2023年高考数学一轮复习《数列求和》精选练习(2份打包,教师版+原卷版)
展开
这是一份2023年高考数学一轮复习《数列求和》精选练习(2份打包,教师版+原卷版)
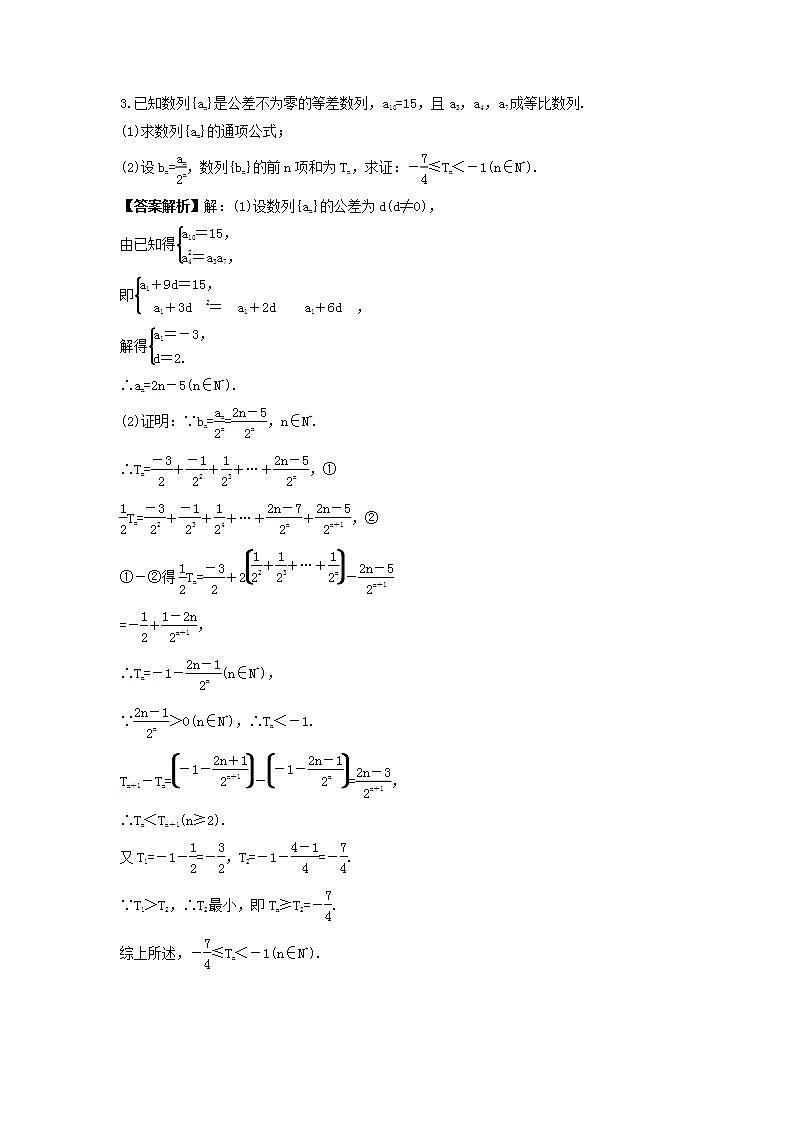
2023年高考数学一轮复习《数列求和》精选练习 LISTNUM OutlineDefault \l 3 已知数列{an}为等差数列,其中a2+a3=8,a5=3a2.(1)求数列{an}的通项公式;(2)记bn=eq \f(2,anan+1),设{bn}的前n项和为Sn,求最小的正整数n,使得Sn>eq \f(2 016,2 017).【答案解析】解:(1)设等差数列{an}的公差为d,依题意有eq \b\lc\{\rc\ (\a\vs4\al\co1(2a1+3d=8,a1+4d=3a1+3d)),解得a1=1,d=2,从而{an}的通项公式为an=2n-1,n∈N*.(2)因为bn=eq \f(2,anan+1)=eq \f(1,2n-1)-eq \f(1,2n+1),所以Sn=eq \b\lc\(\rc\)(\a\vs4\al\co1(\f(1,1)-\f(1,3)))+eq \b\lc\(\rc\)(\a\vs4\al\co1(\f(1,3)-\f(1,5)))+…+eq \b\lc\(\rc\)(\a\vs4\al\co1(\f(1,2n-1)-\f(1,2n+1)))=1-eq \f(1,2n+1),令1-eq \f(1,2n+1)>eq \f(2 016,2 017),解得n>1 008,故取n=1 009. LISTNUM OutlineDefault \l 3 已知数列{an}为单调递增数列,Sn为其前n项和,2Sn=aeq \o\al(2,n)+n.(1)求{an}的通项公式;(2)若bn=eq \f(an+2,2n+1·an·an+1),Tn为数列{bn}的前n项和,证明:Tn<eq \f(1,2).【答案解析】解:(1)当n=1时,2S1=2a1=aeq \o\al(2,1)+1,所以(a1-1)2=0,即a1=1,又{an}为单调递增数列,所以an≥1.由2Sn=aeq \o\al(2,n)+n得2Sn+1=aeq \o\al(2,n+1)+n+1,所以2Sn+1-2Sn=aeq \o\al(2,n+1)-aeq \o\al(2,n)+1,则2an+1=aeq \o\al(2,n+1)-aeq \o\al(2,n)+1,所以aeq \o\al(2,n)=(an+1-1)2.所以an=an+1-1,即an+1-an=1,所以{an}是以1为首项,1为公差的等差数列,所以an=n.(2)证明:bn=eq \f(an+2,2n+1·an·an+1)=eq \f(n+2,2n+1·n·n+1)=eq \f(1,n·2n)- SKIPIF 1 < 0 ,所以Tn=eq \b\lc\(\rc\)(\a\vs4\al\co1(\f(1,1×21)-\f(1,2×22)))+eq \b\lc\(\rc\)(\a\vs4\al\co1(\f(1,2×22)-\f(1,3×23)))+…+eq \b\lc\[\rc\](\a\vs4\al\co1(\f(1,n·2n)-\f(1,n+1·2n+1)))=eq \f(1,2)- SKIPIF 1 < 0 <eq \f(1,2). LISTNUM OutlineDefault \l 3 已知数列{an}是公差不为零的等差数列,a10=15,且a3,a4,a7成等比数列.