2021石家庄二中高二8月线上考试(二)数学试题含答案
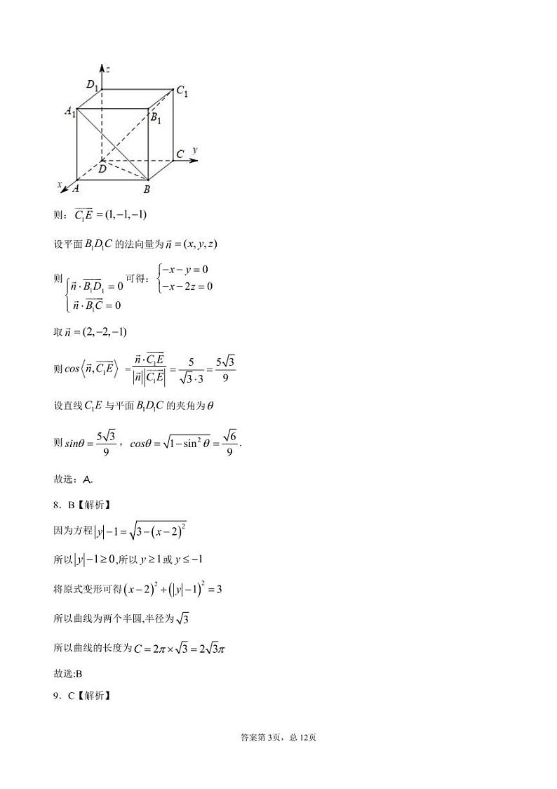
展开石家庄二中2020-2021学年高二8月线上考试(二)数学一、单选题(每小题5分)1.若,且,则下列不等式一定成立的是( )A. B. C. D.2.已知正数满足,则的最小值是( )A.18 B.16 C.8 D.103.已知等比数列中,,数列是等差数列,且,则( )A.3 B.6 C.7 D.84.如图是一个多面体的三视图,这个多面体某条棱的一个端点在正视图中对应的点为,在俯视图中对应的点为,则该端点在侧视图中对应的点为( )A. B. C. D.5.已知⊙M:,直线:,为上的动点,过点作⊙M的切线,切点为,当最小时,直线的方程为( )A. B. C. D.6.在△ABC中,角A,B,C所对的边分别为,若,则B=A.45° B.45°或135° C.30° D.30°或150°7.长方体中,为棱的中点,则直线与平面所成角的余弦值为( )A. B. C. D.8.方程所表示的曲线的长度是 ( )A. B. C. D.9.已知△ABC是面积为的等边三角形,且其顶点都在球O的球面上.若球O的表面积为16π,则O到平面ABC的距离为( )A. B. C.1 D.10.数列中,,,若,则( )A.2 B.3 C.4 D.511.在三棱锥中,,,,,若该三棱锥的体积为,则三棱锥外接球的体积为( )A. B. C.π D.12.已知椭圆C的焦点为,过F2的直线与C交于A,B两点.若,,则C的方程为 ( )A. B. C. D.二、填空题(每小题5分)13.若x,y满足约束条件则z=x+7y的最大值为______________.14.在中,,,则________15.已知椭圆的左、右焦点分别为 为椭圆上一点,,则______.16.如图,在四棱锥中,四边形为菱形,且是等边三角形,点是侧面内的一个动点,且满足,则点所形成的轨迹长度是_______.三、解答题17.(8分)已知等差数列{an}的前n项的和记为Sn.如果,.(1)求数列{an}的通项公式;(2)求Sn的最小值及其相应的n的值;18.(10分)的内角、、的对边分别为、、,已知,的面积为.(1)若,求的周长;(2)求的最大值.19.(10分)如图,在三棱锥中,平面,平面平面,.(1)证明:平面;(2)若二面角的余弦值为,线段的长.20.(12分)已知点,设的面积为,内切圆半径为,且(1)求点的轨迹的方程;(2)已知,点是直线上的动点,直线与曲线的一个交点为.直线与曲线的一个交点为 ,并且都不在坐标轴上.求证:直线经过定点.
2020-2021学年河北省石家庄市第二中学高二上学期期中考试(竞赛班)数学试题: 这是一份2020-2021学年河北省石家庄市第二中学高二上学期期中考试(竞赛班)数学试题,共7页。
2023重庆市万州二中高二上学期12月线上考试数学含答案: 这是一份2023重庆市万州二中高二上学期12月线上考试数学含答案,文件包含数学试题docx、数学答案docx等2份试卷配套教学资源,其中试卷共9页, 欢迎下载使用。
新疆伊犁州霍城县第二中学2022-2023学年高二上学期(线上)期中考试数学试题(含答案): 这是一份新疆伊犁州霍城县第二中学2022-2023学年高二上学期(线上)期中考试数学试题(含答案),共10页。试卷主要包含了请将答案正确填写在答题卡上,若直线与平行,则实数,点到直线的距离是,已知椭圆过点,则其焦距为等内容,欢迎下载使用。

