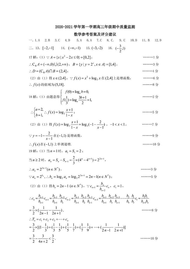
2021太原高三上学期期中考试数学试题图片版含答案
展开2021佛山顺德区高一上学期(期中考试)数学试题图片版含答案: 这是一份2021佛山顺德区高一上学期(期中考试)数学试题图片版含答案,共11页。
2021山西名校高二上学期期中考试数学试题图片版含答案: 这是一份2021山西名校高二上学期期中考试数学试题图片版含答案,文件包含山西省2020-2021学年山西名校高二上学期期中考试数学试题图片版docx、山西省2020-2021学年山西名校高二上学期期中考试数学答案pdf等2份试卷配套教学资源,其中试卷共8页, 欢迎下载使用。
2021白银靖远县高三上学期期中考试数学(理)试题图片版含答案: 这是一份2021白银靖远县高三上学期期中考试数学(理)试题图片版含答案