(1)求数列{an}的通项公式;(2)设bn=eq \f(an,2n),数列{bn}的前n项和为Tn,求证:-eq \f(7,4)≤Tn<-1(n∈N*).【答案解析】解:(1)设数列{an}的公差为d(d≠0),由已知得eq \b\lc\{\rc\ (\a\vs4\al\co1(a10=15,,a\o\al(2,4)=a3a7,))即eq \b\lc\{\rc\ (\a\vs4\al\co1(a1+9d=15,,a1+3d2=a1+2da1+6d,))解得eq \b\lc\{\rc\ (\a\vs4\al\co1(a1=-3,,d=2.))∴an=2n-5(n∈N*).(2)证明:∵bn=eq \f(an,2n)=eq \f(2n-5,2n),n∈N*.∴Tn=eq \f(-3,2)+eq \f(-1,22)+eq \f(1,23)+…+eq \f(2n-5,2n),①eq \f(1,2)Tn=eq \f(-3,22)+eq \f(-1,23)+eq \f(1,24)+…+eq \f(2n-7,2n)+eq \f(2n-5,2n+1),②①-②得eq \f(1,2)Tn=eq \f(-3,2)+2eq \b\lc\(\rc\)(\a\vs4\al\co1(\f(1,22)+\f(1,23)+…+\f(1,2n)))-eq \f(2n-5,2n+1)=-eq \f(1,2)+eq \f(1-2n,2n+1),∴Tn=-1-eq \f(2n-1,2n)(n∈N*),∵eq \f(2n-1,2n)>0(n∈N*),∴Tn<-1.Tn+1-Tn=eq \b\lc\(\rc\)(\a\vs4\al\co1(-1-\f(2n+1,2n+1)))-eq \b\lc\(\rc\)(\a\vs4\al\co1(-1-\f(2n-1,2n)))=eq \f(2n-3,2n+1),∴Tn<Tn+1(n≥2).又T1=-1-eq \f(1,2)=-eq \f(3,2),T2=-1-eq \f(4-1,4)=-eq \f(7,4).∵T1>T2,∴T2最小,即Tn≥T2=-eq \f(7,4).综上所述,-eq \f(7,4)≤Tn<-1(n∈N*). LISTNUM OutlineDefault \l 3 已知{an}为等差数列,前n项和为Sn(n∈N*),{bn}是首项为2的等比数列,且公比大于0,b2+b3=12,b3=a4-2a1,S11=11b4.(1)求{an}和{bn}的通项公式;(2)求数列{a2nb2n-1}的前n项和(n∈N*).【答案解析】解:(1)设等差数列{an}的公差为d,等比数列{bn}的公比为q.由已知b2+b3=12,得b1(q+q2)=12,而b1=2,所以q2+q-6=0.又因为q>0,解得q=2.所以bn=2n.由b3=a4-2a1,可得3d-a1=8.①由S11=11b4,可得a1+5d=16.②由①②,解得a1=1,d=3,由此可得an=3n-2.所以数列{an}的通项公式为an=3n-2,数列{bn}的通项公式为bn=2n.(2)设数列{a2nb2n-1}的前n项和为Tn,由a2n=6n-2,b2n-1=2×4n-1,得a2nb2n-1=(3n-1)×4n,故Tn=2×4+5×42+8×43+…+(3n-1)×4n,4Tn=2×42+5×43+8×44+…+(3n-4)×4n+(3n-1)×4n+1,上述两式相减,得-3Tn=2×4+3×42+3×43+…+3×4n-(3n-1)×4n+1=eq \f(12×1-4n,1-4)-4-(3n-1)×4n+1=-(3n-2)×4n+1-8.