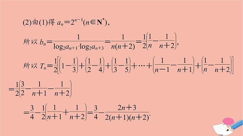
高考数学一轮复习第5章数列新高考新题型微课堂6开放题命题热点之数列问题课件
展开新高考新题型微课堂 六 开放题命题热点之数列问题第五章 数列谢谢观看 THANK YOU!
人教A版高考数学一轮总复习第4章新高考新题型微课堂4开放题命题热点之解三角形教学课件: 这是一份人教A版高考数学一轮总复习第4章新高考新题型微课堂4开放题命题热点之解三角形教学课件,共33页。
人教A版高考数学一轮总复习第6章新高考新题型微课堂6开放题命题热点之数列问题教学课件: 这是一份人教A版高考数学一轮总复习第6章新高考新题型微课堂6开放题命题热点之数列问题教学课件,共29页。
人教B版高考数学一轮总复习第5章新高考新题型微课堂6开放题命题热点之数列问题课件: 这是一份人教B版高考数学一轮总复习第5章新高考新题型微课堂6开放题命题热点之数列问题课件,共27页。

