资料中包含下列文件,点击文件名可预览资料内容
还剩2页未读,
继续阅读
2021济宁鱼台县一中高二下学期第一次月考数学试题(可编辑)PDF版含答案
展开
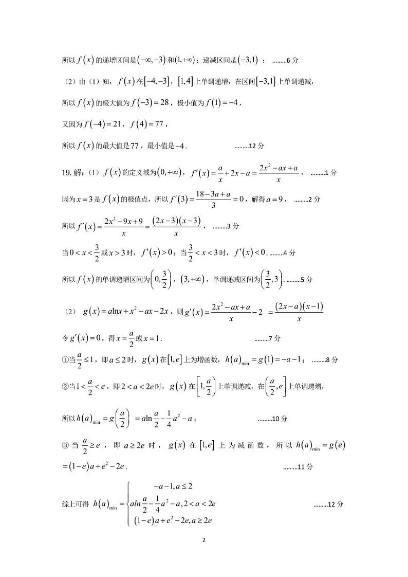
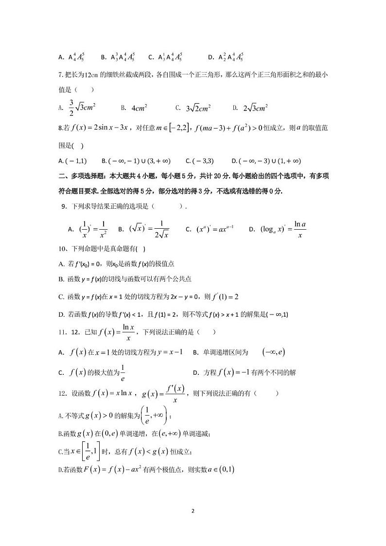
这是一份2021济宁鱼台县一中高二下学期第一次月考数学试题(可编辑)PDF版含答案,文件包含高二数学答案pdf、山东省济宁市鱼台县第一中学2020-2021学年高二下学期第一次月考数学试题可编辑PDF版pdf等2份试卷配套教学资源,其中试卷共10页, 欢迎下载使用。
相关试卷
2021济宁鱼台县一中高一上学期第一次月考(10月)数学试题含答案:
这是一份2021济宁鱼台县一中高一上学期第一次月考(10月)数学试题含答案,共6页。试卷主要包含了单项选择题,多项选择题,填空题,解答题 17.解等内容,欢迎下载使用。
2021济宁鱼台县一中高一1月月考数学试题含答案:
这是一份2021济宁鱼台县一中高一1月月考数学试题含答案,共8页。试卷主要包含了选择题,填空题,解答题等内容,欢迎下载使用。
2020永安一中高二下学期第一次月考数学试题(可编辑)PDF版含答案:
这是一份2020永安一中高二下学期第一次月考数学试题(可编辑)PDF版含答案