故Tn=eq \f(3n-2,3)×4n+1+eq \f(8,3).所以数列{a2nb2n-1}的前n项和为eq \f(3n-2,3)×4n+1+eq \f(8,3). LISTNUM OutlineDefault \l 3 已知各项均为正数的数列{an}的前n项和为Sn,满足aeq \o\al(2,n+1)=2Sn+n+4,a2-1,a3,a7恰为等比数列{bn}的前3项.(1)求数列{an},{bn}的通项公式;(2)若cn=eq \f(log2bn,bn)-eq \f(1,anan+1),求数列{cn}的前n项和Tn.【答案解析】解:(1)因为aeq \o\al(2,n+1)=2Sn+n+4,所以aeq \o\al(2,n)=2Sn-1+n-1+4(n≥2),两式相减得aeq \o\al(2,n+1)-aeq \o\al(2,n)=2an+1,所以aeq \o\al(2,n+1)=aeq \o\al(2,n)+2an+1=(an+1)2,所以an+1-an=1.又aeq \o\al(2,3)=(a2-1)a7,所以(a2+1)2=(a2-1)(a2+5),解得a2=3,又aeq \o\al(2,2)=2a1+1+4,所以a1=2,所以{an}是以2为首项,1为公差的等差数列,所以an=n+1.故b1=2,b2=4,b3=8,所以bn=2n.(2)由(1)得,cn=eq \f(n,2n)-eq \f(1,n+1n+2),故Tn=c1+c2+…+cn=eq \b\lc\(\rc\)(\a\vs4\al\co1(\f(1,2)+\f(2,4)+…+\f(n,2n)))-eq \b\lc\[\rc\ (\a\vs4\al\co1(\f(1,2×3)))+eq \f(1,3×4)+…+eq \b\lc\ \rc\](\a\vs4\al\co1(\f(1,n+1n+2))).设Fn=eq \f(1,2)+eq \f(2,4)+…+eq \f(n,2n),则eq \f(1,2)Fn=eq \f(1,22)+eq \f(2,23)+…+eq \f(n,2n+1),作差得eq \f(1,2)Fn=eq \f(1,2)+eq \f(1,22)+…+eq \f(1,2n)-eq \f(n,2n+1),所以Fn=2-eq \f(n+2,2n).设Gn=eq \f(1,2×3)+eq \f(1,3×4)+…+eq \f(1,n+1n+2)=eq \f(1,2)-eq \f(1,3)+eq \f(1,3)-eq \f(1,4)+…+eq \f(1,n+1)-eq \f(1,n+2)=eq \f(1,2)-eq \f(1,n+2),所以Tn=2-eq \f(n+2,2n)-(eq \f(1,2)-eq \f(1,n+2))=eq \f(3,2)-eq \f(n+2,2n)+eq \f(1,n+2). LISTNUM OutlineDefault \l 3 在数列{an}中,a1=2,an+1=2(1+)an(n∈N*).(1)求数列{an}的通项公式;(2)设bn=eq \f(2n,an),数列{bn}的前n项的和为Sn,试求数列{S2n-Sn}的最小值;(3)求证:当n≥2时,S2n≥eq \f(7n+11,12).【答案解析】解:(1)由条件an+1=2(1+)an,得eq \f(an+1,n+1)=2·eq \f(an,n),又a1=2,所以eq \f(a1,1)=2,因此数列{eq \f(an,n)}构成首项为2,公比为2的等比数列.eq \f(an,n)=2·2n-1=2n,因此,an=n·2n.