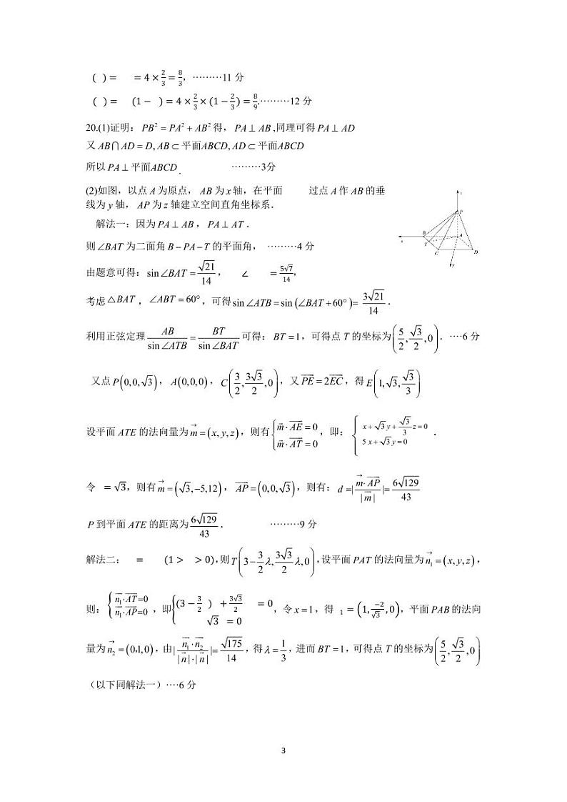
2022辽宁省辽南高三二模数学试题及答案
展开2023届辽宁省沈阳市高三二模 数学试题及答案: 这是一份2023届辽宁省沈阳市高三二模 数学试题及答案,文件包含数学答案pdf、数学pdf等2份试卷配套教学资源,其中试卷共16页, 欢迎下载使用。
2022-2023学年辽宁省辽南协作体高一上学期期末数学试题含答案: 这是一份2022-2023学年辽宁省辽南协作体高一上学期期末数学试题含答案,共9页。试卷主要包含了单项选择题,多项选择题,填空题,解答题等内容,欢迎下载使用。
2022辽宁省辽南协作体高三第二次模拟考试数学试题PDF版含答案: 这是一份2022辽宁省辽南协作体高三第二次模拟考试数学试题PDF版含答案,文件包含二模数学答案定稿pdf、2022届辽宁省辽南协作体高三第二次模拟考试数学试题PDF版无答案pdf等2份试卷配套教学资源,其中试卷共8页, 欢迎下载使用。

