《新高考数学大二轮复习课件》专题六 第4讲 母题突破4 探索性问题
展开母题突破4 探索性问题
思路分析❶设直线AB的方程,并联立椭圆C的方程↓❷求|AT|2,|BT|2↓❸计算|AT|2+|BT|2↓❹整理分析,下结论
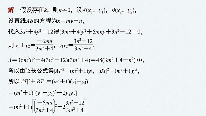
解 假设存在k,则k≠0,设A(x1,y1),B(x2,y2),设直线AB的方程为x=my+n,代入3x2+4y2=12得(3m2+4)y2+6mny+3n2-12=0,
Δ=36m2n2-4(3n2-12)(3m2+4)=48(3m2+4-n2)>0,
=(m2+1)[(y1+y2)2-2y1y2]
子题1 已知椭圆C: +y2=1的左、右焦点分别为F1,F2,左、右顶点分别为A1,A2.椭圆C上是否存在点P(异于点A1,A2),使得直线PA1,PA2与直线x=4分别交于点E,F,且|EF|=1?若存在,求出点P的坐标;若不存在,请说明理由.
解 假设存在满足题意的点P.不妨设P(x0,y0)(y0>0),则-2
子题2 已知抛物线C:y2=4x,过点M(8,-4)的直线l交抛物线C于不同的A,B两点,在抛物线C上是否存在定点N,使得以线段AB为直径的圆恒过点N?若存在,求出点N的坐标;若不存在,请说明理由.
设过点M(8,-4)的直线l的方程为x=m(y+4)+8,
则Δ=16m2+4(16m+32)=16(m2+4m+8)=16[(m+2)2+4]>0,
∵点N总在以弦AB为直径的圆上,∴∠ANB=90°,
当y1=y0或y2=y0,等式成立,当y1≠y0且y2≠y0,有(y1+y0)(y2+y0)=-16,
即4m(y0-4)+(y0-4)(y0+4)=0,∴当y0=4时,无论m取何值等式都成立,将y0=4代入y2=4x,得x0=4,∴N(4,4),综上所述,存在点N(4,4),使得以弦AB为直径的圆恒过点N.
探索性问题的求解策略(1)若给出问题的一些特殊关系,要探索一般规律,并能证明所得规律的正确性,通常要对已知关系进行观察、比较、分析,然后概括一般规律.(2)若只给出条件,求“不存在”“是否存在”等语句表述问题时,一般先对结论给出肯定的假设,然后由假设出发,结合已知条件进行推理,从而得出结论.
解 连接ON(图略),由|F1N|=|MN|,且|OF1|=|OF2|,∴ON为△MF1F2的中位线,∴|MF2|=2|ON|=2且MF1⊥MF2,∴根据椭圆的定义可得,|MF1|=2a-2,
∴|MF1|=|MF2|=2,
(2)椭圆C上是否存在三个点A,B,P,使得直线AB过椭圆C的左焦点F1,且四边形OAPB是平行四边形?若存在,求出直线AB的方程;若不存在,请说明理由.
2.(2021·全国甲卷)抛物线C的顶点为坐标原点O,焦点在x轴上,直线l:x=1交C于P,Q两点,且OP⊥OQ.已知点M(2,0),且⊙M与l相切.(1)求C,⊙M的方程;
解 由题意知,直线x=1与C交于P,Q两点,且OP⊥OQ,设C的焦点为F,P在第一象限,则根据抛物线的对称性,∠POF=∠QOF=45°,所以P(1,1),Q(1,-1).
所以C的方程为y2=x.因为圆心M(2,0)到l的距离即⊙M的半径,且距离为1,所以⊙M的方程为(x-2)2+y2=1.
(2)设A1,A2,A3是C上的三个点,直线A1A2,A1A3均与⊙M相切.判断直线A2A3与⊙M的位置关系,并说明理由.
解 直线A2A3与⊙M相切,理由如下:设A1(x1,y1),A2(x2,y2),A3(x3,y3),当A1,A2,A3中有一个为坐标原点,另外两个点的横坐标均为3时,满足条件,此时直线A2A3与⊙M相切.当x1≠x2≠x3时,直线A1A2:x-(y1+y2)y+y1y2=0,
直线A2A3的方程为x-(y2+y3)y+y2y3=0,设点M到直线A2A3的距离为d(d>0),
所以直线A2A3与⊙M相切.综上可得,直线A2A3与⊙M相切.
(1)求椭圆C的方程;
解 依题意知2c=2,∴c=1,又a+c=3(a-c),∴a=2,∴b2=a2-c2=3,
(2)不平行于坐标轴的直线l过右焦点F2与椭圆C相交于A,B两点,在y轴上是否存在点D,使得△ABD为正三角形,若存在,求出点D的坐标,若不存在,请说明理由.
解 设直线l:y=k(x-1),A(x1,y1),B(x2,y2),
假设存在点D,则MD的直线方程为
2.已知动圆C过点A(-2,0),且与圆M:(x-2)2+y2=64相内切.(1)求动圆C的圆心的轨迹方程;
解 圆M:(x-2)2+y2=64, 圆心M的坐标为(2,0),半径R=8.∵|AM|=4
Δ1 =(8km)2-4(3+4k2)(4m2-48)>0.①
Δ2 =(-2km)2+4(3-k2)(m2+12)>0.②
∵m∈Z,∴m的值为-3,-2,-1,0,1 ,2,3;
∵k∈Z,∴k=-1,0,1. ∴满足条件的直线共有9条.
专题六 第4讲 母题突破4 探究性问题--高三高考数学复习-PPT: 这是一份专题六 第4讲 母题突破4 探究性问题--高三高考数学复习-PPT,共47页。PPT课件主要包含了母题突破4,探究性问题,规律方法,又∵M是AB的中点,∵MN⊥x轴,专题强化练,所以直线PN的斜率,所以直线NQ的斜率等内容,欢迎下载使用。
新高考版高考数学二轮复习(新高考版) 第1部分 专题突破 专题6 第4讲 母题突破4 探索性问题课件PPT: 这是一份新高考版高考数学二轮复习(新高考版) 第1部分 专题突破 专题6 第4讲 母题突破4 探索性问题课件PPT,共37页。PPT课件主要包含了高考数学二轮复习策略,专题强化练等内容,欢迎下载使用。
新高考数学二轮复习专题六第4讲母题突破4探索性问题课件: 这是一份新高考数学二轮复习专题六第4讲母题突破4探索性问题课件,共35页。PPT课件主要包含了∵Qx0t,规律方法,解得a2=1,专题强化练等内容,欢迎下载使用。