(2)由(1)得bn=eq \f(1,n),设cn=S2n-Sn,则cn=eq \f(1,n+1)+eq \f(1,n+2)+…+eq \f(1,2n),所以cn+1=eq \f(1,n+2)+eq \f(1,n+3)+…+eq \f(1,2n)+eq \f(1,2n+1)+eq \f(1,2n+2),从而cn+1-cn=eq \f(1,2n+1)+eq \f(1,2n+2)-eq \f(1,n+1)>eq \f(1,2n+2)+eq \f(1,2n+2)-eq \f(1,n+1)=0,因此数列{cn}是单调递增的,所以(cn)min=c1=eq \f(1,2). LISTNUM OutlineDefault \l 3 已知数列{an}的前n项和是Sn,且Sn+eq \f(1,2)an=1(n∈N*).(1)求数列{an}的通项公式;(2)设bn=log eq \s\do8(\f(1,3)) (1-Sn+1)(n∈N*),令Tn=eq \f(1,b1b2)+eq \f(1,b2b3)+…+eq \f(1,bnbn+1),求Tn.【答案解析】解:(1)当n=1时,a1=S1,由S1+eq \f(1,2)a1=1,得a1=eq \f(2,3),当n≥2时,Sn=1-eq \f(1,2)an,Sn-1=1-eq \f(1,2)an-1,则Sn-Sn-1=eq \f(1,2)(an-1-an),即an=eq \f(1,2)(an-1-an),所以an=eq \f(1,3)an-1(n≥2).故数列{an}是以eq \f(2,3)为首项,eq \f(1,3)为公比的等比数列.故an=eq \f(2,3)·eq \b\lc\(\rc\)(\a\vs4\al\co1(\f(1,3)))n-1=2·eq \b\lc\(\rc\)(\a\vs4\al\co1(\f(1,3)))n(n∈N*).(2)因为1-Sn=eq \f(1,2)an=eq \b\lc\(\rc\)(\a\vs4\al\co1(\f(1,3)))n.所以bn=logeq \f(1,3)(1-Sn+1)=logeq \f(1,3)eq \b\lc\(\rc\)(\a\vs4\al\co1(\f(1,3)))n+1=n+1,因为eq \f(1,bnbn+1)=eq \f(1,n+1n+2)=eq \f(1,n+1)-eq \f(1,n+2),所以Tn=eq \f(1,b1b2)+eq \f(1,b2b3)+…+eq \f(1,bnbn+1)=eq \b\lc\(\rc\)(\a\vs4\al\co1(\f(1,2)-\f(1,3)))+eq \b\lc\(\rc\)(\a\vs4\al\co1(\f(1,3)-\f(1,4)))+…+eq \b\lc\(\rc\)(\a\vs4\al\co1(\f(1,n+1)-\f(1,n+2)))=eq \f(1,2)-eq \f(1,n+2)=eq \f(n,2n+2). LISTNUM OutlineDefault \l 3 已知数列{an}的首项a1=3,前n项和为Sn,an+1=2Sn+3,n∈N*.(1)求数列{an}的通项公式.(2)设bn=log3an,求数列eq \b\lc\{\rc\}(\a\vs4\al\co1(\f(bn,an)))的前n项和Tn,并证明:eq \f(1,3)≤Tn<eq \f(3,4).【答案解析】解:(1)由an+1=2Sn+3,得an=2Sn-1+3(n≥2),两式相减得an+1-an=2(Sn-Sn-1)=2an,故an+1=3an(n≥2),所以当n≥2时,{an}是以3为公比的等比数列.