还剩2页未读,
继续阅读
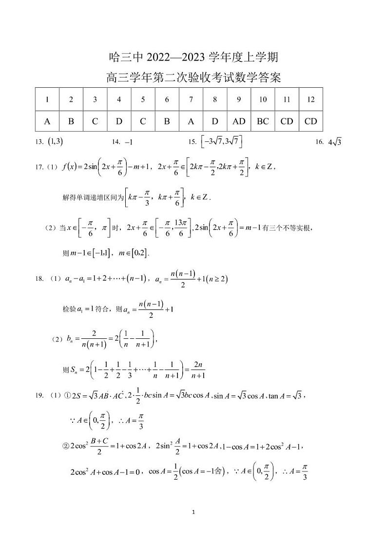
黑龙江省哈尔滨市第三中学2022-2023学年高三上学期第二次验收考试数学试题答案
展开
这是一份黑龙江省哈尔滨市第三中学2022-2023学年高三上学期第二次验收考试数学试题答案,共4页。
相关试卷
2021届黑龙江省哈尔滨市第三中学校高三上学期第二次验收考试数学(文)试题(解析版):
这是一份2021届黑龙江省哈尔滨市第三中学校高三上学期第二次验收考试数学(文)试题(解析版),共18页。试卷主要包含了单选题,填空题,解答题等内容,欢迎下载使用。
2023届黑龙江省哈尔滨市第三中学校高三上学期第二次验收考试数学试题含解析:
这是一份2023届黑龙江省哈尔滨市第三中学校高三上学期第二次验收考试数学试题含解析,共20页。试卷主要包含了单选题,多选题,填空题,解答题等内容,欢迎下载使用。
黑龙江省哈尔滨市第三中学校2022-2023学年高三上学期第二次验收考试数学试题:
这是一份黑龙江省哈尔滨市第三中学校2022-2023学年高三上学期第二次验收考试数学试题,共6页。

