2021楚雄天人中学高二上学期12月月考理科数学试题含答案
展开这是一份2021楚雄天人中学高二上学期12月月考理科数学试题含答案,文件包含楚雄天人中学2021届高二年级上学期12月学习效果监测理科数学答案doc、楚雄天人中学2021届高二年级上学期12月学习效果监测理科数学答题卡doc、楚雄天人中学2021届高二年级上学期12月学习效果监测理科数学试卷doc等3份试卷配套教学资源,其中试卷共11页, 欢迎下载使用。
楚雄天人中学2021届高二年级上学期12月学习效果监测
理科数学答题卡
姓名: |
| |||||||||||||||||||||
学校: | ||||||||||||||||||||||
班级: | ||||||||||||||||||||||
正确填涂: | ||||||||||||||||||||||
错误填涂 | ||||||||||||||||||||||
缺考
违纪 | ||||||||||||||||||||||
填涂要求 | 填涂时用2B铅笔将选中项涂满涂黑,黑度以盖过框内字母为准。修改时用橡皮擦干净。注意题号顺序。保持答题卡整洁,不要折叠、污损。缺考标记与作弊标记由监考老师填涂。 |
一、选择题(本题共12小题,每小题5分,共60分)
1 abcd 2 abcd 3 abcd 4 abcd
|
5 abcd 6 abcd 7 abcd 8 abcd |
9 abcd 10 abcd 11 abcd 12 abcd
|
二、填空题(本题共4小题,每小题5分,共20分)
13. 14. 15. 16. |
17.(10分)
|
18.(12分)
|
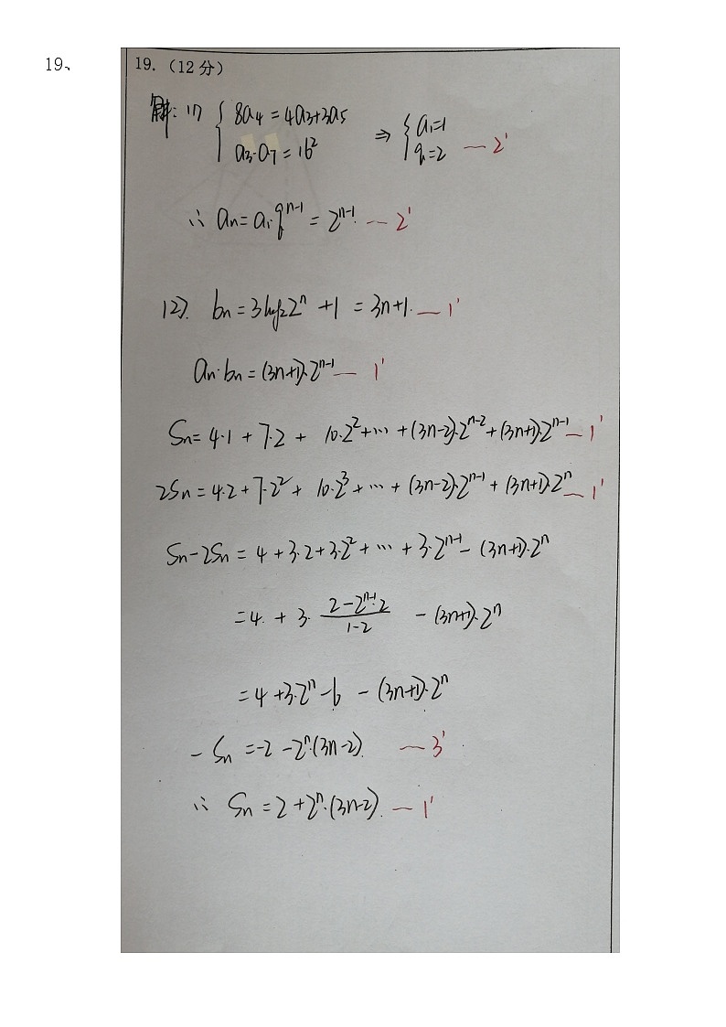
19.(12分)
|
20.(12分)
|
21.(12分)
22.(12分)
|
相关试卷
这是一份云南省楚雄州楚雄天人中学2022-2023学年高一下学期学习效果监测(期末)数学试题,共2页。
这是一份2023楚雄州楚雄天人中学高二下学期3月月考试题数学PDF版无答案,共2页。
这是一份2021楚雄天人中学高二上学期12月月考文科数学试题含答案,文件包含楚雄天人中学2021届高二年级上学期12月学习效果监测文科数学答案doc、楚雄天人中学2021届高二年级上学期12月学习效果监测文科数学答题卡doc、楚雄天人中学2021届高二年级上学期12月学习效果监测文科数学试卷doc等3份试卷配套教学资源,其中试卷共10页, 欢迎下载使用。