因为a2=2S1+3=2a1+3=9,eq \f(a2,a1)=3,所以{an}是首项为3,公比为3的等比数列,an=3n.(2)an=3n,故bn=log3an=log33n=n,eq \f(bn,an)=eq \f(n,3n)=n·eq \b\lc\(\rc\)(\a\vs4\al\co1(\f(1,3)))n,Tn=1×eq \f(1,3)+2×eq \b\lc\(\rc\)(\a\vs4\al\co1(\f(1,3)))2+3×eq \b\lc\(\rc\)(\a\vs4\al\co1(\f(1,3)))3+…+n×eq \b\lc\(\rc\)(\a\vs4\al\co1(\f(1,3)))n,①eq \f(1,3)Tn=1×eq \b\lc\(\rc\)(\a\vs4\al\co1(\f(1,3)))2+2×eq \b\lc\(\rc\)(\a\vs4\al\co1(\f(1,3)))3+3×eq \b\lc\(\rc\)(\a\vs4\al\co1(\f(1,3)))4+…+(n-1)×eq \b\lc\(\rc\)(\a\vs4\al\co1(\f(1,3)))n+n×eq \b\lc\(\rc\)(\a\vs4\al\co1(\f(1,3)))n+1.②①-②,得eq \f(2,3)Tn=eq \f(1,3)+eq \b\lc\(\rc\)(\a\vs4\al\co1(\f(1,3)))2+eq \b\lc\(\rc\)(\a\vs4\al\co1(\f(1,3)))3+…+eq \b\lc\(\rc\)(\a\vs4\al\co1(\f(1,3)))n-n×eq \b\lc\(\rc\)(\a\vs4\al\co1(\f(1,3)))n+1=eq \f(\f(1,3)-\b\lc\(\rc\)(\a\vs4\al\co1(\f(1,3)))n+1,1-\f(1,3))-n×eq \b\lc\(\rc\)(\a\vs4\al\co1(\f(1,3)))n+1=eq \f(1,2)-eq \b\lc\(\rc\)(\a\vs4\al\co1(\f(3,2)+n))eq \b\lc\(\rc\)(\a\vs4\al\co1(\f(1,3)))n+1,所以Tn=eq \f(3,4)-eq \f(1,2)eq \b\lc\(\rc\)(\a\vs4\al\co1(\f(3,2)+n))eq \b\lc\(\rc\)(\a\vs4\al\co1(\f(1,3)))n.因为eq \b\lc\(\rc\)(\a\vs4\al\co1(\f(3,2)+n))eq \b\lc\(\rc\)(\a\vs4\al\co1(\f(1,3)))n>0,所以Tn<eq \f(3,4).又因为Tn+1-Tn=eq \f(n+1,3n+1)>0,所以数列{Tn}单调递增,所以(Tn)min=T1=eq \f(1,3),所以eq \f(1,3)≤Tn<eq \f(3,4). LISTNUM OutlineDefault \l 3 已知数列{an}满足:eq \f(1,a1)+eq \f(2,a2)+…+eq \f(n,an)=eq \f(3,8)(32n-1),n∈N*.(1)求数列{an}的通项公式;(2)设bn=log3eq \f(an,n),求eq \f(1,b1b2)+eq \f(1,b2b3)+…+eq \f(1,bnbn+1).