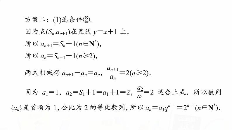
人教A版高考数学一轮总复习第6章新高考新题型微课堂6开放题命题热点之数列问题教学课件
展开第六章 数列新高考新题型微课堂 六 开放题命题热点之数列问题谢谢观看 THANK YOU!
人教A版高考数学一轮总复习第4章新高考新题型微课堂4开放题命题热点之解三角形教学课件: 这是一份人教A版高考数学一轮总复习第4章新高考新题型微课堂4开放题命题热点之解三角形教学课件,共33页。
人教A版高考数学一轮总复习第2章新高考新题型微课堂1多选题命题热点之函数性质的综合问题教学课件: 这是一份人教A版高考数学一轮总复习第2章新高考新题型微课堂1多选题命题热点之函数性质的综合问题教学课件,共14页。
人教A版高考数学一轮总复习第9章新高考新题型微课堂9多选题命题热点之统计教学课件: 这是一份人教A版高考数学一轮总复习第9章新高考新题型微课堂9多选题命题热点之统计教学课件,共25页。

