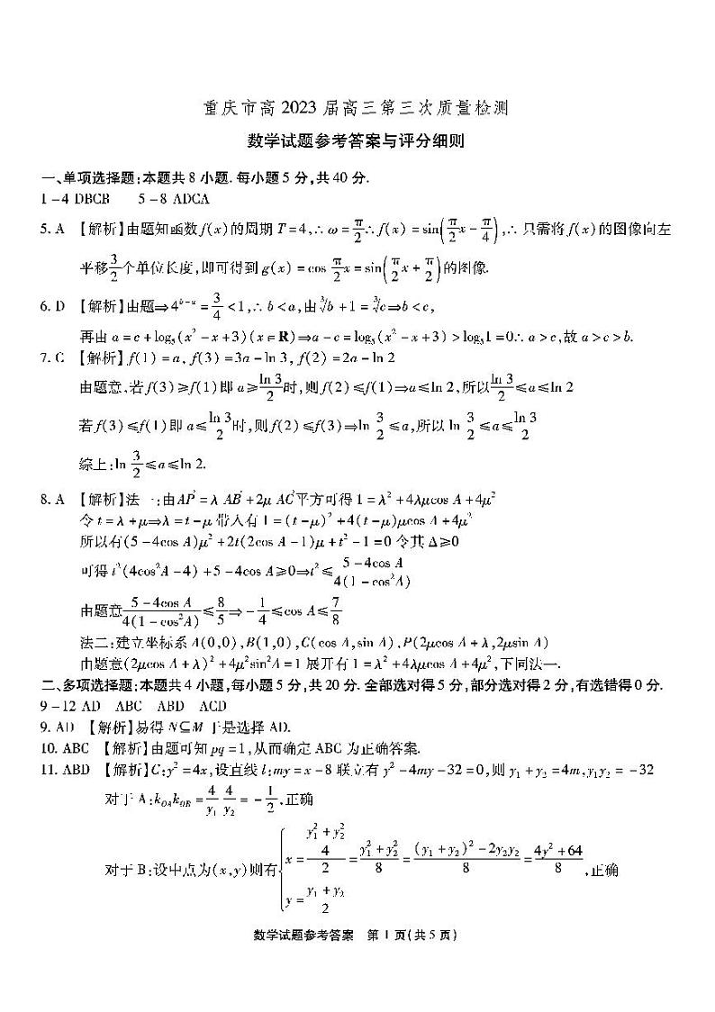
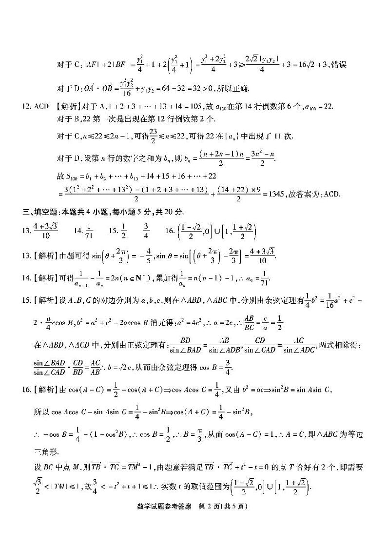
2023重庆市南开中学高三上学期11月第三次质量检测数学PDF版含解析
展开2022-2023学年重庆市南开中学高三上学期第三次质量检测数学试题(PDF版): 这是一份2022-2023学年重庆市南开中学高三上学期第三次质量检测数学试题(PDF版),共10页。
2022-2023学年重庆市南开中学高三上学期11月第三次质量检测 数学 PDF版: 这是一份2022-2023学年重庆市南开中学高三上学期11月第三次质量检测 数学 PDF版,文件包含南开第三次联考-数学试题pdf、南开第三次联考-数学答案pdf等2份试卷配套教学资源,其中试卷共7页, 欢迎下载使用。
重庆市南开中学2023届高三上学期第三次质量检测数学试题 Word版含解析: 这是一份重庆市南开中学2023届高三上学期第三次质量检测数学试题 Word版含解析,共23页。试卷主要包含了11, 已知复数, 已知平面向量,,满足, 设Z表示整数集,且集合,,则等内容,欢迎下载使用。

