2021晋中高三下学期3月适应性考试(二模)数学(文)试题含答案
展开2020赣州高三适应性考试(二模)数学(文)试题含答案: 这是一份2020赣州高三适应性考试(二模)数学(文)试题含答案,文件包含江西省赣州市2020届高三年级5月适应性考试文科数学试题word版doc、答案pdf等2份试卷配套教学资源,其中试卷共19页, 欢迎下载使用。
2021晋中高三下学期3月适应性考试(二模)数学(理)试题含答案: 这是一份2021晋中高三下学期3月适应性考试(二模)数学(理)试题含答案,共18页。试卷主要包含了已知,则等内容,欢迎下载使用。
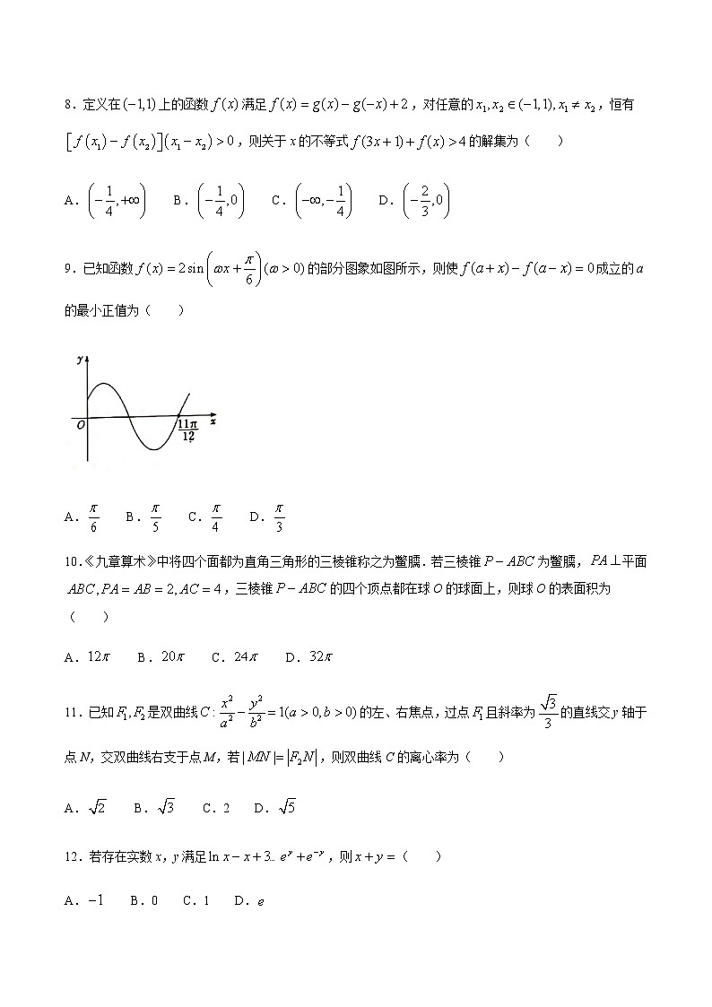
2021晋中高三下学期3月适应性考试(二模)数学(文)试题含答案: 这是一份2021晋中高三下学期3月适应性考试(二模)数学(文)试题含答案

