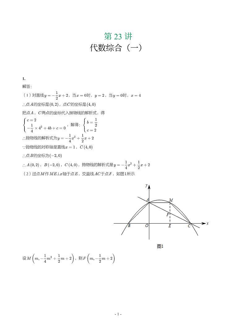
湖北省2018-2021年中考数学真题分类汇编-有答案解析
展开甘肃省2018-2021年中考真题分类汇编-有答案解析: 这是一份甘肃省2018-2021年中考真题分类汇编-有答案解析,文件包含第23讲代数综合pdf、第17讲圆pdf、第21讲统计与概率pdf、第16讲四边形pdf、第17讲圆pdf、第21讲统计与概率pdf、第16讲四边形pdf、第12讲二次函数pdf、第13讲反比例函数pdf、第19讲锐角三角函数pdf、第1讲实数pdf、第24讲几何综合pdf、第19讲锐角三角函数pdf、第1讲实数pdf、第13讲反比例函数pdf、第22讲新定义与阅读理解创新pdf、第14讲几何图形初步pdf、第23讲代数综合pdf、第14讲几何图形初步pdf、第12讲二次函数pdf、第10讲函数基础pdf、第4讲分式pdf、第18讲图形的变换pdf、第24讲几何综合pdf、第10讲函数基础pdf、第22讲新定义与阅读理解创新pdf、第4讲分式pdf、第8讲一元二次方程及应用pdf、第9讲不等式组及应用pdf、第20讲相似与位似pdf、第20讲相似与位似pdf、第2讲整式pdf、第11讲一次函数pdf、第18讲图形的变换pdf、第15讲三角形pdf、第8讲一元二次方程及应用pdf、第11讲一次函数pdf、第6讲一次方程组及应用pdf、第6讲一次方程组及应用pdf、第5讲二次根式pdf、第5讲二次根式pdf、第15讲三角形pdf、第3讲因式分解pdf、第2讲整式pdf、第9讲不等式组及应用pdf、第7讲分式方程及应用pdf、第7讲分式方程及应用pdf、第3讲因式分解pdf等48份试卷配套教学资源,其中试卷共267页, 欢迎下载使用。
辽宁省2018-2021年中考真题分类汇编-有答案解析: 这是一份辽宁省2018-2021年中考真题分类汇编-有答案解析,文件包含第21讲统计与概率pdf、第21讲统计与概率pdf、第23讲代数综合一pdf、第17讲圆pdf、第16讲四边形pdf、第24讲几何综合二pdf、第24讲几何综合一pdf、第23讲代数综合二pdf、第13讲反比例函数pdf、第12讲二次函数pdf、第17讲圆pdf、第19讲锐角三角函数pdf、第18讲图形的变换pdf、第18讲图形的变换pdf、第16讲四边形pdf、第22讲新定义与阅读理解创新pdf、第15讲三角形pdf、第20讲相似与位似pdf、第12讲二次函数pdf、第10讲函数基础pdf、第1讲实数pdf、第19讲锐角三角函数pdf、第14讲几何图形初步pdf、第1讲实数pdf、第23讲代数综合一pdf、第13讲反比例函数pdf、第23讲代数综合二pdf、第10讲函数基础pdf、第14讲几何图形初步pdf、第4讲分式pdf、第11讲一次函数pdf、第9讲不等式组及应用pdf、第22讲新定义与阅读理解创新pdf、第24讲几何综合一pdf、第2讲整式pdf、第24讲几何综合二pdf、第11讲一次函数pdf、第15讲三角形pdf、第20讲相似与位似pdf、第7讲分式方程及应用pdf、第4讲分式pdf、第8讲一元二次方程及应用pdf、第7讲分式方程及应用pdf、第9讲不等式组及应用pdf、第2讲整式pdf、第6讲一次方程组及应用pdf、第8讲一元二次方程及应用pdf、第3讲因式分解pdf、第6讲一次方程组及应用pdf、第5讲二次根式pdf、第3讲因式分解pdf、第5讲二次根式pdf等52份试卷配套教学资源,其中试卷共1271页, 欢迎下载使用。
宁夏2018-2021年中考真题分类汇编-有答案解析: 这是一份宁夏2018-2021年中考真题分类汇编-有答案解析,文件包含宁夏2018-2021年中考真题分类汇编答案pdf、4图形的性质pdf、3函数pdf、2方程与不等式pdf、6统计与概率pdf、1数与式pdf、5图形的变化pdf等7份试卷配套教学资源,其中试卷共76页, 欢迎下载使用。