【答案解析】解:(1)eq \f(1,a1)=eq \f(3,8)(32-1)=3,当n≥2时,eq \f(n,an)=(eq \f(1,a1)+eq \f(2,a2)+…+eq \f(n,an))-eq \f(1,a1)+eq \f(2,a2)+…+eq \f(n-1,an-1)=eq \f(3,8)(32n-1)-eq \f(3,8)(32n-2-1)=32n-1,当n=1时,eq \f(n,an)=32n-1也成立,所以an=eq \f(n,32n-1).(2)bn=log3eq \f(an,n)=-(2n-1),因为eq \f(1,bnbn+1)=eq \f(1,2n-12n+1)=eq \f(1,2)(eq \f(1,2n-1)-eq \f(1,2n+1)),所以eq \f(1,b1b2)+eq \f(1,b2b3)+…+eq \f(1,bnbn+1)=eq \f(1,2)1-eq \f(1,3)+eq \f(1,3)-eq \f(1,5)+…+eq \f(1,2n-1)-eq \f(1,2n+1)=eq \f(1,2)(- eq \f(1,2n+1))=eq \f(n,2n+1). LISTNUM OutlineDefault \l 3 已知各项均不相等的等差数列{an}的前四项和S4=14,且a1,a3,a7成等比数列.(1)求数列{an}的通项公式;(2)设Tn为数列{eq \f(1,anan+1)}前n项的和,若λTn≤an+1对一切n∈N*恒成立,求实数λ的最大值.【答案解析】解:(1)设公差为d,由已知得eq \b\lc\{\rc\ (\a\vs4\al\co1(4a1+6d=14,,a1+2d2=a1a1+6d,))解得d=1或d=0(舍去),所以a1=2,所以an=n+1.(2)因为eq \f(1,anan+1)=eq \f(1,n+1)-eq \f(1,n+2),所以Tn=eq \b\lc\(\rc\)(\a\vs4\al\co1(\f(1,2)-\f(1,3)))+eq \b\lc\(\rc\)(\a\vs4\al\co1(\f(1,3)-\f(1,4)))+…+eq \f(1,n+1)-eq \f(1,n+2)=eq \f(1,2)-eq \f(1,n+2)=eq \f(n,2n+2),又λTn≤an+1对一切n∈N*恒成立,所以λ≤eq \f(2n+22,n)=2(n+ SKIPIF 1 < 0 )+8,而2(n+ SKIPIF 1 < 0 )+8≥16,当且仅当n=2时等号成立.所以λ≤16,即λ的最大值为16.
相关试卷
这是一份(新高考)高考数学一轮复习讲练测 第7章 第4讲 数列求和 (2份打包,原卷版+教师版),文件包含新高考高考数学一轮复习讲练测第7章第4讲数列求和原卷版doc、新高考高考数学一轮复习讲练测第7章第4讲数列求和原卷版pdf、新高考高考数学一轮复习讲练测第7章第4讲数列求和教师版pdf、新高考高考数学一轮复习讲练测第7章第4讲数列求和教师版doc等4份试卷配套教学资源,其中试卷共31页, 欢迎下载使用。
这是一份新高考数学一轮复习《数列求和》课时练习(2份打包,教师版+原卷版),文件包含新高考数学一轮复习《数列求和》课时练习教师版doc、新高考数学一轮复习《数列求和》课时练习原卷版doc等2份试卷配套教学资源,其中试卷共9页, 欢迎下载使用。
这是一份新高考数学一轮复习《数列的概念》课时练习(2份打包,教师版+原卷版),文件包含新高考数学一轮复习《数列的概念》课时练习教师版doc、新高考数学一轮复习《数列的概念》课时练习原卷版doc等2份试卷配套教学资源,其中试卷共8页, 欢迎下载使用。

