时,f(x)max=f(1)=ln 1-1+1=0.根据函数f(x)是定义在R上的奇函数作出函数y=f(x)与y=ex的大致图象如图所示,观察到函数y=f(x)与y=ex的图象有两个交点,所以函数g(x)=f(x)-ex(e为自然对数的底数)有2个零点.(2)已知函数y=f(x)是周期为2的周期函数,且当x∈[-1,1]时,f(x)=2|x|-1,则函数F(x)=f(x)-|lg x|的零点个数是( )A.9 B.10 C.11 D.18答案 B 解析 在坐标平面内画出y=f(x)与y=|lg x|的大致图象如图,由图象可知,它们共有10个不同的交点,因此函数F(x)=f(x)-|lg x|的零点个数是10.(3)设函数f(x)是定义在R上的偶函数,且f(x+2)=f(2-x),当x∈[-2,0]时,f(x)=-1,则在区间(-2,6)上关于x的方程f(x)-log8(x+2)=0的解的个数为( )A.1 B.2 C.3 D.4答案 C 解析 原方程等价于y=f(x)与y=log8(x+2)的图象的交点个数问题,由f(x+2)=f(2-x),可知f(x)的图象关于x=2对称,再根据f(x)是偶函数这一性质,可由f(x)在[-2,0]上的解析式,作出f(x)在(0,2)上的图象,进而作出f(x)在(-2,6)上的图象,如图所示.再在同一坐标系下,画出y=log8(x+2)的图象,注意其图象过点(6,1),由图可知,两图象在区间(-2,6)内有三个交点,从而原方程有三个根,故选C.(4)定义在R上的函数f(x),满足f(x)=eq \b\lc\{(\a\vs4\al\co1(x2+2,x∈[0,1),,2-x2,x∈[-1,0),))且f(x+1)=f(x-1),若g(x)=3-log2x,则函数F(x)=f(x)-g(x)在(0,+∞)内的零点有( )A.3个 B.2个 C.1个 D.0个答案 B 解析 由f(x+1)=f(x-1),即f(x+2)=f(x),知y=f(x)的周期T=2.在同一坐标系中作出y=f(x)与y=g(x)的图象(如图).由于两函数图象有2个交点.所以函数F(x)=f(x)-g(x)在(0,+∞)内有2个零点.(5)若函数f(x)的图象上存在两个不同点A,B关于原点对称,则称A,B两点为一对“优美点”,记作(A,B),规定(A,B)和(B,A)是同一对“优美点”.已知f(x)=eq \b\lc\{\rc\ (\a\vs4\al\co1(|cosx|,x≥0,,-lg -x,x0)的解的个数,也是函数y=|cosx|与y=lg x的图象的交点个数,如图,作函数y=|cosx|与y=lg x的图象,由图可知,共有7个交点,函数f(x)的图象上存在“优美点”共有7对.故选D.[题后悟通] 复杂函数(方程)的零点的个数(方程的解)的判断多采用数形结合法:对于给定的函数不能直接求解或画出图象的,常分解转化为两个能画出图象的函数的交点问题.即将函数y=f(x)-g(x)的零点个数转化为函数y=f(x)与y=g(x)图象公共点的个数来判断.但其中一个函数往往比较复杂,可能涉及到函数的奇偶性周期性等函数的性质,需要有强大的画图能力.【对点训练】1.已知f(x)是定义在R上的奇函数,当x≥0时,f(x)=x2-3x,则函数g(x)=f(x)-x+3的零点的集合为( )A.{1,3} B.{-3,-1,1,3} C.{2-eq \r(7),1,3} D.{-2-eq \r(7),1,3}2.f(x)是定义在R上的奇函数,且当x∈(0,+∞)时,f(x)=2 020x+log2 020x,则函数f(x)的零点个数是__________.3.已知函数f(x)是偶函数,f(0)=0,且x>0时,f(x)是增函数,f(3)=0,则函数g(x)=f(x)+lg|x+1|的零点个数为________.4.若定义在R上的偶函数f(x)满足f(x+2)=f(x),且x∈[0,1]时,f(x)=x,则方程f(x)=log3|x|的零点个数是( )A.2 B.3 C.4 D.多于45.已知定义在R上的函数y=f(x)对任意的x都满足f(x+1)=-f(x),且当0≤x
相关试卷
这是一份备考2024届高考数学一轮复习强化训练第二章函数第7讲函数的零点与方程的解复合函数的零点问题,共3页。
这是一份专题七 复合函数的零点问题-最新高考数学之函数的零点问题专项突破(全国通用)
这是一份专题六 与零点相关的不等式问题-最新高考数学之函数的零点问题专项突破(全国通用)

